1.求斐波那契数列的第 n 项的值
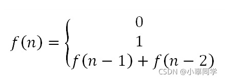
斐波那契数列的定义如下:

斐波那契数列的前十个数如下:
0, 1, 1, 2, 3, 5, 8, 13, 21, 34 ...
思路:第一,二个数是0,1。第三个数是第一,二个数的相加。第n个数是第n-1,n-2个数的
相加。
代码示例:
#include<stdio.h>
int fibonacci(int n)
{
int f0 = 0, f1 = 1, f, i;
if(0 == n) return 0;
if(1 == n) return 1;
for(i = 2; i <= n; i++)
{
f = f0 + f1; //由前两步的结果得到当前结果
f0 = f1; //把原来的前一步当作下一次的前两步
f1 = f; //在进行这种向前传递时,注意传递的时序
}
return f;
}
void main()
{
int n;
printf("你要求fibonacci数列的第几项的值,请输入:");
scanf("%d", &n);
printf("f(%d) = %d \n", n, fibonacci(n));
}
2.判断从101到200间有多少个素数,并输出
素数:除了1和本身之外,不能被其他数整除。
#include<stdio.h>
int main(){
int m,i,j;
for(i=101;i<=200;i++){
for(j=2;j<i;j++){
if(i%j==0){
break;
}else{
if(j==i-1){
printf("%d ",i);
}
}
}
}
return 0;
}
3.对于一个字符串,设计一个算法,将包括i位置在内的左侧部分移动到右边,将右侧部分移动到
左边。给定字符串A和它的长度n以及特点位置p,请返回旋转后的结果。
#include<stdio.h>
#include <string.h>
void change(char * a,char *b,int m,int n)
{
int i = 0;
n++;
while(a[i] != '\0')
{
b[i] = a[n+i];
i++;
}
for(i = 0; i < n;i++)
{
b[m-n+i] = a[i];
}
b[m] = '\0';
}
int main()
{
char a[20] = "abcdefghijk";
char b[20] ;
change(a,b,11,9);
printf("%s\n",b);
return 0;
}
4.C语言递归实现n的阶乘(n!)
非负整数n的阶乘可以表示为n! (读作:n的阶乘),其定义如下: n! = n·(n - 1)? (n - 2)· …·1 (n大于或等于l),且n = 0时,n! = l 例如,5 ! = 5·4·3·2·1 = 120。 请编写一个程序,读入一个非负整数,计算并输出其阶乘。
思路: 阶乘 就是每次用自己乘以自己-1,然后用自己-1在乘自己-1-1……利用递归的性质可以很好的实现这个过程。
#include <stdio.h>
int factorial(int x)
{
if (x == 0 )
{
return 1;
}
else
return x*factorial(x-1);
}
int main(int argc, char const *argv[])
{
int s;
scanf("%d",&s);
factorial(s);
printf("%d! is %d\n",s,factorial(s));
return 0;
}
5.输入两个正整数 m 和 n,求其最大公约数和最小公倍数
#include<stdio.h>
int main(void)
{
int m,n;
int t;
int r;
int product;
printf("请输入2个正整数(空格分隔):");
scanf("%d %d",&m,&n);
if(m < n) { //当 m 较小时,将 m 和 n 互换
t = m;
m = n;
n = t;
}
product = m * n;
while(1) {
r = m % n;
if(r == 0) {
printf("最大公约数是:%d\n最小公倍数是:%d\n",n,product/n);
break;
}
else {
m = n;
n = r;
}
}
return 0;
}
6.输入一串字符串和一个字符,统计该字符串中指定字符出现的个数
#include<stdio.h>
#include<string.h>
main()
{
char str[100],c;
int i=0,count=0;
printf("请输入一个字符串:");
gets(str);
printf("请输入指定的查找字符:");
scanf("%c",&c);
while(str[i]) /*该循环扫描/遍历字符数组*/
{
if(str[i]==c)
count++;
i++;
}
printf("%d\n",count);
}
|