举个例子
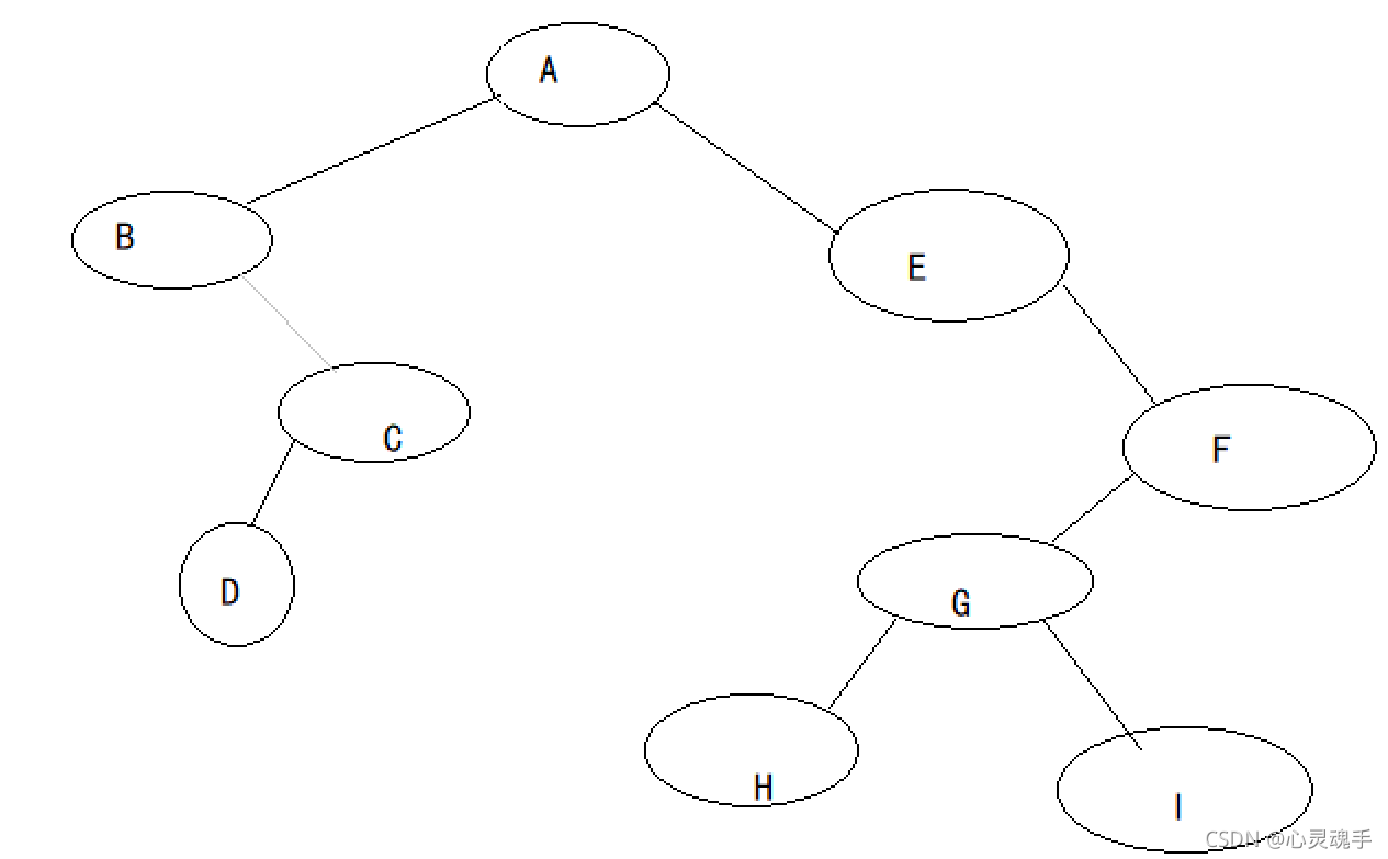
如下图所所画的二叉树为例子
?
它的先序遍历的结果为:A BCD EFGHI? ? ?先根后左最后右? ?
它的中序遍历的结果为:BDC A EHGIF? ? 先左后根最后右
它的后序遍历的结果为:DCB HIGFE A? ?先左后根最后右
那如何使用Java语言来实现二叉树的先序中序后序遍历呢?
先讲一下我的思路:
首先二叉树里面得有数据(根节点)。而且每个数据(根节点)应该都有左节点和右节点,而这个数据得左节点可能就会是下一个数得根节点。
所以,我们得首先创建一个对象,这个对象里面要有三个数据,一个是这个对象必须要有的就是根节点,然后,通过根节点再设置它的左节点和右节点,
代码段
创建一个类,这个类用来存放数据和左节点和右节点
public class Node {
public int data ;//数据,传进来的数据
public Node leftNode ;//左节点
/**
* 为什么这里是Node这个对象,通过对对象的调用进行赋值
* 因为一个这个Node只有一个数据,而不能保证它的左节点和右节点只有一个数据,所以呢,
* 通过设置对象的方式,一个左节点,左节点的第一个又变成了它的左节点的根节点,如此反复,就会出现了现在这个关系
*/
public Node rightNode ;//右节点
public void addation(Node t) {
if(t.data<this.data) {
//判断是否为空串
if(leftNode==null) {//判断它的左节点是否为空值,如果是的话,就会将传进来的对象赋值给这个左节点
leftNode = t;
}else{
leftNode.addation(t);//通过递归的思想进行调用
}
}else {
if(rightNode==null) {//判断它的左节点是否为空值,如果是的话,就会将传进来的值赋值给右节点
rightNode = t;
}else{
rightNode.addation(t);//通过递归的思想进行调用
}
}
}
public void shuchu() {//中序
if(leftNode!=null) leftNode.shuchu();
System.out.print(data+" ");
if(rightNode!=null) rightNode.shuchu();
}
public void shuchu1() {//先序
System.out.print(data+" ");
if(leftNode!=null)leftNode.shuchu1();
if(rightNode!=null) {
rightNode.shuchu1();
}
}
public void shuchu2() {//后序
if(leftNode!=null)leftNode.shuchu2();
if(rightNode!=null)rightNode.shuchu2();
System.out.print(data+" ");
}
}
再设置一个类,用来设置流程的
public class Mytree {
private Node root;//根节点(解析:说白了就是通过设置一个值,就是初始值,第一个值,)
public void add(int x) {
Node p = new Node();
p.data = x;
if(root==null) {//如果没有根节点的话
root=p;//将root赋值给p,说白了此时将p的值赋值给了root也就是根节点
}else {
root.addation(p);//进行添加的作用
}
}
public void Sort() {
if(root == null){ return;}//这个root代表的是流程控制,如果满足条件就结束
else {
root.shuchu();
}
}
public void Sort1() {
if(root == null){ return;}//这个root代表的是流程控制,如果满足条件就结束
else {
root.shuchu1();
}
}
public void Sort2() {
if(root == null){ return;}//这个root代表的是流程控制,如果满足条件就结束
else {
root.shuchu2();
}
}
}
最后设置一个类,用来测试的
public class Tree {
public static void main(String[] args) {
Mytree t = new Mytree();
t.add(2);
t.add(1);
t.add(9);
t.add(6);
t.add(3);
t.add(0);
t.add(10);
t.Sort();
System.out.println(" ");
t.Sort1();
System.out.println(" ");
t.Sort2();
}
}
|