一、实验环境
IDEA
二、设计需求分析
【问题描述】
设计一个与二叉树基本操作相关的演示操作。
【基本要求】
-
创建二叉树,按照用户需要的二叉树构建二叉树; -
将创建的二叉树,以树形形式输出; -
分别以先序、中序、后序、层序四种遍历访问二叉树; -
输出二叉树的叶子结点及叶子结点的个数; -
输出二叉树的高度;
三、实际设计思路
实现创建字母二叉树和数字二叉树两种二叉树,不同类型的二叉树实现的功能各有不同,充分运用类和对象、继承、多态、抽象类、接口等思想

四、对象与功能剖析
想要实现这样一个既可以构造字母二叉树也可以构造数字二叉树,并且每种类型的二叉树可以实现不同的功能,通过选择可以显示不同的菜单的二叉树操作程序,首先需要分析大体方面,这里打算分成3大方面
【树结构相关】(BinaryTree包)
二叉树节点类(TreeNode); 二叉树类(Tree);
字母二叉树类(LetterTree); 数字二叉树类(NumTree);
(注:二叉树类包含着两种类型的二叉树共同需要实现的方法,后者继承前者)
【功能相关】(Function包,内包含Heap包)
退出类(Exit); 创建二叉树类(ConstructTree);
打印二叉树类(PrintTree); 二叉树高度类(GetHeight);
叶子结点个数类(GetLeafSize); 叶子结点打印类(LeafNode);
前序遍历类(PreorderTraversal); 中序遍历类(InorderTraversal);
后序遍历类(PostorderTraversal); 层序遍历类(LevelOrderTraversal);
Heap包:
建大堆(CreateBigHeap); TopK(堆)类(TopK);
(注:里面绝大多数功能需要用到构造的二叉树的根节点,因此将各个类通过接口IFunction联系起来,重写该接口中的抽象方法,调用功能时就会发生向上转型,实现多态)
【主函数相关】(Main类)
实现二叉树类型的选择,通过输入字符串,将其变成数组然后进行构造二叉树,通过一个循环选择各个功能,总而言之,Main类将之前的类巧妙的联系在了一起。
五、代码实现及算法思路分析
BinaryTree包
【二叉树节点类(TreeNode)】
为了使该节点可以接收字母类型的数据,也可以接收数字类型的数据,因此加了泛型,在程序运行的时候T就会被擦除成Object类型,该类型是所有类的父类
代码如下:
package BinaryTree;
public class TreeNode<T> {
public T val;
public TreeNode<T> left;
public TreeNode<T> right;
public TreeNode (T x) {
this.val=x;
}
}
【二叉树类(Tree)】
Tree类被NumTree类和LetterTree类继承,是一个抽象类,该类不可以被实例化,其存在的方法就是被继承
代码如下:
package BinaryTree;
import Function.IFunction;
public abstract class Tree {
protected IFunction[] iFunctions;
public abstract void menu();
public void getFunction(int choice,TreeNode root){
this.iFunctions[choice].work(root);
}
public abstract int func();
}
【字母二叉树类(LetterTree)】
代码如下:
package BinaryTree;
import Function.*;
import java.util.Scanner;
public class LetterTree extends Tree{
public LetterTree() {
iFunctions = new IFunction[] {
new Exit(),
new PreorderTraversal(),
new InorderTraversal(),
new PostorderTraversal(),
new LevelOrderTraversal(),
new LeafNode(),
new GetLeafSize(),
new GetHeight(),
new PrintTree()
};
}
@Override
public void menu() {
System.out.println("============== 字母二叉树 ================");
System.out.println("====== 0.退出 1.前序遍历 =======");
System.out.println("====== 2.中序遍历 3.后序遍历 =======");
System.out.println("====== 4.层序遍历 5.叶子结点打印 =======");
System.out.println("====== 6.叶子结点个数 7.二叉树高度 =======");
System.out.println("====== 8.打印二叉树 =======");
System.out.println("请选择你想要进行的操作:");
}
@Override
public int func() {
Scanner scanner = new Scanner(System.in);
while (true) {
int choice = scanner.nextInt();
if(choice >= 0 && choice <= 8) {
return choice;
}else {
System.out.println("选择错误,请重新进行选择!");
}
}
}
}
【数字二叉树类(NumTree)】
代码如下:
package BinaryTree;
import Function.*;
import Function.Heap.CreateBigHeap;
import Function.Heap.TopK;
import java.util.Scanner;
public class NumTree extends Tree{
public NumTree(){
iFunctions = new IFunction[]{
new Exit(),
new GetHeight(),
new LeafNode(),
new GetLeafSize(),
new PrintTree(),
new TopK(),
new CreateBigHeap()
};
}
@Override
public void menu() {
System.out.println("=============== 数字二叉树 =============");
System.out.println("====== 0.退出 1.二叉树高度 =====");
System.out.println("====== 2.叶子结点打印 3.叶子结点个数=====");
System.out.println("====== 4.二叉树打印 5.TopK(堆) =====");
System.out.println("======= 6. 建大堆 =====");
System.out.println("请选择你想要进行的操作:");
}
@Override
public int func() {
Scanner scanner = new Scanner(System.in);
while (true) {
int choice = scanner.nextInt();
if(choice >= 0 && choice <= 6) {
return choice;
}else {
System.out.println("选择错误,请重新进行选择!");
}
}
}
}
Function包
【退出类(Exit)】
代码如下:
package Function;
import BinaryTree.TreeNode;
public class Exit<T> implements IFunction<T>{
@Override
public void work(TreeNode<T> root) {
System.out.println("成功退出!");
System.exit(0);
}
}
【创建二叉树类(ConstructTree)】
需要调用类内的方法constructTree(T[] numbs),输入的参量为一个数组,该数组可能是字符数组也可能是数字字符,但是原理都是一样的。按照层序遍历的方法来将二叉树变成一个二叉树,若某节点的子节点为空,那么就在对应的地方填null。
具体思想:用一个队列nodeQueue来存储该层的所有节点,然后用父节点的数量的两倍来遍历输入的数组(从上一层结束的地方开始),并从队列中取出(位于上一层的)对应的父节点(此时已从队列中删去,因为用的方法为poll()而不是peek()),对于每一个值,创建相应的子节点链接到父节点,并加入到队列中,依次不断循环,直到遍历完整个数组。
代码如下:
package Function;
import BinaryTree.TreeNode;
import java.util.Deque;
import java.util.LinkedList;
public class ConstructTree<T> {
public TreeNode<T> constructTree(T[] numbs){
if (numbs.length == 0) return new TreeNode<T>(null);
Deque<TreeNode<T>> nodeQueue = new LinkedList<>();
TreeNode<T> root = new TreeNode<T>(numbs[0]);
nodeQueue.offer(root);
TreeNode<T> cur;
int lineNodeNum = 2;
int startIndex = 1;
int restLength = numbs.length - 1;
while(restLength > 0) {
for (int i = startIndex; i < startIndex + lineNodeNum; i = i + 2) {
if (i == numbs.length) return root;
cur = nodeQueue.poll();
if (numbs[i] != null) {
assert cur != null;
cur.left = new TreeNode<T>(numbs[i]);
nodeQueue.offer(cur.left);
}
if (i + 1 == numbs.length) return root;
if (numbs[i + 1] != null) {
assert cur != null;
cur.right = new TreeNode<T>(numbs[i + 1]);
nodeQueue.offer(cur.right);
}
}
startIndex += lineNodeNum;
restLength -= lineNodeNum;
lineNodeNum = nodeQueue.size() * 2;
}
return root;
}
}
【打印二叉树类(PrintTree)】
具体思想:用一个二维的字符串数组来储存每个位置应该打印什么样的输出。
首先,先确定树的形状。设定在最后一行的每个数字之间的间隔为3个空格,而在之上的每一层的间隔,越往上,间隔是越大的,而且是一个简单的线性增加的关系。
为绘制出这样的形状,我们需要获得树的层数,根据树的层数,确定二维数组的大小,即高度和宽度。之后,用先序遍历的方式,遍历树的每个节点,并进行相对应的写入操作。
代码如下:
package Function;
import BinaryTree.TreeNode;
import java.util.Deque;
import java.util.LinkedList;
public class ConstructTree<T> {
public TreeNode<T> constructTree(T[] numbs){
if (numbs.length == 0) return new TreeNode<T>(null);
Deque<TreeNode<T>> nodeQueue = new LinkedList<>();
TreeNode<T> root = new TreeNode<T>(numbs[0]);
nodeQueue.offer(root);
TreeNode<T> cur;
int lineNodeNum = 2;
int startIndex = 1;
int restLength = numbs.length - 1;
while(restLength > 0) {
for (int i = startIndex; i < startIndex + lineNodeNum; i = i + 2) {
if (i == numbs.length) return root;
cur = nodeQueue.poll();
if (numbs[i] != null) {
assert cur != null;
cur.left = new TreeNode<T>(numbs[i]);
nodeQueue.offer(cur.left);
}
if (i + 1 == numbs.length) return root;
if (numbs[i + 1] != null) {
assert cur != null;
cur.right = new TreeNode<T>(numbs[i + 1]);
nodeQueue.offer(cur.right);
}
}
startIndex += lineNodeNum;
restLength -= lineNodeNum;
lineNodeNum = nodeQueue.size() * 2;
}
return root;
}
}
【二叉树高度类(GetHeight)】
用递归的方法求二叉树的高度
思想:一棵树的高度为左子树和右子树中较高的高度加一,当节点为空,则高度为0

时间复杂度:O(N)
代码如下:
package Function;
import BinaryTree.TreeNode;
public class GetHeight<T> implements IFunction<T>{
public int getHeight(TreeNode<T> root) {
if (root == null) {
return 0;
}
return Math.max(getHeight(root.left),getHeight(root.right))+1;
}
@Override
public void work(TreeNode<T> root) {
System.out.println("二叉树高度:" + getHeight(root));
}
}
【叶子点个数类(GetLeafSize)】
用递归的方法求叶子结点个数
思想:一棵树的叶子节点的个数是根节点的左子树的叶子节点的个数和右子树的叶子节点的个数之和(在这里采取的是前序遍历的方法进行叶子结点的寻找,因此遍历的图和前序遍历的差不多,只是在那个基础上顺便判断了一下是否为叶子结点而已,如果是count加一)
时间复杂度:O(N)
代码如下:
package Function;
import BinaryTree.TreeNode;
public class GetLeafSize<T> implements IFunction<T>{
@Override
public void work(TreeNode<T> root) {
GetSize<T> get = new GetSize<>();
int count = get.size(root);
System.out.println("叶子结点个数:" + count);
}
}
class GetSize<T> {
public static int count;
public int size(TreeNode<T> root) {
if (root == null) return 0;
if (root.left == null && root.right == null) {
count++;
}
size(root.left);
size(root.right);
return count;
}
}
【叶子结点打印类(LeafNode)】
用递归的方法,用一顺序结构list来存储结果
思想:若节点为空就直接返回,若不为空就判断左右孩子是否都为空,成立说明是叶子节点,将其值放入list中;根节点不为空,就依次遍历左子树和右子树的所有节点进行判断(在这里采取的是前序遍历的方法进行叶子结点的寻找,因此遍历的图和前序遍历的差不多,只是在那个基础上顺便判断了一下是否为叶子结点而已,如果是就将叶子结点的值添加到list中)
时间复杂度:O(N)
代码如下:
package Function;
import BinaryTree.TreeNode;
import java.util.ArrayList;
import java.util.List;
public class LeafNode<T> implements IFunction<T>{
@Override
public void work(TreeNode<T> root) {
List<T> list = new ArrayList<>();
Leaf<T> leaf = new Leaf<>();
list = leaf.Node(root,list);
System.out.println("叶子节点:" + list);
}
}
class Leaf<T> {
public List<T> Node(TreeNode<T> root,List<T> list) {
if (root == null) return null;
if (root.right == null && root.left == null) {
list.add(root.val);
}
Node(root.left,list);
Node(root.right,list);
return list;
}
}
【前序遍历类(PreorderTraversal)】
思想:递归的思想,就是将一个大的问题转化为几个小的子问题,直到子问题可以很容易求解,最后将子问题的解组合起来就是大问题的解。用一顺序结构list来存储前序遍历的结果,若节点为空就直接返回(先根结点后左子树最后右子树)
    
时间复杂度:O(N)
代码如下:
package Function;
import BinaryTree.TreeNode;
import java.util.ArrayList;
import java.util.List;
public class PreorderTraversal<T> implements IFunction<T>{
@Override
public void work(TreeNode<T> root) {
List<T> list = new ArrayList<>();
preorder(list,root);
System.out.println("前序遍历:" + list);
}
public void preorder(List<T> list,TreeNode<T> root) {
if (root == null) {
return;
}
list.add(root.val);
preorder(list,root.left);
preorder(list,root.right);
}
}
【中序遍历类(InorderTraversal)】
思想:递归的思想,用一顺序结构list来存储中序遍历的结果,若节点为空就直接返回(先左子树后根结点最后右子树),遍历的图参考前序遍历,原理相同
时间复杂度:O(N)
代码如下:
package Function;
import BinaryTree.TreeNode;
import java.util.ArrayList;
import java.util.List;
public class InorderTraversal<T> implements IFunction<T>{
@Override
public void work(TreeNode<T> root) {
List<T> list = new ArrayList<>();
preorder(list,root);
System.out.println("中序遍历:" + list);
}
public void preorder(List<T> list,TreeNode<T> root) {
if (root == null) {
return;
}
preorder(list,root.left);
list.add(root.val);
preorder(list,root.right);
}
}
【后序遍历类(PostorderTraversal)】
思想:递归的思想,用一顺序结构list来存储后序遍历的结果,若节点为空就直接返回(先左子树后右子树最后根结点),遍历的图参考前序遍历,原理相同
时间复杂度:O(N)
代码如下:
package Function;
import BinaryTree.TreeNode;
import java.util.ArrayList;
import java.util.List;
public class PostorderTraversal<T> implements IFunction<T>{
@Override
public void work(TreeNode<T> root) {
List<T> list = new ArrayList<>();
preorder(list,root);
System.out.println("后序遍历:" + list);
}
public void preorder(List<T> list,TreeNode<T> root) {
if (root == null) {
return;
}
preorder(list,root.left);
preorder(list,root.right);
list.add(root.val);
}
}
【层序遍历类(LevelOrderTraversal)】
层序遍历是直观的一种遍历方法,将二叉树的每一层分别遍历,直到最后的叶子节点被全部遍历完,这里要用到的辅助数据结构是队列,队列具有先进先出的性质。
思想:将二叉树的每一层的值分别放入各个线性表中,每次放完后将线性表加到总的大线性表中
每一层放线性表的思想:如果该根节点为空的话,就返回空的顺序表,创建一个队列,来暂时的存放某一层的节点
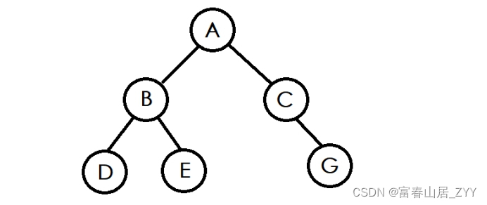
具体实现:创建一个队列,先将根节点(A)入队,此时队列不为空,记录其大小size(只有根结点,大小为1),再将根节点poll出去,返回值给top变量,利用top变量看看根结点有没有左孩子或右孩子,如果有,先左(B)后右(C)入队,size减一,只要队列还不为空,就说明还没有遍历完,就进行下一次循环,这时的队头元素则为刚才入队的左孩子(B),然后用相同的方法用top再把它的左右孩子拉进来(如果有),因为队列的先进先出性质,B的左右孩子DE是排在C后面的,然后输出B,下一次循环将会拉人C的孩子G,最后因为G没有左右孩子,一直出队,没有入队元素,当队列为空时,层序遍历结束。
   
时间复杂度:O(N)
代码如下:
package Function;
import BinaryTree.TreeNode;
import java.util.ArrayList;
import java.util.LinkedList;
import java.util.List;
import java.util.Queue;
public class LevelOrderTraversal<T> implements IFunction<T>{
@Override
public void work(TreeNode<T> root) {
level<T> level = new level<>();
List<List<T>> list = level.levelOrder(root);
System.out.print("层次遍历:" + list);
}
}
class level<T>{
public List<List<T>> levelOrder(TreeNode<T> root) {
List<List<T>> ret = new ArrayList<>();
if(root == null) return ret;
Queue<TreeNode<T>> queue = new LinkedList<>();
queue.offer(root);
while(!queue.isEmpty()) {
int size = queue.size();
List<T> list = new ArrayList<>();
while(size > 0) {
TreeNode<T> top = queue.poll();
assert top != null;
if(top.left != null) {
queue.offer(top.left);
}
if(top.right!=null) {
queue.offer(top.right);
}
size--;
list.add(top.val);
}
ret.add(list);
}
return ret;
}
}
Function.Heap包
【建大堆(CreateBigHeap)】
根节点索引为0:
a. 最后一个非叶子节点的索引为(usedSize-1-1)/2;
b. 若父节点的索引是i,则它左孩子节点为2i+1,右孩子节点为2i+2;
构建大根堆的思路:
-
从最后一个非叶子节点为父节点的子树出发,从右往左,从下往上进行调整操作。 -
即调整函数 : a.如果该节点比它的两个孩子节点都大,则该节点不用调整了,因为它的孩子节点也是堆有序 b.如果该节点比它的两个子节点中的较大节点小,即elem[i]<max(elem[2i+1],elem[2i+2]),将max(elem[2i+1],elem[2i+2])赋给elem[i](通过变量tmp进行交换)。接着从max(elem[2i+1],elem[2i+2]) 对应的那个节点出发,继续进行该操作,直到该节点到达了usedSize。当然每次判断边界条件为左子树的索引小于usedSize,则右子树才有值。


时间复杂度O(N)
代码如下:
package Function.Heap;
import BinaryTree.TreeNode;
import Function.ConstructTree;
import Function.IFunction;
import Function.PrintTree;
import java.util.Arrays;
public class CreateBigHeap implements IFunction{
public static int[] elem;
public static int usedSize;
public static int flag = 1;
@Override
public void work(TreeNode root) {
if(flag == 1) {
for (int i = (usedSize-1-1)/2; i >= 0; i--) {
shiftDown(i);
}
ConstructTree<Integer> integerConstructTree = new ConstructTree<>();
TreeNode<Integer> root1 = integerConstructTree.constructTree(Arrays.stream(elem).boxed().toArray(Integer[]::new));
PrintTree printTree = new PrintTree();
printTree.work(root1);
}else {
System.out.println("非完全二叉树!!无法执行相关操作");
}
}
public void isFullTree(Integer[] array) {
int len = array.length;
elem = new int[len];
for(int i = 0;i < len;i ++) {
if(array[i] != null) {
elem[i] = array[i];
usedSize++;
}else {
System.out.println("温馨提示:此乃非完全二叉树,不可执行堆相关操作");
flag = 0;
break;
}
}
}
public void shiftDown(int parent) {
int child = 2*parent+1;
while (child < usedSize) {
if(child+1 < usedSize && elem[child] < elem[child+1]) {
child++;
}
if(elem[child] > elem[parent]) {
int tmp = elem[child];
elem[child] = elem[parent];
elem[parent] = tmp;
parent = child;
child = 2*parent+1;
}else {
break;
}
}
}
}
【TopK(堆)类(TopK)】
我们时常会有寻找长度为n的数组中,排在前k的元素,对于top k的问题,最暴力的处理方式就是直接对数组进行排序,然后再去截取前k个数字,从而达到自己的目的,这种算法的实现复杂度为O(nlogn)。
其实有O(nlogk)时间复杂度的算法。我们先创建一个大小为k的数组来存储最大的k个数字,接下来我们从输入的n个数中读取一个数,如果容器还没有满则直接插入容器;若容器已经满了,则我们此时需要将容器中最小的数字和待插入的数字做比较,如果待插入的数值大于容器中的最小值,则需要将容器中的最小值删除,将新值插入,否则不做任何处理。
我们通过需求分析可以发现,小根堆可以满足我们的需求,因此我们通过小根堆来实现我们的容器。
TopK问题推荐文章
代码如下:
package Function.Heap;
import BinaryTree.TreeNode;
import Function.IFunction;
import java.util.Arrays;
import java.util.PriorityQueue;
import java.util.Scanner;
public class TopK implements IFunction {
@Override
public void work(TreeNode root) {
if(CreateBigHeap.flag == 0) {
System.out.println("非完全二叉树!!无法执行相关操作");
}else {
System.out.println("请输入K值:");
Scanner scanner = new Scanner(System.in);
int k = scanner.nextInt();
while (k <= 0 || k > CreateBigHeap.elem.length) {
System.out.println("k值输入错误,请重新输入");
k = scanner.nextInt();
}
int[] ret = topK(CreateBigHeap.elem,k);
System.out.println(Arrays.toString(ret));
}
}
public int[] topK(int[] array,int k) {
PriorityQueue<Integer> minHeap = new PriorityQueue<>();
for (int i = 0; i < array.length; i++) {
if (minHeap.size() < k) {
minHeap.offer(array[i]);
}else {
int top = minHeap.peek();
if (top < array[i]) {
minHeap.poll();
minHeap.offer(array[i]);
}
}
}
int[] ret = new int[k];
for (int i = 0; i < k; i++) {
ret[i] = minHeap.poll();
}
return ret;
}
}
【IFunction接口】
所有功能共同实现该接口,调用功能时发生向上转型,实现多态
代码如下:
package Function;
import BinaryTree.TreeNode;
public interface IFunction<T> {
void work(TreeNode<T> root);
}
Main类
import BinaryTree.LetterTree;
import BinaryTree.NumTree;
import BinaryTree.Tree;
import BinaryTree.TreeNode;
import java.util.Scanner;
import Function.*;
import Function.Heap.CreateBigHeap;
public class Main {
public static int choice;
public static Tree newTree() {
Scanner scanner = new Scanner(System.in);
System.out.println("请选择你想要创建的二叉树类型:0.字母二叉树 1.数字二叉树");
while (true) {
choice = scanner.nextInt();
if (choice == 0) {
return new LetterTree();
} else if (choice == 1) {
return new NumTree();
} else {
System.out.println("选择错误,请重新输入!");
}
}
}
public static void main(String[] args) {
Tree tree = newTree();
Scanner scanner = new Scanner(System.in);
if (choice == 0) {
System.out.println("请输入字母:");
String str = scanner.next();
String[] arr = str.split(",");
Character[] character = new Character[arr.length];
for (int i = 0; i < character.length; i++) {
if (arr[i].equals("null")) {
character[i] = null;
}else {
character[i] = arr[i].charAt(0);
}
}
ConstructTree<Character> characterConstructTree = new ConstructTree<>();
TreeNode<Character> root = characterConstructTree.constructTree(character);
tree.menu();
while (true) {
int ch = tree.func();
tree.getFunction(ch,root);
}
}else {
System.out.println("请输入数字:");
String str = scanner.next();
String[] arr = str.split(",");
Integer[] b = new Integer[arr.length];
for (int i = 0; i < b.length; i++) {
if (arr[i].equals("null")){
b[i] = null;
}else {
b[i] = Integer.parseInt(arr[i]);
}
}
CreateBigHeap createBigHeap = new CreateBigHeap();
createBigHeap.isFullTree(b);
ConstructTree<Integer> integerConstructTree = new ConstructTree<>();
TreeNode<Integer> root = integerConstructTree.constructTree(b);
tree.menu();
while (true) {
int ch = tree.func();
tree.getFunction(ch,root);
}
}
}
}
六、测试数据及结果显示
字母二叉树  
数字二叉树(不可构成完全二叉树)  
数字二叉树(可构成完全二叉树)
 
完!
|