|
● 原型模式介绍
????????原型模式是一个创建型的模式。原型二字表明了该模式应该有一个样板实例,用户从这个模板中复制出一个内部属性一致的对象,这个过程也就是我们俗称的“克隆”。被复制的实例就是我们所称的“原型”,这个原型是可定制的。原型模式多用于创建复杂的或者构造耗时的实例,应为这种情况下,复制一个已经存在的实例可使程序运行更高效。
● 原型模式的定义
????????用原型实例指定创建对象的种类,并通过复制这些原型创建新的对象。
● 原型模式的使用场景
????????(1)类初始化需要消耗非常多的资源,这个资源包括数据、硬件资源等,通过原型复制避免这些消耗。
????????(2)通过new产生一个对象需要非常繁琐的数据准备或访问权限,这时可以使用原型模式。
????????(3)一个对象需要提供给其他对象访问,而且各个调用者可能都需要修改其值时,可以考虑使用原型模式复制多个对象供调用者使用,即保护性拷贝。
? ? ? ? ????????需要注意的是,通过实现Cloneable接口的原型模式在调用clone函数构造实例时并不一定比通过new操作速度快,只有当通过new构造对象较为耗时或者说成本较高时,通过clone方法才能够活获得效率上的提升。因此,在使用Cloneable时需要考虑构建对象的成本以及做一些效率上的测试。当然,实现原型模式也不一定非要实现Cloneable接口,也有其他的实现方式,本篇文章将会对这些一一说明。
● 原型模式的UML类图
? ? ? ? UML类型如下图所示:

? ? ? ? ?上图中的角色介绍。
? ? ? ? Client:客户端用户。
? ? ? ? Prototype:抽象类或者接口,声明具备clone能力。
? ? ? ? ConcretePrototype:具体的原型类。
● 原型模式的简单实现
? ? ? ? 下面以简单的文档拷贝为实例演示一下简单的原型模式。我们在这个例子中首先创建了一个文档对象,即WordDocument,这个文档中含有文字和图片。用户经过了长时间的内容编辑后,打算对该文档做进一步的编辑,但是,这个编辑后的文档是否会被采用还不确定,因此,为了安全起见,用户需要将当前文档拷贝一份,然后再在文档副本上进行修改,这与《Effeetive Java》一书中提到的保护性拷贝有些类似,如此,这个原始文档就是我们上诉所说的样板实例,也就是将要被“克隆”的对象,我们称为原型。
public class WordDocument implements Cloneable {
//文本
private String mText;
//图片名列表
private ArrayList<String> mImages = new ArrayList<>();
public WordDocument() {
System.out.println("------------- WordDocument 构造函数 --------------");
}
@Override
protected WordDocument clone() {
try {
WordDocument doc = (WordDocument) super.clone();
doc.mText = this.mText;
doc.mImages = this.mImages;
return doc;
} catch (Exception e) {
}
return null;
}
public String getText() {
return mText;
}
public void setText(String mText) {
this.mText = mText;
}
public ArrayList<String> getImages() {
return mImages;
}
public void addImage(String img) {
this.mImages.add(img);
}
public void showDocument() {
System.out.println("----------- Word Content Start -------------");
System.out.println("Text : " + mText);
System.out.println("Images List : ");
for (String imgName : mImages) {
System.out.println("image name : " + imgName);
}
System.out.println("----------- Word Content End ----------");
}
}
? ? ? ? 通过WordDocument类模拟了Word文档中的基本元素,即文字和图片。WordDocument在该原型模式实例中扮演的角色我ConcretePrototype,而Cloneable的角色则为Prototype。WordDocument中的clone方法用以实现对象克隆。注意,这个方法并不是Cloneable接口中的,而是Object中的方法。Cloneable也是一个标识接口,它表明这个类对象是可拷贝的。如果么有实现Cloneable接口却调用了colone()函数将抛出异常。在这个实例中,我们通过实现Cloneable接口和复写clone方法实现原型模式。
? ? ? ? 下面看看Client端的使用。
public class Client {
public static void main(String[] args) {
//1.构建文档对象
WordDocument originDoc = new WordDocument();
//2.编辑文档,添加图片等
originDoc.setText("这是一篇文档");
originDoc.addImage("图片1");
originDoc.addImage("图片2");
originDoc.addImage("图片3");
originDoc.showDocument();
//以原始文档为原型,拷贝一份副本
WordDocument doc2 = originDoc.clone();
doc2.showDocument();
//修改文档副本,不会影响原始文档
doc2.setText("这是修改过得Doc2文本");
doc2.showDocument();
originDoc.showDocument();
}
}
? ? ? ? 输出结果如下:
------------- WordDocument 构造函数 --------------
----------- Word Content Start -------------
Text : 这是一篇文档
Images List :
image name : 图片1
image name : 图片2
image name : 图片3
----------- Word Content End ----------
----------- Word Content Start -------------
Text : 这是一篇文档
Images List :
image name : 图片1
image name : 图片2
image name : 图片3
----------- Word Content End ----------
----------- Word Content Start -------------
Text : 这是修改过得Doc2文本
Images List :
image name : 图片1
image name : 图片2
image name : 图片3
----------- Word Content End ----------
----------- Word Content Start -------------
Text : 这是一篇文档
Images List :
image name : 图片1
image name : 图片2
image name : 图片3
----------- Word Content End ----------
? ? ? ? 从上面可以看到,doc2是通过originDoc.clone()创建的,并且doc2第一次输出的时候和originDoc输出的一样,即doc2是originDoc的一份拷贝,它们的内容是一样的,而doc2修改了文本内容以后并不会影响originDoc的文本内容,这就保证了originDoc的安全性。还需要注意的是,通过clone拷贝对象时并不会执行构造函数!因此,如果在构造函数中需要一些特殊的初始化操作的类型,在使用Cloneable实现拷贝是,需要注意构造函数不会执行的问题。
● 浅拷贝和深拷贝
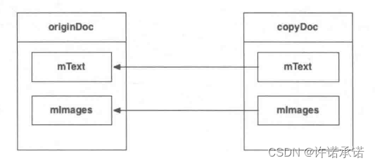
? ? ? ? 上述原型模式的实现实际上只是一个浅拷贝,也称为影子拷贝。这份拷贝实际上并不是将原始文档的所有字段都重新构造了一份,而是副本文档的字段引用原始文档的字段,如下图所示。

? ? ? ? ?我们知道A应用B就是说两个对象指向用一个地址,当修改A时B也会改变,B修改时A同样会改变。我们自己看下面的例子将main函数的内容修改为如下。
public static void main(String[] args) {
//1.构建文档对象
WordDocument originDoc = new WordDocument();
//2.编辑文档,添加图片等
originDoc.setText("这是一篇文档");
originDoc.addImage("图片1");
originDoc.addImage("图片2");
originDoc.addImage("图片3");
originDoc.showDocument();
//以原始文档为原型,拷贝一份副本
WordDocument doc2 = originDoc.clone();
doc2.showDocument();
//修改文档副本,不会影响原始文档
doc2.setText("这是修改过得Doc2文本");
doc2.addImage("哈哈.jpg");
doc2.showDocument();
originDoc.showDocument();
}
? ? ? ? 输入结果如下:
------------- WordDocument 构造函数 --------------
----------- Word Content Start -------------
Text : 这是一篇文档
Images List :
image name : 图片1
image name : 图片2
image name : 图片3
----------- Word Content End ----------
----------- Word Content Start -------------
Text : 这是一篇文档
Images List :
image name : 图片1
image name : 图片2
image name : 图片3
----------- Word Content End ----------
----------- Word Content Start -------------
Text : 这是修改过得Doc2文本
Images List :
image name : 图片1
image name : 图片2
image name : 图片3
image name : 哈哈.jpg
----------- Word Content End ----------
----------- Word Content Start -------------
Text : 这是一篇文档
Images List :
image name : 图片1
image name : 图片2
image name : 图片3
image name : 哈哈.jpg
----------- Word Content End ----------
? ? ? ? 细心的同学可能发现了,最后两个文档信息输出是一致的。我们在doc2添加了一张名为“哈哈.jpg”的图片,但是,同事也显示在originDoc中了,这是怎么回事呢?学习过C++的读者都会有比较深的体会,这是因为上问中WordDocumnet的clone方法中只是简单进行浅拷贝,引用类型的新对象doc2的mImages只是单纯地指向了this.mImages引用,并没有重新构造一个mImages对象,然后将原始文档中的图片添加到新的mImages对象中,这样就导致doc2中的mImages与原始文档中的是同一个对象,因此,修改了其中一个文字中的图片,另一个文档也会受影响。doc2的mImages添加了新的图片,实际上也就是往originDoc里添加了新的图片,所以,originDoc里面也有“哈哈.jpg”图片文件。那如何解决这个问题呢?答案就是采用深拷贝,即在拷贝对象时,对于引用型的字段也要采用拷贝的形式,而不是单纯引用的形式。clone方法修改如下。
/**
* 克隆对象
* @return
*/
@Override
protected WordDocument clone() {
try {
WordDocument doc = (WordDocument) super.clone();
doc.mText = this.mText;
//对mImages对象也调用clone函数,进行深拷贝
doc.mImages = (ArrayList<String>) this.mImages.clone();
return doc;
} catch (Exception e) {
}
return null;
}
? ? ? ? 如上诉代码所示,将doc.mImages指向this.mImages的一份拷贝,而不是this.mImages本身,这个doc2添加图片时并不会影响originDoc,运行结果如下。
------------- WordDocument 构造函数 --------------
----------- Word Content Start -------------
Text : 这是一篇文档
Images List :
image name : 图片1
image name : 图片2
image name : 图片3
----------- Word Content End ----------
----------- Word Content Start -------------
Text : 这是一篇文档
Images List :
image name : 图片1
image name : 图片2
image name : 图片3
----------- Word Content End ----------
----------- Word Content Start -------------
Text : 这是修改过得Doc2文本
Images List :
image name : 图片1
image name : 图片2
image name : 图片3
image name : 哈哈.jpg
----------- Word Content End ----------
----------- Word Content Start -------------
Text : 这是一篇文档
Images List :
image name : 图片1
image name : 图片2
image name : 图片3
----------- Word Content End ----------
? ? ? ? 原型模式是非常简单一个模式,他的核心问题就是对原始对象进行拷贝,在这个模式的使用过程中需要注意一点就是:深、浅拷贝的问题。在开发过程中,为了减少错误,建议大家在使用该模式时尽量使用深拷贝,避免操作副本时影响原始对象的的问题。
|