fiber
react fiber https://zhuanlan.zhihu.com/p/26027085 这篇文章有解释 fiber之前的协调,react会递归比对虚拟dom树,找出需要更新的节点然后同步更新他们,这个过程称为Reconcilation(协调) 在协调期间,react会一直占用浏览器资源,这样就会到这用户触发的事件得不到响应,还会导致掉帧,用户会感觉到卡顿。 一个虚拟dom也是最小工作单位,但其工作超过16ms,react也没办法,所以会造成卡顿。 这中调度方式叫做合作式调度,需要浏览器相信用户写的代码。 先基本了解一下fiber之前的代码是如何的  一颗dom树,深度遍历打印key   这种遍历是递归遍历,一旦层级较深,耗时就会过长,而且一旦中断,恢复就比较难了。 fiber的出现就很好的解决了这一点。 fiber可以合理的分配cpu资源,从而提高用户的响应速度。 fiber架构可以让Reconcilation(协调)过程变得可中断,适时的让出cpu执行权,可以让浏览器响应用户操作。
fiber是一个执行单元,每次执行完一个执行单元,react就会检查还剩多少时间,如果没有时间就把控制权转让出去。

fiber的实现
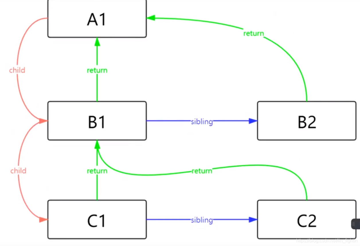
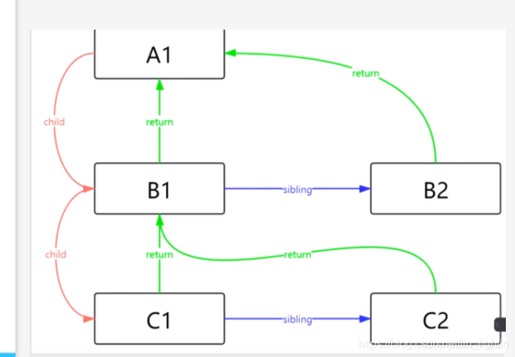
Reac目前的做法是使用链表,每个虚拟dom节点内部表示为一个fiber。 如图 
 每个fiber有三个属性,类型type(any),父节点return(fiber) 指向第一个子节点child(fiber),下一个弟弟sibling(fiber)
fiber执行阶段
每次渲染有两个阶段 Reconciliation阶段和commit阶段 协调阶段: 可以认为是diff阶段,这个阶段可以被中断,会找出所有节点变更,比如新增,删除,属性变更,这些变更react称之为副作用。 提交阶段:将上一个阶段计算出来的需要处理的副作用一次性执行了,这个阶段必须同步执行,且不能被打断。  这是根据上图写的一颗树。 遍历规则: 1 先儿子,后弟弟,再叔叔 2 自己所有子节点完成后自己完成 如这个图,从A1开始,A1有儿子,到B1,B1再到C1,此时C1没有儿子了,所以C1就算完成,接着遍历弟弟C2,C2也没儿子了,也完成了,然后B1的儿子都执行忘了,B1也算完成,B1完成了继续执行弟弟B2(也算执行叔叔b2),B2没儿子,所以也完成了,因为B1,B2都完成了,而且他们没有叔叔,即A1没有弟弟,所以就到了A1完成。 遍历的顺序: A1-B1-C1-C2-B2 完成的顺序: C1-C2_-B1-B2-A1  实现一个workLoop,用来执行fiber阶段  三步骤,先判断大儿子,再判断弟弟,最后再返回自己父亲。  打印下  可以看到是符合预判的。 再结合我们的requestIdleCallback  requestIdleCallback会申请时间片,当一帧渲染完还有时间的时候执行该回调函数。 如图  创建一个数组,放着四个任务,  调用requestIdleCallback函数,遍历执行works,执行workLoop函数, 该函数进来会先判断有没有剩余时间,并且works还有任务吗,有的话执行performUnitofWord函数执行任务,当超时后,会跳出while循环,然后任务还没完成完的话会继承调用requestIdleCallback函数在下个帧空闲的时间调用。   将他与我们定义的执行fiber阶段的函数结合起来使用,  直接调用requestIdleCallback执行我们的workLoop  同样的逻辑,当当前帧有剩余时间的执行继续执行下个fiber,没有的话就等下个时间片再执行. 
可以看到耗时大概是113ms,因为有五个要执行,时间差不多
 还可以传入第二个任务,因为当浏览器很可能没空的时候没有时间片分配,timeout是当你超过这个时间就必须执行我这个回调,不管你有没有空闲时间。所以requestIdLeCallback是属于低优先级,而requestAnimationFrame则是属于高优先级,他会在浏览器绘制前进行调用。
fiber小结:在fiber之前遍历虚拟dom的话是深度优先,无法停止,层级一深,耗时长,造成卡顿。在fiber之后,结合requestIdLeCallback,调用执行workLoop函数,通过requestldLeCallback的deadline拿到当前的帧剩余的时间戳,结合单链表的结构(nextUnitOfWord=perforUnitOfWord(nextPerforUnitOfWord))拿到下一个fiber,如果时间不够执行就先将权限还给浏览器,再在下个requestldLecallback再去调用fiber,,解决了之前的无法停止,卡顿问题。  相当于链表实现了一个类似于可以中断的功能。
|