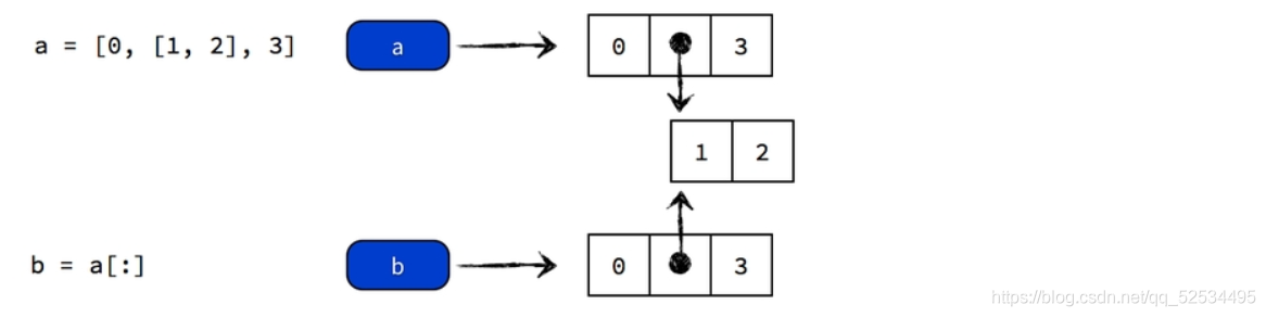
1、浅拷贝和深拷贝
b=a[:]
a[0]=8
a[1][1]=9
print(a)
print(b)

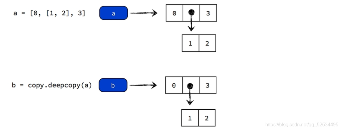
import copy
a= [0, [1, 2], 3]
b = copy.deepcopy(a)
a[0] = 8
a[1][1] = 9

深入理解赋值、浅拷贝、深拷贝的区别
import copy
a=[1,2,[3,4],{'a':1}]
b=a
c=copy.copy(a)
d=copy.deepcopy(a)
e=a[:]
a.append('add1')
a[2].append('add2')
a[3]='666'
print('a:',a)
print('b:',b)
print('c:',c)
print('d:',d)
print('e:',e)
执行结果:
a: [1, 2, [3, 4, 'add2'], '666', 'add1']
b: [1, 2, [3, 4, 'add2'], '666', 'add1']
c: [1, 2, [3, 4, 'add2'], {'a': 1}]
d: [1, 2, [3, 4], {'a': 1}]
e: [1, 2, [3, 4, 'add2'], {'a': 1}]
2、关于字典的一些操作
b=["习题1","习题2","习题3"]
a=dict.fromkeys(b,0)
a["newkey"]=value
a["key"]=value
print("key" in a)
del a["key"]
a.clear()
c=a.pop("key")
c=a.popitem()
3、如何创建自定义函数
自定义函数的五种方式
|