官方文档:Setting up VOT workspace 参考文章:VOT Toolkit工具使用说明(Python版)
本文章目的是为了方便在colab中使用vot-toolkit。 因为在windows下配置出了一些问题,又懒得折腾系统。
1.toolkit配置
(1)下载vot-toolkit-python工具包
!git clone https://github.com/votchallenge/vot-toolkit-python
下载后文件结构如图:  (2)环境 a.使用如下命令安装后就可以使用 vot 命令
!pip install git+https://github.com/votchallenge/vot-toolkit-python
b.初始化 worksapce, --nodownload 表示不下载数据集
!vot initialize vot2018 --workspace /content/vot-toolkit-python/ --nodownload
初始化后,新增文件如下:results(存放跟踪结果)、sequences(存放数据集)、config.yaml、tracker.ini  c.模型代码 我用的是官方给的示例代码。代码必须放在和 tracker.ini 文件同级目录下。
%cd /content/vot-toolkit-python
!git clone https://github.com/votchallenge/integration.git
d.Tracker integration 编辑 tracker.ini 文件,填入以下内容:
[NCCPython]
label = PyNCC
protocol = traxpython
command = python_ncc
paths = /content/vot-toolkit-python/integration/python
env_PATH = ${PATH}
e. 运行
!vot test NCCPython
!vot evaluate --workspace /content/vot-toolkit-python/ NCCPython
!vot analysis --workspace /content/vot-toolkit-python/ NCCPython
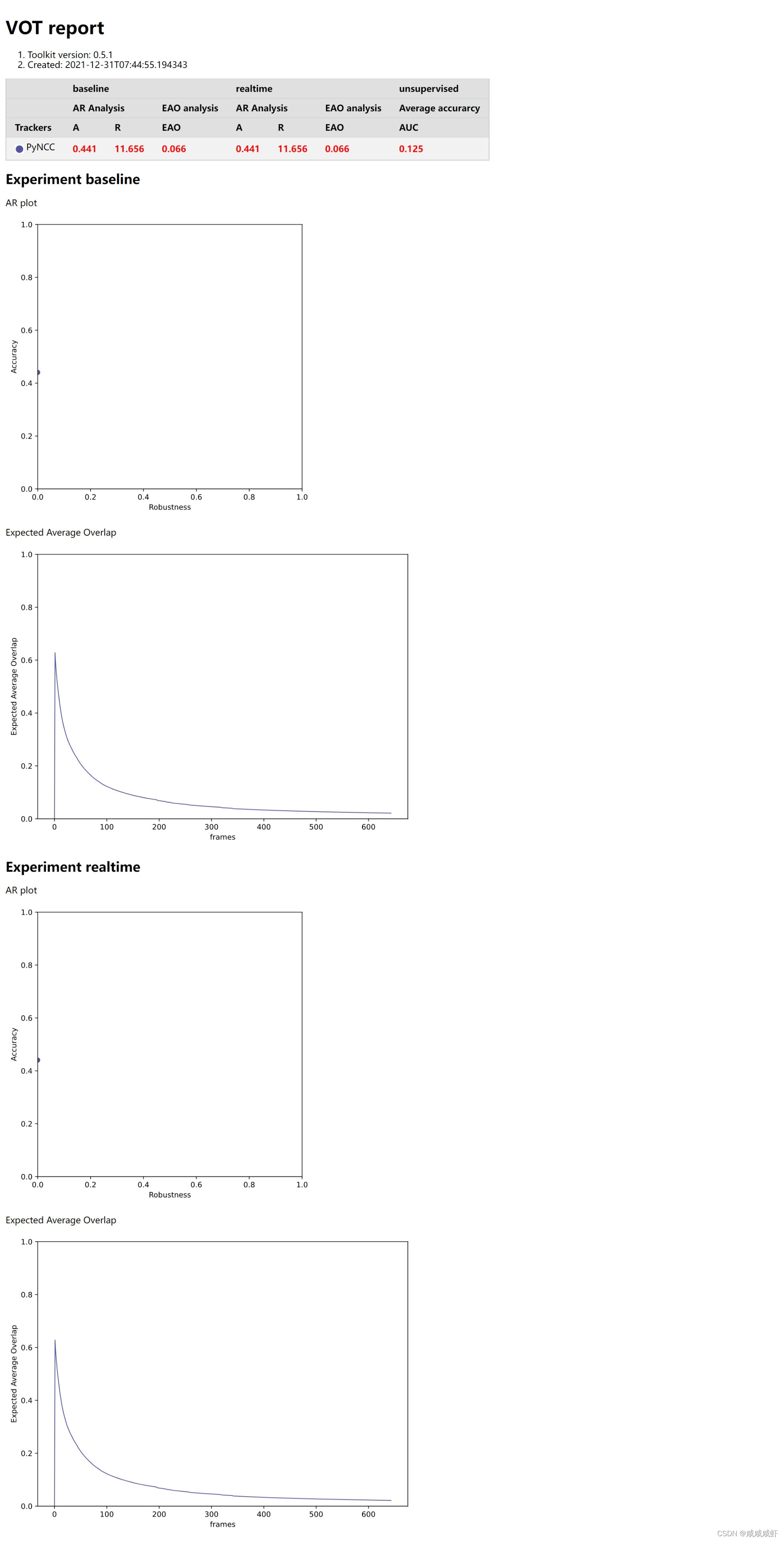
依次执行完 vot evaluate \ vot analysis之后,新增analysis、cache文件夹。 跟踪结果存放在之前的results目录下,分析结果存放在analysis目录下,是一个html文件。 
report.html如图: 
|