结果

存在问题
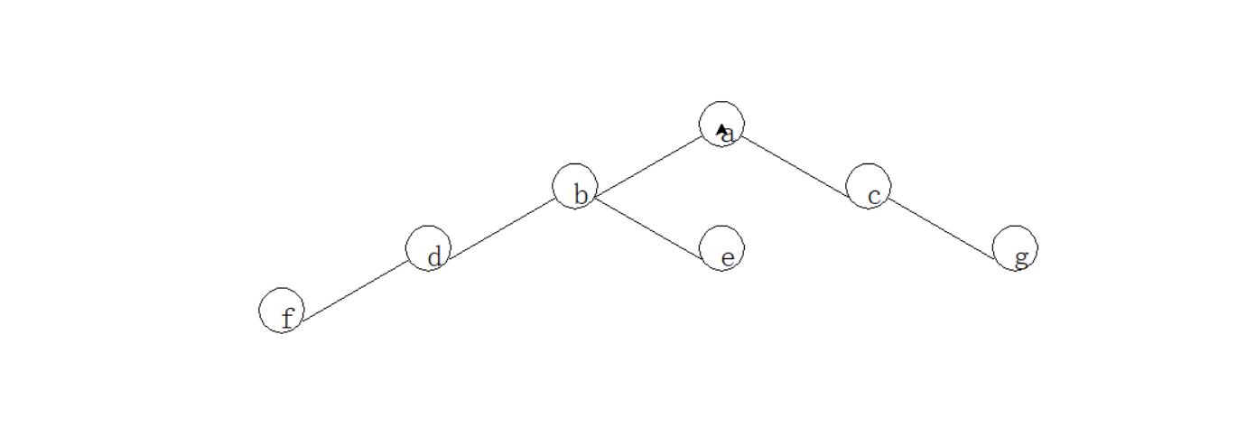
我把路径都设定为固定长度,所以不能满足所有的二叉树,会出现重合问题,看图 
源码
from turtle import *
import math
# 一些常数用于树构建时turtle的位置控制()
# POSITION[n]代表深度为n节点,画子节点的时候,俩节点连线与水平的距离
POSITION = [0, 30, 30, 30, 30]
# DISTANCE[n]代表深度为n节点与子节点连线长度
DISTANCE = [0, 150, 150, 150, 150, 150]
# XDISTANCE[n] XDISTANCE[n] 代表从双亲节点到子节点的x坐标和y坐标的改变量
XDISTANCE = [0, 75 * math.sqrt(3), 75 * math.sqrt(3), 75 * math.sqrt(3),
75 * math.sqrt(3), 75 * math.sqrt(3)]
YDISTANCE = [0, 55, 55, 55, 55, 55]
delay(0)
def paintTree(root, pos, n):
"""
二叉树使用turtle画图
"""
# 1.移动到当前节点所需要的的位置
penup()
goto(pos[0], pos[1])
pendown()
if root.flag == 0:
# 点的值
seth(0)
write(root.val, font=("宋体", 20, "normal"))
# 画圈
circle(20)
# 去当前圆圆心
penup()
seth(90)
forward(20)
pendown()
# 更新flag
root.flag = 1
if root.lchild is not None:
seth(180 + POSITION[n])
# 跳出圆圈
penup()
forward(20)
pendown()
# 前往下一个节点
forward(DISTANCE[n]-40)
paintTree(root.lchild, [pos[0] - XDISTANCE[n], pos[1] - YDISTANCE[n]], n+1)
# 返回这一层,画笔也要改变位置
penup()
goto(pos[0], pos[1] + 20)
pendown()
# 没有画过的点
if root.rchild is not None:
seth(0 - POSITION[n])
# 跳出圆圈
penup()
forward(20)
pendown()
# 前往下一个节点
forward(DISTANCE[n]-40)
paintTree(root.rchild, [pos[0] + XDISTANCE[n], pos[1] - YDISTANCE[n]], n+1)
# 返回这一层,画笔也要改变位置
penup()
goto(pos[0], pos[1] + 20)
pendown()
class BinaryTree:
def __init__(self, val, lchild=None, rchild=None):
self.val = val
self.rchild = rchild
self.lchild = lchild
self.flag = 0 # 在画turtle时标志当前节点是否已经被画过了
def createBinaryTree(root, vals):
if len(vals) == 0:
return root
if vals[0] != "#":
root = BinaryTree(vals[0])
vals.pop(0)
root.lchild = createBinaryTree(root.lchild, vals)
root.rchild = createBinaryTree(root.rchild, vals)
return root
else:
root = None
vals.pop(0)
return root
if __name__ == "__main__":
vals = list("abdf###e##c#g##") # 树的先序遍历结果("#"代表当前为None)
root = None
root = createBinaryTree(root, vals)
paintTree(root, [0, 200], 1)
done()
|