0 前言
介绍主流的深度学习优化方法(SGD,SGD with Momentum,Adagrad,RMSProp,Adam),梯度优化的基本原则是起始的时候降得快,后来降的慢,以此原则来理解下面这些算法。理解不是非常深,有问题希望大家指出。
1 SGD
一般的梯度下降所用的损失函数会计算所有样本的损失,但是随机梯度下降比梯度下降多了随机两个字,也即用样本中的一个例子的损失值来代替整体的损失。 因而随机梯度下降是会带来一定的问题,因为计算得到的并不是准确的一个梯度。如下图,SGD是按照单个样本更新,所以前面几次更新时很难保证沿着梯度下降,但是随着样本数增多,后面会接近最低点,相同计算量的前提下比GD效果好。 
2 SGD with momentum(SGDM)
SGDM也就是SGD+ Momentum,这里引入了一阶动量。从直观理解就是加入了一个惯性,在坡度比较陡的地方,会有较大的惯性,这是下降的多。坡度平缓的地方,惯性较小,下降的会比较慢。  V是前面梯度值的和。  之前的梯度大小会影响下一次的梯度下降: 
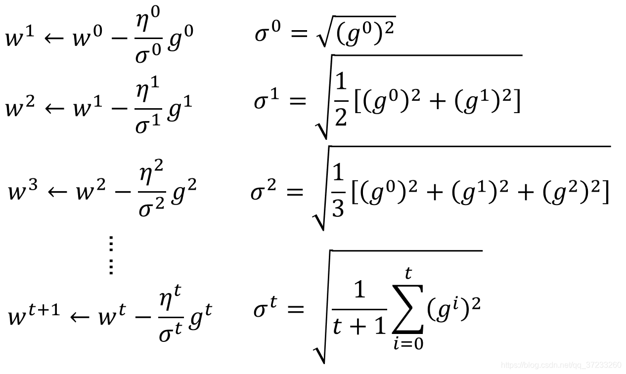
3 Adagrad
起到的效果是在参数空间更为平缓的方向,会取得更大的进步(因为平缓,所以历史梯度平方和较小,对应学习下降的幅度较小),并且能够使得陡峭的方向变得平缓,从而加快训练速度。
 其中:   代入消元可得最终表达式:  分母为累计平方梯度,且η为超参数,那么在每一轮迭代中学习率会越来越小,也就是说当前位置的梯度对参数的影响也越来越小。AdaGrad 算法在初始时鼓励收敛,随着迭代的深入慢慢变成惩罚收敛,速度也越来越慢。
4 RMSProp(root mean square prop)
因为Adagrad算法会出现提前停止的现象,所以在RMSProp(均方根传递)算法中解决了这个问题,RMSProp优化算法和AdaGrad算法唯一的不同,就在于累积平方梯度的求法不同。RMSProp算法不是像AdaGrad算法那样暴力直接的累加平方梯度,而是加了一个衰减系数来控制历史信息的获取多少,一般取0.9或者0.5,它采用指数加权平均的思想,只将最近的梯度进行累加计算平方。见下:  仍然是累加平方梯度,只是离的越远的梯度的权值越小,离的越近的越大,因为展开之后初始的梯度之前有很多累乘的系数。
5 Adam
虽然SGDM加速了我们对最小值方向的搜索,但RMSProp阻碍了我们在振荡方向上的搜索。Adam通过名字我们就可以看出他是基于SGDM和RMSProp的微调版本,该方法是目前深度学习中最流行的优化方法,在默认情况尽量使用Adam作为参数的更新方式。  和SGDM一样计算,加入动量,计算衰减梯度:
m
t
=
β
1
?
m
t
?
1
+
(
1
?
β
1
)
g
t
?
1
m_t=\beta _1\cdot m_{t-1}+\left( 1-\beta _1 \right) g_{t-1}
mt?=β1??mt?1?+(1?β1?)gt?1? 和RMSProp算法类似,计算衰减学习率:
v
t
=
β
2
?
v
t
?
1
+
(
1
?
β
2
)
(
g
t
?
1
)
2
v_t=\beta _2\cdot v_{t-1}+\left( 1-\beta _2 \right) \left( g_{t-1} \right) ^2
vt?=β2??vt?1?+(1?β2?)(gt?1?)2 最后更新参数:
θ
t
=
θ
t
?
1
?
η
v
^
t
+
ε
m
^
t
\theta_{t}=\theta_{t-1}-\frac{\eta}{\sqrt{\hat{v}_{t}}+\varepsilon} \hat{m}_{t}
θt?=θt?1??v^t?
?+εη?m^t?
|