一 模型训练
1.基于高层API训练模型
通过Model.prepare接口来对训练进行提前的配置准备工作,包括设置模型优化器,Loss计算方法,精度计算方法等。
2.使用PaddleX训练模型
3.模型训练通用配置基本原则
- 每个输入数据的维度要保持一致,且一定要和模型输入保持一致。
- 配置学习率衰减策略时,训练的上限轮数一定要计算正确。
- BatchSize不宜过大,太大容易内存溢出,且一般为2次幂。
二 超参优化
1.超参优化的基本概念
参数 参数是机器学习算法的关键,是从训练数据中学习到的,属于模型的一部分。  输入一个值(x),乘以权重,结果就是网络的输出值。权重可以随着网络的训练进行更新,从而找到最佳的值,这样网络就能尝试匹配输出值与目标值。 这里的权重其实就是一种参数。
超参数
模型的超参数指的是模型外部的配置变量,是不能通过训练的进行来估计其取值不同的,且不同的训练任务往往需要不同的超参数。 超参数不同,最终得到的模型也是不同的。 一般来说,超参数有:学习率,迭代次数,网络的层数,每层神经元的个数等等。
常见的超参数有以下三类:
- 网络结构,包括神经元之间的连接关系、层数、每层的神经元数量、激活函数的类型等 .
- 优化参数,包括优化方法、学习率、小批量的样本数量等 .
- 正则化系数
实践中,当你使?神经?络解决问题时,寻找好的超参数其实是一件非常困难的事情,对于刚刚接触的同学来说,都是"佛系调优",这也是一开始就"入土"的原因,没有依据的盲目瞎调肯定是不行的。
2.手动调整超参数的四大方法
我们在使用某一网络时,一般是比较好的论文中出现过的,是证明过的,当然也可以直接套用,然后在这个基础上,调参。
可是如果识别的领域不同,比如同样是LeNet网络,在解决手写数字识别时使用的超参数能得到很好的效果,但是在做眼疾识别时,因为数据集的不同,虽然使用同样的超参数,但是效果可能并不理想。
在<< Neural Network and Deep Learning >>这本书中,作者给出?些?于设定超参数的启发式想法。?的是帮读者发展出?套工作流来确保很好地设置超参数。这里我把书上的内容总结一下,再结合自己的思考,与大家共同探讨调整超参数的方法论。
不过呢,目前不存在?种通用的关于正确策略的共同认知,这也是超参数调节的"玄学"之处。
1)使用提前停止来确定训练的迭代次数
做法其实很简单,做一个判断,满足条件时退出循环,终止训练: 那么这个if条件判断就十分重要了,这里有两种方案:
- 分类准确率不再提升时
- loss降到一个想要的范围时
分类准确率不再提升时 我们需要再明确?下什么叫做分类准确率不再提升,这样方可实现提前停止。
我们知道,分类准确率在整体趋势下降的时候仍旧会抖动或者震荡。如果我们在准确度刚开始下降的时候就停止,那么肯定会错过更好的选择。?种不错的解决方案是如果分类准确率在?段时间内不再提升的时候终止。
当然这块用loss也是可以的,loss也是一个评判标准。
loss降到一个想要的范围时 这是我经常使用的、更直接的方法。
因为网络有时候会在很长时间内于?个特定的分类准确率附近形成平缓的局面,然后才会有提升。如果你想获得相当好的性能,第一种方案(分类准确率不再提升时)的规则可能就会太过激进了 —— 停止得太草率。
而本方案(loss降到一个想要的范围时)能很好地解决这一问题,但随之而来的问题就是不知不觉地又多了一个超参数,实际应用上,这个用于条件判断的loss值的选择也很困难。
2)让学习率从高逐渐降低
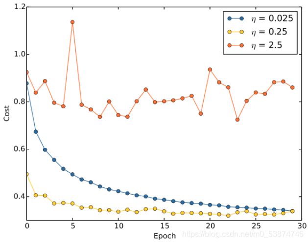
我们?直都将学习速率设置为常量。但是,通常采用可变的学习速率更加有效。
如果学习率设置的过低,在训练的前期,训练速度会非常慢;而学习率设置地过高,在训练的后期,又会产生震荡,降低模型的精度: 
所以最好是在前期使用一个较大的学习速率让权重变化得更快。越往后,我们可以降低学习速率,这样可以作出更加精良的调整。
?种自然的观点是使用提前终止的想法。就是保持学习速率为?个常量直到验证准确率开始变差,然后按照某个量下降学习速率。我们重复此过程若干次,直到学习速率是初始值的 1/1024(或者1/1000),然后终止训练。
3)宽泛策略
在使用神经网络来解决新的问题时,?个挑战就是获得任何?种非寻常的学习,也就是说,达到比随机的情况更好的结果。
也许下面的方法能给你带来某些不一样的启发:
通过简化网络来加速实验进行更有意义的学习 通过更加频繁的监控验证准确率来获得反馈 通过简化网络来加速实验进行更有意义的学习 假设,我们第?次遇到 MNIST 分类问题。刚开始,你很有激情,但是当模型完全失效时,你会就得有些沮丧。
此时就可以将问题简化,将十分类问题转化成二分类问题。丢开训练和验证集中的那些除了 0 和 1的那些图像,即我们只识别0和1。然后试着训练?个网络来区分 0 和 1。
这样一来,不仅仅问题比 10 个分类的情况简化了,同样也会减少 80% 的训练数据,这样就多出了 5 倍的加速。同时也可以保证更快的实验,也能给予你关于如何构建好的网络更快的洞察。
通过更加频繁的监控验证准确率来获得反馈
4)小批量数据(mini-batch)大小不必最优
假设我们使用大小为 1 的小批量数据。而一般来说,使用只有?个样本的小批量数据会带来关于梯度的错误估计。
而实际上,误差并不会真的产?这个问题。原因在于单?的梯度估计不需要绝对精确。我们需要的是确保代价函数保持下降足够精确的估计。
这就好像你现在要去北极点,但是只有?个不太精确的指南针。如果你不再频繁地检查指南针,指南针会在平均状况下给出正确的?向,所以最后你也能抵达北极点。
不过使用更大的小批量数据看起来还是显著地能够进行训练加速的。
所以,选择最好的小批量数据大小是?种折中。小批量数据太小会加长训练时间;而小批量数据太大是不能够足够频繁地更新权重的。你所需要的是选择?个折中的值,可以最大化学习的速度。
幸运的是,小批量数据大小的选择其实是相对独立的?个超参数(网络整体架构外的参数),所以你不需要优化那些参数来寻找好的小批量数据大小。
因此,可以选择的方式就是使用某些可以接受的值(不需要是最优的)作为其他参数的选择,然后进行不同小批量数据大小的尝试,就像上面调整学习率那样,画出验证准确率的值随时间(非回合)变化的图,选择得到最快性能提升的小批量数据大小。
|