|

论文提取链接:链接:https://pan.baidu.com/s/1LqNBgL9Va4puiDEljp9syg? ?提取码:visf?
YOLO设计之初:就希望网络比较迅速,做到实时处理(你仅看一眼)—— One Stage网络
1、摘要和介绍:
YOLO是做目标检测的,通过回归来做到这一点,即把一个端到端的网络设计成一个回归器
2、Unified Detection:
此节须知:需要知道的是YOLOV1版本想要预测什么,会给出我们怎样的结果,也即YOLO作为一个回归器,它要给我们预测怎样的值
Pr(Object):在训练时要么是1,要么是0。但是在预测的时候,并不会单独给出Pr(Object)具体的值,而是给出 Pr(Object) * IOU
- Each bounding box consists of 5 predictions: x, y, w, h, and confifidence.?
- 如果划分成 7*7,每个grid cell预测两个bbox,每个框得到5个值,总共有类别C为20,所以yolo会得到7*7*2*5 + 7*7*20 = 7*7*30的tensor(多维数组)
- 使用 sum-square error 作为 loss
想要模型完成怎样的功能,就要设计怎样的损失函数(Loss Func)。做机器学习要训练模型里面的参数其实就是设计损失函数使其最小化

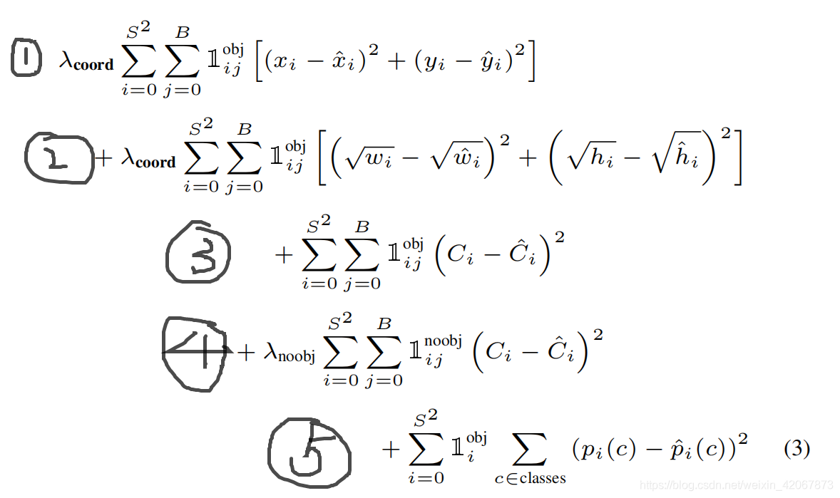
?损失函数:(Loss function)
- 如下① ②部分是和坐标宽高有关系的式子,所以仅在有预测目标存在的情况下才会对损失函数有影响
如图所示,③ ④部分权重一个是1,一个是0.5,这样做主要是在分类时平衡正负例样本,其中。C代表置信度分值

?3、预测:(Inference)

- 首选通过阈值对所有的候选框过滤(threshold),合格的liu
- 通过NMS剩下的bbox,再最后展示给用户
4、限制:(Limitations of YOLO)
- YOLO v1是直接预测每个bbox的,没有一个基准框的作为依据,所以为了更好地做预测,就必须要有大量的标签,数据集必须很大,这也是yolov1预测不是很准的原因之一
- YOLOv1设计缺陷:无法实现一个cell实现多个类别的预测(比如多个类别落到一个cell中)

|