|
目录
1. 数据来源
2. 作业描述
3.数据预处理
3.1 导入数据
3.2 正则化
4. Logistic Regression
4.1 相关公式与推导
4.2?定义需要用到的函数
4.2.1?将训练集分为训练集和验证集
4.2.2? 行打乱
?4.2.3 sigmoid函数
4.2.3 逻辑回归的方程
4.2.3 对预测结果取整数?
4.2.4 准确率
4.2.5 交叉熵
4.2.6 计算梯度
4.3 开始训练
4.4 绘制loss和accuracy图像?
4.5 开始测试
5.?Porbabilistic generative model 概率生成模型
5.1?计算两个类别的协方差
5.2 求协方差的逆矩阵
5.3 参数计算
5.4 预测
1. 数据来源
链接:https://pan.baidu.com/s/1J0tSiFUTbSdprff6USf0iQ? 提取码:wc2r
一共有六个文件,实际上只需要后三个文件即可,后三个文件是老师事先帮我们将数据整理成csv格式并且全都是数字的数据。
参数共有510个。
2. 作业描述
根据提供的人们的各项资料,预测其年收入是否高于50000美元。
输入是510维的数据,输出是一个bool值表示是或者不是。
3.数据预处理
3.1 导入数据
import numpy as np
import matplotlib.pyplot as plt # 画图的包= =
# seed里面的参数相同时,生成的随机数也一样
np.random.seed(0)
with open(X_train_fpath) as f:
next(f) # 跳过第一行(第一行都是中文解说啦),直接从第二行开始读取数据
X_train = np.array([line.strip('\n').split(',')[1:] for line in f], dtype=float) # 列表生成式
with open(Y_train_fpath) as f:
next(f)
Y_train = np.array([line.strip('\n').split(',')[1] for line in f], dtype=float)
with open(X_test_fpath) as f:
next(f)
X_test = np.array([line.strip('\n').split(',')[1:] for line in f], dtype=float)
3.2 正则化
def _normalize(X, train = True, specified_column = None, X_mean = None, X_std = None):
'''
This function normalizes specific columns of X.
The mean and standard variance of training data will be reused when processing testing data.
:param X: data to be processed
:param train: 'True' when processing training data,'False' for testing data
:param specified_column: indexs of the columns that will be normalized.
if 'none' all column will be normalized.
:param X_mean: mean value of training data,used when train = 'False'
:param X_std: standard deviation of training data, used when train = 'False'
:return:
X: normalized data
X_mean:computed mean value of training data
X_std:computed standard deviation of training data
'''
if specified_column == None:
specified_column = np.arange(X.shape[1]) # arange函数用于创建等差数组
if train: # 此时处理的是training data
X_mean = np.mean(X[:, specified_column], axis=0).reshape(1, -1)
X_std = np.std(X[:, specified_column], axis=0).reshape(1, -1)
X[:, specified_column] = (X[:, specified_column] - X_mean) / (X_std + 1e-8) # 避免除数为0的情况
return X, X_mean, X_std
X_train, X_mean, X_std = _normalize(X_train, train = True)
X_test, _, _ = _normalize(X_test,train = False,X_mean = X_mean,X_std = X_std)
4. Logistic Regression
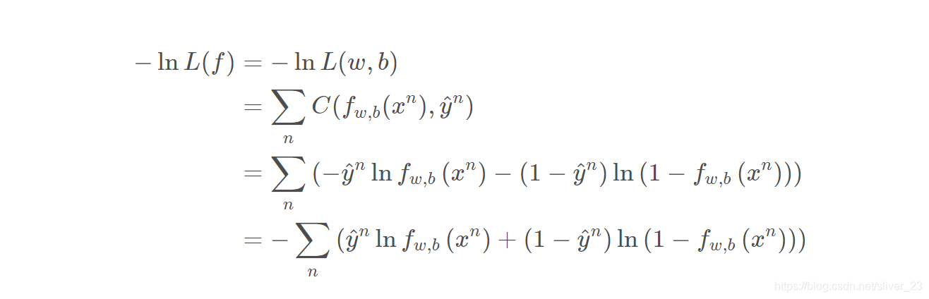
4.1 相关公式与推导



对于一组训练集?

产生这一组w,b的概率为:

其中

求偏导
?最后结果为:

相较于线性回归,异同如下:

4.2?定义需要用到的函数
4.2.1?将训练集分为训练集和验证集
def _train_dev_split(X, Y, dev_ratio = 0.25):
train_size = int(len(X) * (1 - dev_ratio))
return X[:train_size], Y[:train_size], X[train_size:], Y[train_size:]
dev_ratio = 0.1
X_train, Y_train, X_dev, Y_dev = _train_dev_split(X_train, Y_train, dev_ratio=dev_ratio)
验证下:
# 求出一些有用的维度数
train_size = X_train.shape[0]
dev_size = X_dev.shape[0]
test_size = X_test.shape[0]
data_dim = X_train.shape[1]
print("Size of training set = {}.".format(train_size))
print("Size of development set = {}.".format(dev_size))
print("Size of test set = {}.".format(test_size))
print("Size of data dim = {}.".format(data_dim))
运行,

4.2.2? 行打乱
多维矩阵中,只对第一维(行)做打乱顺序操作。也就是每一行的数据不动,但是行的顺序改变。 例: 在一维中,np.random.shuffle(randomize) 将列表randomize内元素打乱顺序 在二维中,randomize记录X的行下标:randomize = np.arange(len(X)),在经过np.random.shuffle(randomize) 后元素顺序改变; 由于randomize与X的下标绑定,randomize内元素顺序改变,那么X的下标也进行同步的改变
def _shuffle(X,Y):
randomize = np.arange(len(X))
np.random.shuffle(randomize)
return X[randomize], Y[randomize]
?4.2.3 sigmoid函数
np.clip(a, a_min, a_max, out=None):
取a数组中的闭区间[a_min, a_max],数组中小于a_min的数都变成a_min,大于a_max的数都变成a_max
?如: a = np.arange(10) np.clip(a, 1, 8) array([0, 1, 2, 3, 4, 5, 6, 7, 8, 9]) 会变成 array([1, 1, 2, 3, 4, 5, 6, 7, 8, 8])
def _sigmoid(z):
# 为避免溢出,设置了最大最小值,即如果sigmoid函数的最小值比1e-8小,只会输出1e-8;而比1 - (1e-8)大,则只输出1 - (1e-8)
return np.clip(1 / (1.0 + np.exp(-z)), 1e-8, 1 - (1e-8))
4.2.3 逻辑回归的方程
逻辑回归的方程,输入为x,参数为w,bias是b,注意X与w都是数组,b是一个数
def _f(X,w,b):
return _sigmoid(np.matmul(X, w) + b)
4.2.3 对预测结果取整数?
np.round(数据, decimal=保留的小数位数)
原则:
一般该函数遵循四舍五入原则:np.round(11.5)=12
但是会有特殊情况:当整数部分以0结束时,一律是向下取整:np.round(10.5)=10
比较稳定的浮点数取整:向上的np.ceil(11.5)=12,向下的floor(11.5)=11
def _predict(X, w,b):
return np.round(_f(X, w, b)).astype(int)
4.2.4 准确率
def _accuracy(Y_pred,Y_label):
acc = 1 - np.mean(np.abs(Y_pred - Y_label))
# 如果预测正确,则结果是0,否则结果是1,那么我们求mean平均值的话所得值是1的概率(mean相当于1的个数 / 总个数), 那么我们求0的概率就是1 - it。
return acc
4.2.5 交叉熵
# 按照公式打出来的
def _cross_entropy_loss(y_pred,Y_label):
cross_entropy = -np.dot(Y_label, np.log(y_pred)) - np.dot((1 - Y_label), np.log(1 - y_pred))
return cross_entropy
4.2.6 计算梯度

?
def _gradient(X,Y_label,w,b):
y_pred = _f(X, w, b)
pred_error = Y_lable - y_pred
# X.T就是X的转置,axis取值为1时代表将每一行的元素相加,实际上返回的是1行510列的数组
w_grad = -np.sum(pred_error * X.T, 1)
# 对b求偏微分后的结果,黑板上没有,但因为逻辑回归和线性回归的损失函数相似,可由线性回归对b进行求偏微分得到
b_grad = -np.sum(pred_error)
return w_grad, b_grad
4.3 开始训练
# 我们使用小批次梯度下降法来训练。训练资料被分为许多小批次,针对每一个小批次,我们分别计算其梯度以及损失,并根据该批次来更新模型的参数。
# 当一次循环完成,也就是整个训练集的所有小批次都被使用过后,我们将所有的训练资料打散并重新分为新的小批次,进行下一次循环,直至事先设定的循环次数达成位置
# 1.使用0初始化w,b参数
w = np.zeros((data_dim,)) # 默认列数为1
#data_dim = X_train.shape[1]列数
b = np.zeros((1,)) # b就只是一个数字而已啦
max_iters = 20
batch_size = 8
learning_rate = 0.05
# 2.保存每次迭代时的loss和accuracy用于画图
train_loss = [] # 训练集的loss值
dev_loss = [] # 验证集的loss值
train_acc = [] # 训练集的正确率
dev_acc = [] # 验证集的正确率
# 3.迭代训练
# 记录参数更新的次数
step = 1
#Iterative training
for epoch in range(max_iters):
# 随机的将X,Y的顺序打乱
X_train, Y_train = _shuffle(X_train, Y_train)
# Mini_batch training
for idx in range(int(np.floor(train_size / batch_size))): # 分别取X和Y中的对应8个数据(每个批次8个数据)
X = X_train[batch_size * idx: batch_size * (idx + 1)]
Y = Y_train[batch_size * idx: batch_size * (idx + 1)]
# 计算梯度
w_grad, b_grad = _gradient(X, Y, w, b)
# 更新参数,自适应学习率这次使用的是非常简单的学习率除以更新次数的根
w = w - learning_rate / np.sqrt(step) * w_grad
b = b - learning_rate / np.sqrt(step) * b_grad
step = step + 1
# 计算training set和devlopment set的loss和准确率
y_train_pred = _f(X_train, w, b)
Y_train_pred = np.round(y_train_pred) # 将数据转换成bool格式的
train_acc.append(_accuracy(Y_train_pred, Y_train)) # 记录此次迭代的准确率
train_loss.append(_cross_entropy_loss(y_train_pred, Y_train) / train_size) #记录此次迭代的loss
# 对验证集进行同样的操作
y_dev_pred = _f(X_dev, w, b)
Y_dev_pred = np.round(y_dev_pred)
dev_acc.append(_accuracy(Y_dev_pred, Y_dev))
dev_loss.append(_cross_entropy_loss(y_dev_pred, Y_dev) / dev_size)
# 输出最后依次迭代的结果
print("Training loss : {}.".format(train_loss[-1]))
print("Development loss :{}.".format(dev_loss[-1]))
print("Training acc: {}.".format(train_acc[-1]))
print("Development acc :{}.".format(dev_acc[-1]))
# 将参数保存下来
np.save("Weight.w2.npy", w)
运行,可以看到:

4.4 绘制loss和accuracy图像?
# loss curve
plt.plot(train_loss)
plt.plot(dev_loss)
plt.title('loss')
plt.legend(['train', 'dev'])
plt.savefig('loss.png')
plt.show()
# accuracy curve
plt.plot(train_acc)
plt.plot(dev_acc)
plt.title('Accuracy')
plt.legend(['train', 'dev'])
plt.savefig('Acc.png')
plt.show()

?
4.5 开始测试
# 预测datatest得到预测结果
w = np.load("Weight.w2.npy") # 加载参数
# Predict testing labels
predictions = _predict(X_test, w, b)
with open(output_fpath.format('logistic'), 'w') as f:
f.write('id,label\n')
# # enumerate多用于在for循环中得到计数,利用它可以同时获得索引和值
for i, label in enumerate(predictions):
f.write('{},{}\n'.format(i, label))
# # 找到权重中最大的前十项,即关联结果的最紧密的参数
ind = np.argsort(np.abs(w))[::-1]
with open(X_test_fpath) as f:
content = f.readline().strip('\n').split(',')
features = np.array(content)
for i in ind[0:10]:
print(features[i], w[i])
5.?Porbabilistic generative model 概率生成模型
5.1?计算两个类别的协方差
类别0:年收入不超过50000美元
类别1:年收不超过50000美元


由于两个类别公用一个协方差,所以模型共享的协方差矩阵为所有协方差的加权平均值。

# 第0类为收入高与5w美元的
# 第1类为收入低于5w美元的
X_train_0 = np.array([x for x, y in zip(X_train, Y_train) if y == 0])
X_train_1 = np.array([x for x, y in zip(X_train, Y_train) if y == 1])
mean_0 = np.mean(X_train_0, axis=0)
mean_1 = np.mean(X_train_1, axis=0)
# 计算类内协方差
cov_0 = np.zeros((data_dim, data_dim))
cov_1 = np.zeros((data_dim, data_dim))
# 求第0类的协方差
for x in X_train_0:
cov_0 += np.dot(np.transpose([x - mean_0]), [x-mean_0]) / X_train_0.shape[0]
# 求第1类的协方差
for x in X_train_1:
cov_1 += np.dot(np.transpose([x - mean_1]), [x - mean_1]) / X_train_1.shape[0]
print("cov0 : {}".format(cov_0))
print("cov1 : {}".format(cov_1))
#若两类共用一个协方差
# 模型共享的协方差矩阵为所有协方差的加权平均值
cov = (cov_0 * X_train_0.shape[0] + cov_1 * X_train_1.shape[0]) / train_size
print("cov : {}".format(cov))
5.2 求协方差的逆矩阵
np.linalg.svd(a,full_matrices=1,compute_uv=1)
参数:
a是一个形如(M,N)矩阵
full_matrices的取值是为0或者1,默认值为1,这时u的大小为(M,M),v的大小为(N,N) 。否则u的大小为(M,K),v的大小为(K,N) ,K=min(M,N)
compute_uv的取值是为0或者1,默认值为1,表示计算u,s,v。为0的时候只计算s。
返回值:
总共有三个返回值u,s,v
u大小为(M,M),s大小为(M,N),v大小为(N,N)。
A = u*s*v qi
其中s是对矩阵a的奇异值分解。s除了对角元素不为0,其他元素都为0,并且对角元素从大到小排列。s中有n个奇异值,一般排在后面的比较接近0,所以仅保留比较大的r个奇异值。
?
?
# 计算协方差矩阵的逆
# 协方差矩阵可能是奇异矩阵, 直接使用np.linalg.inv() 可能会产生错误
# 通过SVD矩阵分解,可以快速准确地获得方差矩阵的逆
u, s, v = np.linalg.svd(cov, full_matrices=False)
inv = np.matmul(v.T * 1 / s, u.T)
5.3 参数计算
# 计算w和b
w = np.dot(inv, (mean_0 - mean_1))
b = (-0.5) * np.dot(mean_0, np.dot(inv, mean_0)) + 0.5 * np.dot(mean_1, np.dot(inv, mean_1)) + np.log(float(X_train_0.shape[0]) / X_train_1.shape[0])
# 保存参数
np.save("weight_generative.npy", w)
#加载参数
w = np.load('weight_generative.npy')
Y_trained_pred = 1 - _predict(X_train, w, b)
print('Training accuracy : {}.'.format(_accuracy(Y_trained_pred, Y_train)))
5.4 预测
prediction = _predict(X_test, w, b)
with open(output_fpath.format("generative"),'w') as f:
f.write("id, label\n")
for id, label in enumerate(prediction):
f.write("{}, {}\n".format(id, label))
# 打印出权值最高的10个参数
sort = np.argsort(np.abs(w))[::-1]
with open(X_test_fpath) as f:
content = f.readline().strip("\n").split(',')
features = np.array(content)
for i in sort[0:10]:
print(features[i], w[i])
输出的结果为:

结束。
?
|