前述
- 本文是2021年发表在 IEEE TRANSACTIONS ON SYSTEMS, MAN, AND CYBERNETICS:SYSTEMS上的一篇文章。
- 论文链接请戳这里
论文贡献
- 一种新的similarity衡量方式,通过从每个聚类结点开始随机游走,从而捕捉更高级别的ensemble information。
- 提出了一种ECA矩阵,这种矩阵同时反应了对象的共生关系和聚类的结构信息。
- 提出了两种一致性函数(共识函数)用于对得到的ECA矩阵进行聚类。
Notation
-
X
=
(
x
1
,
x
2
,
.
.
.
x
N
)
X=(x_1,x_2,...x_N)
X=(x1?,x2?,...xN?) :样本数据集。
-
Π
=
{
π
1
,
.
.
.
π
M
}
Π=\{\pi^1,...\pi^M\}
Π={π1,...πM}:表示M个基聚类器,
π
?
\pi^*
π?表示集成聚类的结果。
-
π
m
=
{
C
1
m
,
C
2
m
,
.
.
.
,
C
n
m
m
}
,
C
j
m
\pi^m=\{C^m_1,C^m_2,...,C^m_{n^m}\},C^m_j
πm={C1m?,C2m?,...,Cnmm?},Cjm?代表第m个基聚类器中的第j个簇。
-
n
m
n^m
nm代表第m个基聚类器中的簇个数,
N
c
=
∑
m
=
1
M
n
m
N_c=\sum^M_{m=1}n^m
Nc?=∑m=1M?nm代表所有簇的个数。
Propagation of cluster-wise similarities
这部分用于阐明如何进行随机游走,以及产生一个新的cluster-wise similarity matrix(该矩阵并不是ECA矩阵)。具体而言,分为以下两个步骤。
- 1)构造图G(V,E),其中V代表所有的簇的集合,边集
E
=
{
e
i
j
=
J
a
c
c
a
r
d
(
C
i
,
C
j
)
∣
0
?
i
,
j
?
N
c
}
E=\{e_{ij}=Jaccard(C_i,C_j)|0\leqslant i,j\leqslant N^c\}
E={eij?=Jaccard(Ci?,Cj?)∣0?i,j?Nc}这是initial similarity graph。关于Jaccard相关系数可以点击这里。
- 2)加入multiscale信息,具体的方法为首先构造一个概率转移矩阵,再通过概率转移矩阵构造一个新的相似度矩阵。
??????2.1)构建单步概率转移矩阵 ???????????????????????????? ??????2.2)多步概率转移矩阵 ?????????????????????????? - 从节点
C
i
C_i
Ci?开始进行t步的随机游走(random walk),定义符号
P
i
:
(
1
:
t
)
=
{
P
i
:
(
1
)
,
P
i
:
(
2
)
,
.
.
.
,
P
i
:
(
t
)
}
P^{(1:t)}_{i:}=\{P^{(1)}_{i:},P^{(2)}_{i:},...,P^{(t)}_{i:}\}
Pi:(1:t)?={Pi:(1)?,Pi:(2)?,...,Pi:(t)?}代表随机游走的轨迹,其中
P
i
:
(
t
)
=
{
P
i
1
(
t
)
,
P
i
2
(
t
)
,
.
.
.
,
P
i
N
(
t
)
}
P^{(t)}_{i:}=\{P^{(t)}_{i1},P^{(t)}_{i2},...,P^{(t)}_{iN}\}
Pi:(t)?={Pi1(t)?,Pi2(t)?,...,PiN(t)?}
- 新的相似度矩阵
Z
=
{
z
i
j
}
N
c
?
N
c
Z=\{z_{ij}\}_{N_c*N_c}
Z={zij?}Nc??Nc??,其中
z
i
j
=
S
i
m
(
P
i
:
(
1
:
t
)
,
P
j
:
(
1
:
t
)
)
z_{ij}=Sim(P^{(1:t)}_{i:},P^{(1:t)}_{j:})
zij?=Sim(Pi:(1:t)?,Pj:(1:t)?),
S
i
m
(
?
,
?
)
Sim(·,·)
Sim(?,?)是某种相似度衡量方式。文章采用的是余弦相似度。
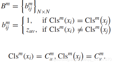
ECA(Enhanced co-association matrix)矩阵构建
- 得到相似度矩阵Z以后,继续将其(簇级别)映射至对象级别。
- 首先,对于每一个基聚类器,构建一个矩阵
A
m
A^m
Am,这个矩阵描述了每一个簇中包含有的样本。再根据
A
m
A^m
Am构建共关联矩阵
A
A
A。具体如图下图所示。
??????????????? - 根据两个相似度矩阵
Z
Z
Z和
A
A
A,得到新的ECA矩阵,这个矩阵不仅考虑了co-coccurrence,还考虑了multiscale cluster-wise similarity。
???????????????
两种共识函数(consensus function)
在得到了上述的ECA矩阵以后,我们可以对其进行任意方法的聚类,文章中提供了两种方法。分别为:
- 基于层次聚类(hierarchical clustering)的共识函数——使用average-link对得到的ECA进行聚类。
- 基于元聚类(meta-clustering)的的共识函数——这个和CBGF里面用到的方法一样,但是这篇文章里把他称为ECPCS-MC。
实验
|