|
《本文同步发布于“脑之说”微信公众号,欢迎搜索关注~~》
**摘要:**虽然大多数生物系统的功能受到其结构的严格限制,但目前的证据表明,大脑网络的结构和功能之间的耦合是相对温和的。我们的目的是研究连接体结构和功能之间的适度耦合是神经系统的基本属性还是当前脑网络模型的局限性。我们开发了一个新的深度学习框架来预测个体的大脑功能的结构体,达到的预测精度,大大超过了最先进的生物物理模型。重要的是,从个体的结构连接体预测的大脑功能解释了认知表现的显著个体间差异。我们的结果表明,人类大脑网络的结构-功能耦合比之前认为的要紧密得多。我们建立了现有的大脑网络模型可以改进的边界,并展示了深度学习如何促进大脑功能和行为之间关系的研究。 1.简述 在本研究中,我们使用一种新的深度学习框架,从1000名健康成年人的结构连接预测功能连接。尽管之前的大多数研究考虑了群体平均功能连通性的预测,我们为每个个体生成了个性化预测,从而保留了预测功能连通性的个体间差异,并使研究这种差异是否与行为和认知的测量有关成为可能。我们对每个个体的预测功能网络和从他们的静息态功能MRI数据中得到的经验功能连接进行了基准测试。我们假设,与生物物理模型相比,深度学习将显著改善个体和群体水平的功能连通性预测。这项研究提供了新的证据,表明人类连接体中的结构-功能耦合比先前暗示的更强,并证明从结构预测功能是足够准确的,以解释某些行为测量中的个体间差异。图1提供了研究的概览示意图。 
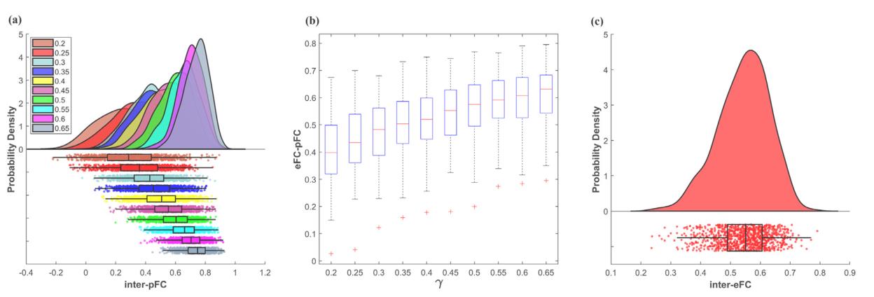
图1 研究设计和方法学 2. 材料和方法 2.1 结构连接映射 我们从HCP获得了每个个体的最低限度预处理的弥散加权MRI数据。简单地说,在三个b值(1000,2000和3000 s/ mm2)上,利用自旋回波平面成像获得了90个梯度方向。预处理包括对涡流、头部运动和梯度非线性畸变的校正,然后将校正后的体积转换为标准空间和梯度矢量的旋转。 对预处理后的弥散加权MRI数据进行全脑纤维追踪。这包括使用受限球形去卷积(CSD)估算每个白质体素的多个纤维方向,然后使用确定性跟踪在白质体中传播流线。根据最近的建议,我们选择了基于CSD的确定性追踪。流线是从自动结构分割的白质mask种子化的。白质mask的边界被放大一个体素,以填补灰质和白质边界之间的潜在缺口。流线使用MRtrix软件包的tckgen函数中的sd_stream选项传播,使用默认步长和FOD阈值。CSD采用8次球形谐波,最大流线长度为400毫米,每个个体产生了200万条流线。通过枚举连接每对区域的流线总数,绘制出每个个体的结构连接矩阵,这些流线包括建立的皮层分区图谱。个体结构连接矩阵元素(i,j)的年代存储从i到j流线的总数,提供一个这两个区域之间的结构连接强度的测度。两个端点驻留在同一区域的流将被丢弃。 结构连接强度被发现在成对的皮质区域之间表现出数量级的变化。为了缓解潜在的数值缩放问题和稳定神经网络的训练,我们对结构连接矩阵应用了高斯重采样程序。最后,每个重采样的结构连通性矩阵被重新调整为均值为0.5,标准差为0.1。这是一个保持秩的规格化。对于非均匀尺度的数据样本,归一化是必不可少的。如果不进行归一化,远离均值的数据点会过度影响神经网络的权值,导致不稳定和性能差。 2.2 功能连接映射 最小预处理静息状态功能MRI (rs-fMRI)数据来自HCP。最小的预处理包括使用ICA-FIX进行数据清理,并将数据非线性转换到蒙特利尔神经学研究所(MNI)的标准空间。这两个run被去时间均值,然后连接起来,有效地为每个人产生了总计2400个volumes。 使用皮尔逊相关系数计算每个个体的函数连接矩阵来推断功能连接强度。特别是,首先对包含区域的所有体素进行空间平均,以产生区域平均时间序列。个体的功能连通矩阵的元素(i,j)存储区域之间的皮尔逊相关系数。鉴于这些矩阵是从经验获得的数据推断出来的,我们将它们称为经验功能连通性(empirical functional connectivity, eFC),与预测功能连通性(predicted functional connectivity, pFC)建立了区别。 2.3 深度学习网络 通过训练前馈全连接神经网络,从结构连接预测功能连接。网络结构如图1b所示。神经网络具有每个个体的重新缩放的结构连接矩阵的唯一元素(上三角形),并经过训练以预测每个个体的功能连接矩阵的唯一元素(上三角形)。该网络由8个隐藏层组成,每层由1024个神经元组成,dropout rate为0.5。该体系由两个可选激活函数组成,即漏整流线性单元(ReLU,漏量为0.2)和双曲正切(tanh)。初始化权值使用Xavier算法,因为它根据网络大小(输入和输出神经元的数量)自动确定初始化的规模。Adam优化器进行神经网络训练。 提出的深度学习框架的总体目标是学习从SC到eFC的复杂映射,目标是预测包含测试集的未见SC矩阵的功能连通性(pFC)(图1a)。为了实现此目的,神经网络的目标函数设计满足两个要求:最大化eFC和pFC的相似性;保留功能连接的个体间差异(图1c)。第一个要求通过最小化eFC和pFC之间的预测误差来实现。第二个要求,我们引入了一个正则化术语,以确保不同个体之间的pFC相关性(inter-pFC)与不同个体之间的eFC相关性(inter-eFC)是可匹配的。这确保了神经网络学习了SC和eFC之间的映射,同时保留了个体间的差异,而不是预测所有个体的功能连通性的群体平均代表。 2.5 生物物理模型 我们使用已建立的松弛平均场生物物理模型(rMFM,该模型是已建立的动态平均场模型(MFM)的改进变体。 2.6 行为测量 使用独立成分分析(ICA)将109个行为和认知评估分析为5个独立的总结测量,描述个体间的差异:I)认知,ii)非法药物使用,iii)烟草使用,iv)个性和情绪特征,以及iv)心理健康。109个个体评估来自HCP,并选取警觉性、认知、情绪、感觉运动功能、人格、精神症状、物质使用和生活功能。在109个项目中还包括情绪加工、语言加工、社会识别、奖励/决策、工作记忆和运动执行的扫描任务表现。 3. 结果 3.1 预测精度和个体间异质性之间的均衡 我们训练神经网络,以最大限度地提高eFC和pFC之间的相关性,同时确保个体间的差异性得到保留。我们假设,至少在原则上,神经网络可以学习SC和FC之间的复杂映射,而不需要对特定的神经生理机制和神经信号模型做出任何假设。eFC和pFC个人之间的相似性通过最小化这两个矩阵间的均方误差来最大化,而pFC个体间异质性通过调整参数γ来控制。 γ的选择是参数化个体间eFC-pFC相关长度(预测精度)和pFC个体间变异性(预测异质性)之间的均衡。增加γ导致pFC更小的个体间变异性(图2b),但更高的预测精度(图2c)。为了任意这个均衡,我们在eFC中映射了个体间变异性(图2a),从(0.2,0.25,0.3,…,0.65)选择γ,这些值在pFC和eFC之间平均个体间变异性达到最佳匹配。这确保pFC个体间相关与eFC相似。 
图2 预测精度和个体间异质性的均衡 3.2 组平均功能连接预测 人类连接体的结构-功能耦合通常使用组平均连接测量进行研究。因此,在试图从个体SC预测FC之前,我们首先旨在利用生物物理模型和神经网络评估群体水平上的结构-功能耦合。通过10倍交叉验证,使用组平均SC和FC矩阵拟合生物物理模型的参数,这些矩阵是由训练集中所有个体的平均得出的(N = 900)。模型性能评估使用组平均矩阵的个体测试集(N = 100)的每个fold。 对于一个代表性测试fold,图3是组平均SC和FC矩阵,以及用生物物理模型和神经网络预测的组平均FC矩阵。eFC矩阵中显著的非对角线元素(对侧同源区域之间的强连接性指标),与生物物理模型(图3b,上三角,pFC BM)相比,神经网络(图3c,上三角,pFC NN)能更好地反映eFC矩阵中的非对角线元素。生物物理模型倾向于预测块状基质结构,这在eFC基质中不明显。生物物理模型预测的FC矩阵也比生物物理模型预测的更稀疏。 定量地说,与生物物理模型相比,神经网络对组平均eFC矩阵的预测明显更准确(图3d)。生物物理模型面临的最大挑战是负功能联系。 
图3 使用神经网络(NN)和生物物理模型(BM)基于组平均(a-d)和个体(e-f)连接矩阵(N = 100)从人类连接组的结构预测功能 3.3 个体功能连接预测 在发现群体水平的结构-功能耦合比先前的研究显示的要强的多之后,我们接下来考虑了更有挑战性的任务,即从个体参与者的结构预测功能。使用10倍交叉验证,使用神经网络或生物物理模型对每个包含每个fold测试集的个体进行FC矩阵预测。生物物理模型的参数由每个fold训练集的组平均连通性矩阵估计,然后使用估计的参数来预测包含测试集的每个个体的FC。神经网络的预先调整(图2)确保了预测和经验FC矩阵之间的个体间异质性很好地匹配,这就保证了神经网络不是简单地预测每个个体的组平均FC表征。生物物理模型也很好地保留了个体间的异质性(图3e)。我们发现,与生物物理模型相比,神经网络对单个eFC矩阵的预测明显更准确(图3f)。然而,预测的准确性在个体之间有相当大的差异,比组平均FC预测的准确性较低。有趣的是,生物物理模型预测的每个个体的FC矩阵(pFC BM)与个体的SC矩阵的相关性比他们的eFC矩阵更强(图3f,最右边的框图),这表明生物物理模型在更大程度上反映了SC。事实上,SC和pFC BM之间的耦合显著大于SC,eFC之间的耦合(图3 f)。相比之下,SC和pFC神经网络之间的耦合与SC和eFC之间的耦合相当。因此,神经网络不仅能准确预测连接体中的功能,预测的FC矩阵(pFC NN)也保持了以相关系数为指标的结构与功能之间的线性关系。 3.4 连接体拓扑结构是否告知功能连接的预测 在发现神经网络可以准确预测群体平均和个体结构连接体的功能后,我们接下来试图调查SC矩阵中独特的拓扑结构在多大程度上被用于预测FC。为此,我们使用Maslov-Sneppen rewiring算法随机重新布线每个单独的SC矩阵。这导致了SC中高阶拓扑结构的随机化,而不是节点度和连接密度等基本属性。我们为每个个体生成1000个随机SC矩阵,并将随机SC矩阵提供给根据真实(非随机)数据训练的神经网络。我们没有使用随机SC矩阵重新训练神经网络,而是试图测试去除拓扑结构会在多大程度上降低预测精度。每个个体的1000个随机SC矩阵预测的FC矩阵与相应个体的eFC矩阵相关,从而产生了经验FC和预测FC之间的零分布。 图4显示了四个代表性个体的SC(面板a)、eFC(面板b)和pFC NN(面板c)矩阵,以及eFC和pFC NN(面板d)之间的相关性和这种相关性的零分布(面板e)的散点图。我们的结论是,神经网络预测的结构和功能之间的紧密耦合不能归因于大多数个体的普通拓扑性质,尽管Maslov-Sneppen rewiring保留的节点度和其他基本性质对少数个体明显有用。个体结构连接体的结构对预测性能有显著贡献,因此神经网络不能简单地预测每个个体的组平均FC矩阵。 
图4 基于人类连接体结构的深度神经网络预测功能 3.5 认知与预测的功能连接有关 从结构连接体准确预测个体功能网络的能力,提出了使用预测功能连接来解释个体间行为变异的前景。我们的目的是评估预测的功能连通性是否能够以与静止态功能MRI推断的经验功能连通性相当的准确性来解释五种行为和认知的个体间差异。 图5表明,虽然经验获得的功能MRI数据解释了大多数个体间的认知表现,但如果解释能力下降12%是可以接受的,那么神经网络可能在不获取任何经验功能MRI数据的情况下被用来预测功能连接。 
图5 通过预测的和经验的功能连接性来解释个体间的差异。 4. 讨论 我们发现,在人脑连接体中的结构-功能耦合比以前的研究显示的要紧密得多。虽然我们无法揭示大脑结构和功能之间紧密耦合的机制,但我们的工作为结构-功能耦合的生物物理和网络通信模型的改进提供了一个边缘。深度学习的优点是,在没有任何显式模型的情况下,可以学习从个人的结构连接矩阵到功能连接的映射。我们能够基于特定个体的结构连接体生成个性化的功能连接预测,并证明这些预测解释了认知表现的显著个体间差异。在未来,深度学习可能被用来推断没有经验获得的MRI功能数据的个体的大脑功能。
注:解读不易,请多多转发支持,您的每一次转发是对我们最好的支持!本文原文及附加材料,请添加赵老师微信索要(微信号:15560177218)
|