梯度下降
一、梯度下降的定义
梯度(gradient)是一个向量(矢量,有方向),表示某一函数在该点处的方向导数沿着该方向取得最大值,即函数在该点处沿着该方向(此梯度的方向)变化最快,变化率最大.损失函数沿梯度相反方向收敛最快(即能最快找到极值点).当梯度向量为零(或接近于零),说明到达一个极值点,这也是梯度下降算法迭代计算的终止条件.
这种按照负梯度不停地调整函数权值的过程就叫作“梯度下降法”.通过这样的方法,改变权重让损失函数的值下降得更快,进而将值收敛到损失函数的某个极小值.
通过损失函数,我们将“寻找最优参数”问题,转换为了“寻找损失函数最小值”问题.梯度下降法算法描述如下: (1)损失是否足够小?如果不是,计算损失函数的梯度. (2)按梯度的反方向走一小步,以缩小损失. (3)循环到(1). 梯度下降法中通过沿着梯度负方向不断调整参数,从而逐步接近损失函数极小值所在点.
二、调整学习率
1逐步调整学习率

上图左边黑色为损失函数的曲线,假设从左边最高点开始,如果学习率调整的刚刚好,比如红色的线,就能顺利找到最低点。如果学习率调整的太小,比如蓝色的线,就会走的太慢,虽然这种情况给足够多的时间也可以找到最低点,实际情况可能会等不及出结果。如果 学习率调整的有点大,比如绿色的线,就会在上面震荡,走不下去,永远无法到达最低点。还有可能非常大,比如黄色的线,直接就飞出去了,更新参数的时候只会发现损失函数越更新越大。
虽然这样的可视化可以很直观观察,但可视化也只是能在参数是一维或者二维的时候进行,更高维的情况已经无法可视化了。
解决方法就是上图右边的方案,将参数改变对损失函数的影响进行可视化。比如学习率太小(蓝色的线),损失函数下降的非常慢;学习率太大(绿色的线),损失函数下降很快,但马上就卡住不下降了;学习率特别大(黄色的线),损失函数就飞出去了;红色的就是差不多刚好,可以得到一个好的结果。
2自适应学习率
举一个简单的思想:随着次数的增加,通过一些因子来减少学习率
- 通常刚开始,初始点会距离最低点比较远,所以使用大一点的学习率
- update好几次参数之后呢,比较靠近最低点了,此时减少学习率
- 比如
η
t
=
η
t
t
+
1
\eta^t =\frac{\eta^t}{\sqrt{t+1}}
ηt=t+1
?ηt? ,t 是次数。随着次数的增加,
η
t
\eta^t
ηt 减小
学习率不能是一个值通用所有特征,不同的参数需要不同的学习率
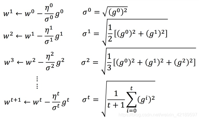
3Adagrad 算法
每个参数的学习率都把它除上之前微分的均方根。解释:
普通的梯度下降为:
w
t
+
1
←
w
t
?
η
t
g
t
w^{t+1}←wt?η^tg^t
wt+1←wt?ηtgt
η
t
=
η
t
t
+
1
\eta^t =\frac{\eta^t}{\sqrt{t+1}}
ηt=t+1
?ηt?
Adagrad 可以做的更好:
w
t
+
1
←
w
t
?
η
t
σ
t
g
t
w^{t+1} \leftarrow w^t -\frac{η^t}{\sigma^t}g^t
wt+1←wt?σtηt?gt
g
t
=
?
L
(
θ
t
)
?
w
g^t =\frac{\partial L(\theta^t)}{\partial w}
gt=?w?L(θt)?
-
σ
t
\sigma^t
σt:之前参数的所有微分的均方根,对于每个参数都是不一样的。
Adagrad举例 下图是一个参数的更新过程  将 Adagrad 的式子进行化简:  Adagrad 存在的矛盾?  在 Adagrad 中,当梯度越大的时候,步伐应该越大,但下面分母又导致当梯度越大的时候,步伐会越小。
下图是一个直观的解释:  下面给一个正式的解释:  比如初始点在
x
0
x_0
x0? ,最低点为
?
b
2
a
?\frac{b}{2a}
?2ab?,最佳的步伐就是
x
0
x0
x0 到最低点之间的距离
∣
x
0
+
b
2
a
∣
\left | x_0+\frac{b}{2a} \right |
∣∣?x0?+2ab?∣∣? ,也可以写成
∣
2
a
x
0
+
b
2
a
∣
\left | \frac{2ax_0+b}{2a} \right |
∣∣?2a2ax0?+b?∣∣? 。而刚好
∣
2
a
x
0
+
b
∣
|2ax_0+b|
∣2ax0?+b∣就是方程绝对值在
x
0
x_0
x0? 这一点的微分。
这样可以认为如果算出来的微分越大,则距离最低点越远。而且最好的步伐和微分的大小成正比。所以如果踏出去的步伐和微分成正比,它可能是比较好的。
结论1-1:梯度越大,就跟最低点的距离越远。 这个结论在多个参数的时候就不一定成立了。
多参数下结论不一定成立 对比不同的参数  上图左边是两个参数的损失函数,颜色代表损失函数的值。如果只考虑参数
w
1
w_1
w1?,就像图中蓝色的线,得到右边上图结果;如果只考虑参数
w
2
w_2
w2? ,就像图中绿色的线,得到右边下图的结果。确实对于 a和 b,结论1-1是成立的,同理 c 和 b 也成立。但是如果对比a 和 c,就不成立了,c 比 a 大,但 c 距离最低点是比较近的。
所以结论1-1是在没有考虑跨参数对比的情况下,才能成立的。所以还不完善。
之前说到的最佳距离
∣
2
a
x
0
+
b
2
a
∣
\left | \frac{2ax_0+b}{2a} \right |
∣∣?2a2ax0?+b?∣∣?,还有个分母 2a 。对function进行二次微分刚好可以得到:
?
2
y
?
x
2
=
2
a
\frac{\partial ^2y}{\partial x^2} = 2a
?x2?2y?=2a
所以最好的步伐应该是:
一
次
微
分
二
次
微
分
\frac{一次微分}{二次微分}
二次微分一次微分? 即不止和一次微分成正比,还和二次微分成反比。最好的step应该考虑到二次微分: ?  Adagrad 进一步的解释 再回到之前的 Adagrad  对于
∑
i
=
0
t
(
g
i
)
2
\sqrt{\sum_{i=0}^t(g^i)^2}
∑i=0t?(gi)2
? 就是希望再尽可能不增加过多运算的情况下模拟二次微分。(如果计算二次微分,在实际情况中可能会增加很多的时间消耗)
三、随机梯度下降法
之前的梯度下降:
L
=
∑
n
(
y
^
n
?
(
b
+
∑
w
i
x
i
n
)
)
2
L=\sum_n(\hat y^n-(b+\sum w_ix_i^n))^2
L=n∑?(y^?n?(b+∑wi?xin?))2
θ
i
=
θ
i
?
1
?
η
▽
L
(
θ
i
?
1
)
\theta^i =\theta^{i-1}- \eta\triangledown L(\theta^{i-1})
θi=θi?1?η▽L(θi?1)
而随机梯度下降法更快: 损失函数不需要处理训练集所有的数据,选取一个例子
x
n
x^n
xn
L
=
(
y
n
?
(
b
+
∑
w
i
x
i
n
)
)
2
L=( y^n?(b+∑w_i x_i^n)) 2
L=(yn?(b+∑wi?xin?))2
θ
i
=
θ
i
?
1
?
η
▽
L
n
(
θ
i
?
1
)
\theta^i =\theta^{i-1}- \eta\triangledown L^n(\theta^{i-1})
θi=θi?1?η▽Ln(θi?1) 此时不需要像之前那样对所有的数据进行处理,只需要计算某一个例子的损失函数Ln,就可以赶紧update 梯度。
对比: 常规梯度下降法走一步要处理到所有二十个例子,但随机算法此时已经走了二十步(每处理一个例子就更新)
四、特征缩放
比如有个函数:
y
=
b
+
w
1
x
1
+
w
2
x
2
y=b+w1 x1+w2 x 2
y=b+w1x1+w2x2 两个输入的分布的范围很不一样,建议把他们的范围缩放,使得不同输入的范围是一样的。 ? 为什么要这样做?
 上图左边是
x
1
x_1
x1?的scale比
x
2
x_2
x2? 要小很多,所以当
w
1
w_1
w1?和
w
2
w_2
w2? 做同样的变化时,
w
1
w_1
w1?对 y 的变化影响是比较小的,
x
2
x_2
x2? 对 y 的变化影响是比较大的。
坐标系中是两个参数的error surface(现在考虑左边蓝色),因为
w
1
w_1
w1?对 y的变化影响比较小,所以
w
1
w_1
w1?对损失函数的影响比较小,
w
1
w_1
w1?对损失函数有比较小的微分,所以
w
1
w_1
w1?方向上是比较平滑的。同理
x
2
x_2
x2?对 y的影响比较大,所以
x
2
x_2
x2?对损失函数的影响比较大,所以在
x
2
x_2
x2?方向有比较尖的峡谷。 上图右边是两个参数scaling比较接近,右边的绿色图就比较接近圆形。 对于左边的情况,上面讲过这种狭长的情形不过不用Adagrad的话是比较难处理的,两个方向上需要不同的学习率,同一组学习率会搞不定它。而右边情形更新参数就会变得比较容易。左边的梯度下降并不是向着最低点方向走的,而是顺着等高线切线法线方向走的。但绿色就可以向着圆心(最低点)走,这样做参数更新也是比较有效率。
怎么做缩放? 方法非常多,这里举例一种常见的做法:  上图每一列都是一个例子,里面都有一组特征。
对每一个维度 ii(绿色框)都计算平均数,记做$ m_i $;还要计算标准差,记做
σ
i
\sigma _i
σi? 然后用第 r个例子中的第 i个输入,减掉平均数
m
i
m_i
mi?,然后除以标准差
σ
i
\sigma _i
σi?,得到的结果是所有的维数都是 0,所有的方差都是 1。
|