五、TensorFlow 进阶
内容参考来自https://github.com/dragen1860/Deep-Learning-with-TensorFlow-book开源书籍《TensorFlow2深度学习》,这只是我做的简单的学习笔记,方便以后复习
1.合并与分割
张量的合并可以使用拼接(Concatenate)和堆叠(Stack)操作实现,拼接操作并不会产生新的维度,仅在现有的维度上合并,而堆叠会创建新维度。选择使用拼接还是堆叠操作来合并张量,取决于具体的场景是否需要创建新维度。
拼接tf.concat(tensors, axis)
a = tf.random.normal([4,35,8])
b = tf.random.normal([6,35,8])
tf.concat([a,b],axis=0)
堆叠tf.stack(tensors, axis)
a = tf.random.normal([35,8])
b = tf.random.normal([35,8])
tf.stack([a,b],axis=0)
分割tf.split(x, num_or_size_splits, axis)
- num_or_size_splits 参数:切割方案。当 num_or_size_splits 为单个数值时,如 10,表示等长切割为 10 份;当 num_or_size_splits 为 List 时,List 的每个元素表示每份的长度,如[2,4,2,2]表示切割为 4 份,每份的长度依次是 2、4、2、2。
x = tf.random.normal([10,35,8])
result = tf.split(x, num_or_size_splits=10, axis=0)
len(result)
result[0]
x = tf.random.normal([10,35,8])
result = tf.split(x, num_or_size_splits=[4,2,2,2] ,axis=0)
len(result)
result[0]
特别地,如果希望在某个维度上全部按长度为 1 的方式分割,还可以使用 tf.unstack(x,axis)函数。
x = tf.random.normal([10,35,8])
result = tf.unstack(x,axis=0)
len(result)
result[0]
2.数据统计
- 向量范数
- L1 范数:定义为向量𝒙的所有元素绝对值之和。
- L2 范数:定义为向量𝒙的所有元素的平方和,再开根号。
- ∞ ?范数:定义为向量𝒙的所有元素绝对值的最大值。
在 TensorFlow 中,可以通过 tf.norm(x, ord)求解张量的 L1、L2、∞等范数,其中参数ord 指定为 1、2 时计算 L1、L2 范数,指定为 np.inf 时计算∞ ?范数,例如:
x = tf.ones([2,2])
tf.norm(x,ord=1)
tf.norm(x,ord=2)
import numpy as np
tf.norm(x,ord=np.inf)
通过 tf.reduce_max、tf.reduce_min、tf.reduce_mean、tf.reduce_sum 函数可以求解张量在某个维度上的最大、最小、均值、和,也可以求全局最大、最小、均值、和信息。
x = tf.random.normal([4,10])
tf.reduce_max(x,axis=1)
通过 tf.argmax(x, axis)和 tf.argmin(x, axis)可以求解在 axis 轴上,x 的最大值、最小值所在的索引号.
pred = tf.argmax(out, axis=1)
3.张量比较
tf.equal(a, b)或 tf.math.equal(a,b)
4.填充与复制
填充 tf.pad(x, paddings)
a = tf.constant([1,2,3,4,5,6])
b = tf.constant([7,8,1,6])
b = tf.pad(b, [[0,2]])
x = tf.random.normal([4,28,28,1])
tf.pad(x,[[0,0],[2,2],[2,2],[0,0]])
复制tf.tile()
x = tf.random.normal([4,32,32,3])
tf.tile(x,[2,3,3,1])
5.数据限幅
在 TensorFlow 中,可以通过 tf.maximum(x, a)实现数据的下限幅,即𝑦 ∈ [𝑏,+∞);可以通过 tf.minimum(x, a)实现数据的上限幅,即𝑦 ∈ (?∞,𝑏],举例如下
x = tf.range(9)
tf.maximum(x,2)
tf.minimum(x,7)
更方便地,我们可以使用 tf.clip_by_value 函数实现上下限幅
x = tf.range(9)
tf.clip_by_value(x,2,7)
6.高级操作
tf.gather 可以实现根据索引号收集数据的目的。
x = tf.random.uniform([4,35,8],maxval=100,dtype=tf.int32)
tf.gather(x,[0,1],axis=0)
tf.gather(x,[0,3,8,11,12,26],axis=1)
tf.gather_nd 函数,可以通过指定每次采样点的多维坐标来实现采样多个点的目的。
tf.gather_nd(x,[[1,1],[2,2],[3,3]])
tf.boolean_mask通过给定掩码(Mask)的方式进行采样
tf.boolean_mask(x,mask=[True, False,False,True],axis=0)
tf.where(cond, a, b)操作可以根据 cond 条件的真假从参数𝑩或𝑪中读取数据
a = tf.ones([3,3])
b = tf.zeros([3,3])
cond =tf.constant([[True,False,False],[False,True,False],[True,True,False]])
tf.where(cond,a,b)
tf.where(cond)
x = tf.random.normal([3,3])
mask=x>0
indices=tf.where(mask)
tf.gather_nd(x,indices)
tf.boolean_mask(x,mask)
tf.scatter_nd(indices, updates, shape)函数可以高效地刷新张量的部分数据,但是这个函数只能在全 0 的白板张量上面执行刷新操作,因此可能需要结合其它操作来实现现有张量的数据刷新功能。
indices = tf.constant([[4], [3], [1], [7]])
updates = tf.constant([4.4, 3.3, 1.1, 7.7])
tf.scatter_nd(indices, updates, [8])
考虑 3 维张量的刷新例子,如下图 5.4 所示,白板张量的 shape 为[4,4,4],共有 4 个通道的特征图,每个通道大小为4 × 4,现有 2 个通道的新数据 updates:[2,4,4],需要写入索引为[1,3]的通道上。
indices = tf.constant([[1],[3]])
updates = tf.constant([
[[5,5,5,5],[6,6,6,6],[7,7,7,7],[8,8,8,8]],
[[1,1,1,1],[2,2,2,2],[3,3,3,3],[4,4,4,4]]
])
tf.scatter_nd(indices,updates,[4,4,4])
tf.meshgrid 函数可以方便地生成二维网格的采样点坐标,方便可视化等应用场合。
import tensorflow as tf
x = tf.linspace(-8., 8, 100)
y = tf.linspace(-8., 8, 100)
x, y = tf.meshgrid(x, y)
x.shape, y.shape
z = tf.sqrt(x ** 2 + y ** 2)
z = tf.sin(z) / z
import matplotlib
from matplotlib import pyplot as plt
from mpl_toolkits.mplot3d import Axes3D
fig = plt.figure()
ax = Axes3D(fig)
ax.contour3D(x.numpy(), y.numpy(), z.numpy(), 50)
plt.show()

7.MINIST测试实战
import matplotlib
from matplotlib import pyplot as plt
matplotlib.rcParams['font.size'] = 20
matplotlib.rcParams['figure.titlesize'] = 20
matplotlib.rcParams['figure.figsize'] = [9, 7]
matplotlib.rcParams['font.family'] = ['STKaiTi']
matplotlib.rcParams['axes.unicode_minus'] = False
import tensorflow as tf
from tensorflow import keras
from tensorflow.keras import datasets, layers, optimizers
import os
os.environ['TF_CPP_MIN_LOG_LEVEL'] = '2'
print(tf.__version__)
def preprocess(x, y):
print(x.shape, y.shape)
x = tf.cast(x, dtype=tf.float32) / 255.
x = tf.reshape(x, [-1, 28 * 28])
y = tf.cast(y, dtype=tf.int32)
y = tf.one_hot(y, depth=10)
return x, y
(x, y), (x_test, y_test) = datasets.mnist.load_data()
print('x:', x.shape, 'y:', y.shape, 'x test:', x_test.shape, 'y test:', y_test)
batchsz = 512
train_db = tf.data.Dataset.from_tensor_slices((x, y))
train_db = train_db.shuffle(1000)
train_db = train_db.batch(batchsz)
train_db = train_db.map(preprocess)
train_db = train_db.repeat(20)
test_db = tf.data.Dataset.from_tensor_slices((x_test, y_test))
test_db = test_db.shuffle(1000).batch(batchsz).map(preprocess)
x, y = next(iter(train_db))
print('train sample:', x.shape, y.shape)
def main():
lr = 1e-2
accs, losses = [], []
w1, b1 = tf.Variable(tf.random.normal([784, 256], stddev=0.1)), tf.Variable(tf.zeros([256]))
w2, b2 = tf.Variable(tf.random.normal([256, 128], stddev=0.1)), tf.Variable(tf.zeros([128]))
w3, b3 = tf.Variable(tf.random.normal([128, 10], stddev=0.1)), tf.Variable(tf.zeros([10]))
for step, (x, y) in enumerate(train_db):
x = tf.reshape(x, (-1, 784))
with tf.GradientTape() as tape:
h1 = x @ w1 + b1
h1 = tf.nn.relu(h1)
h2 = h1 @ w2 + b2
h2 = tf.nn.relu(h2)
out = h2 @ w3 + b3
loss = tf.square(y - out)
loss = tf.reduce_mean(loss)
grads = tape.gradient(loss, [w1, b1, w2, b2, w3, b3])
for p, g in zip([w1, b1, w2, b2, w3, b3], grads):
p.assign_sub(lr * g)
if step % 80 == 0:
print(step, 'loss:', float(loss))
losses.append(float(loss))
if step % 80 == 0:
total, total_correct = 0., 0
for x, y in test_db:
h1 = x @ w1 + b1
h1 = tf.nn.relu(h1)
h2 = h1 @ w2 + b2
h2 = tf.nn.relu(h2)
out = h2 @ w3 + b3
pred = tf.argmax(out, axis=1)
y = tf.argmax(y, axis=1)
correct = tf.equal(pred, y)
total_correct += tf.reduce_sum(tf.cast(correct, dtype=tf.int32)).numpy()
total += x.shape[0]
print(step, 'Evaluate Acc:', total_correct / total)
accs.append(total_correct / total)
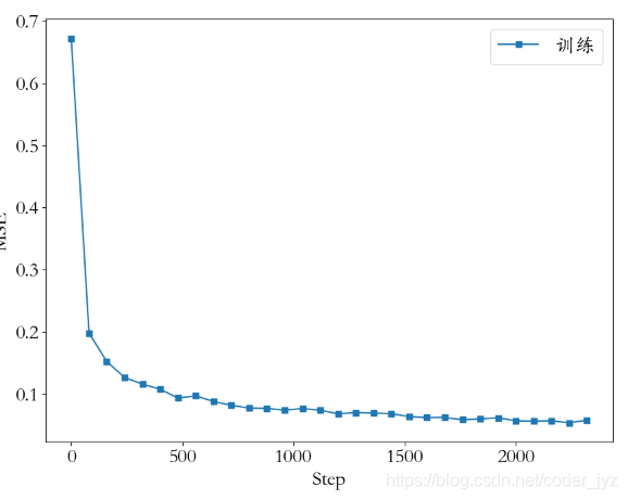
plt.figure()
x = [i * 80 for i in range(len(losses))]
plt.plot(x, losses, color='C0', marker='s', label='训练')
plt.ylabel('MSE')
plt.xlabel('Step')
plt.legend()
plt.savefig('train.svg')
plt.show()
plt.figure()
plt.plot(x, accs, color='C1', marker='s', label='测试')
plt.ylabel('准确率')
plt.xlabel('Step')
plt.legend()
plt.savefig('test.svg')
plt.show()
if __name__ == '__main__':
main()
 
|