12-1 Optimization objective
Alternative view of logistic regression
h
θ
(
x
)
=
1
1
+
e
?
θ
T
x
h _ { \theta } ( x ) = \frac { 1 } { 1 + e ^ { - \theta ^ { T } x } }
hθ?(x)=1+e?θTx1?
If
y
=
1
y=1
y=1,we want
h
θ
(
x
)
≈
1
,
θ
T
x
?
0
h_{\theta}(x)\approx1, \theta^Tx\gg0
hθ?(x)≈1,θTx?0
If
y
=
0
y=0
y=0,we want
h
θ
(
x
)
≈
0
,
θ
T
x
?
0
h_{\theta}(x)\approx0, \theta^Tx\ll0
hθ?(x)≈0,θTx?0
? Cost of example:
?
(
y
log
?
h
θ
(
x
)
+
(
1
?
y
)
log
?
(
1
?
h
θ
(
x
)
)
)
- ( y \log h _ { \theta } ( x ) + ( 1 - y ) \log ( 1 - h _ { \theta } ( x ) ) )
?(yloghθ?(x)+(1?y)log(1?hθ?(x)))
=
?
y
log
?
1
1
+
e
?
θ
r
x
?
(
1
?
y
)
log
?
(
1
?
1
1
+
e
?
θ
r
x
)
= - y \log \frac { 1 } { 1 + e ^ { - \theta ^ { r } x } } - ( 1 - y ) \log ( 1 - \frac { 1 } { 1 + e ^ { - \theta ^ { r } x } } )
=?ylog1+e?θrx1??(1?y)log(1?1+e?θrx1?)
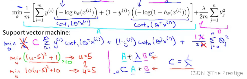
Support vector machine
Logistic regression:
m
i
n
θ
1
m
[
∑
i
=
1
m
y
(
i
)
(
?
log
?
h
θ
(
x
(
i
)
)
+
(
1
?
y
(
i
)
)
(
?
log
?
(
1
?
h
θ
(
x
(
i
)
)
)
]
+
λ
2
m
∑
j
=
1
n
θ
j
2
min_\theta\frac { 1 } { m } [ \sum _ { i = 1 } ^ { m } y ^ { ( i ) }( -\log h _ { \theta } ( x ^ { ( i ) } ) + ( 1 - y ^ { ( i ) } ) (-\log ( 1 - h _ { \theta } ( x ^ { ( i ) } ) ) ] + \frac { \lambda } { 2 m } \sum _ { j = 1 } ^ { n } \theta^2_j
minθ?m1?[i=1∑m?y(i)(?loghθ?(x(i))+(1?y(i))(?log(1?hθ?(x(i)))]+2mλ?j=1∑n?θj2? support vector machine: 
m
i
n
θ
C
∑
i
=
1
m
[
y
(
i
)
c
o
s
t
1
(
θ
T
x
(
i
)
)
+
(
1
?
y
(
i
)
)
c
o
s
t
0
(
θ
T
x
(
i
)
)
]
+
1
2
∑
i
=
1
n
θ
j
2
min _ { \theta} C \sum _ { i = 1 } ^ { m }[ y ^ { ( i ) } {cost} _ { 1 } ( \theta ^ { T } x ^ { ( i ) } ) + ( 1 - y ^ { ( i ) } ) {cost} _ { 0 } ( \theta ^ { T } x ^ { ( i ) } ) ] + \frac { 1 } { 2 } \sum _ { i = 1 } ^ { n}\theta_j^2
minθ?Ci=1∑m?[y(i)cost1?(θTx(i))+(1?y(i))cost0?(θTx(i))]+21?i=1∑n?θj2?
SVM hypothesis
m
i
n
θ
C
∑
i
=
1
m
[
y
(
i
)
c
o
s
t
1
(
θ
T
x
(
i
)
)
+
(
1
?
y
(
i
)
)
c
o
s
t
0
(
θ
T
x
(
i
)
)
]
+
1
2
∑
i
=
1
n
θ
j
2
min _ { \theta} C \sum _ { i = 1 } ^ { m }[ y ^ { ( i ) } {cost} _ { 1 } ( \theta ^ { T } x ^ { ( i ) } ) + ( 1 - y ^ { ( i ) } ) {cost} _ { 0 } ( \theta ^ { T } x ^ { ( i ) } ) ] + \frac { 1 } { 2 } \sum _ { i = 1 } ^ { n}\theta_j^2
minθ?Ci=1∑m?[y(i)cost1?(θTx(i))+(1?y(i))cost0?(θTx(i))]+21?i=1∑n?θj2? Hypothesis:
h
θ
(
x
)
=
{
1
i
f
??
θ
T
x
≥
0
0
o
t
h
e
r
w
i
s
e
h_\theta(x)=\begin{cases}1\quad if\;\theta^Tx\ge0\\0\quad otherwise\end{cases}
hθ?(x)={1ifθTx≥00otherwise?
12-2 Large Margin Intuition
Support Vector Machine
if
y
=
1
y=1
y=1,we want $\theta^Tx\ge1\quad(\text{not just
≥
\ge
≥ 0})$

if
y
=
0
y=0
y=0,we want $\theta^Tx\le-1\quad(\text{not just
<
<
< 0})$ 
SVM Decision Boundary
SVM Decision Boundary: Linearly separable case

Large margin classifier in presence of outliers

12-3 The mathematics behind large margin classification (optional)
Vector Inner Product 向量内积 
SVM Decision Boundary
 
12-4 Kernels I
核函数
Non-linear Decision Boundary
predict y=1 if
θ
0
+
θ
1
x
1
+
θ
2
x
2
+
θ
3
x
1
x
2
+
θ
4
x
1
2
+
θ
5
x
2
2
+
?
≥
0
{ \theta _ { 0 } + \theta _ { 1 } x _ { 1 } + \theta _ { 2 } x _ { 2 } + \theta _ { 3 } x _ { 1 } x _ { 2 } } { + \theta _ { 4 } x _ { 1 } ^ { 2 } + \theta _ { 5 } x _ { 2 } ^ { 2 } + \cdots \geq 0 }
θ0?+θ1?x1?+θ2?x2?+θ3?x1?x2?+θ4?x12?+θ5?x22?+?≥0
h
θ
(
x
)
=
{
1
i
f
??
θ
0
+
θ
1
x
1
+
θ
2
x
2
+
θ
3
x
1
x
2
+
?
≥
0
0
o
t
h
e
r
w
i
s
e
h_\theta(x)=\begin{cases}1\quad if\;{ \theta _ { 0 } + \theta _ { 1 } x _ { 1 } + \theta _ { 2 } x _ { 2 } + \theta _ { 3 } x _ { 1 } x _ { 2 } } { + \cdots \geq 0 }\\0\quad otherwise\end{cases}
hθ?(x)={1ifθ0?+θ1?x1?+θ2?x2?+θ3?x1?x2?+?≥00otherwise?
Given x,compute new feature depending on proximity to landmarks
l
(
1
)
,
l
(
2
)
,
l
(
3
)
l^{(1)},l^{(2)},l^{(3)}
l(1),l(2),l(3)
Kernels and Similarity
f
1
=
s
i
m
i
l
a
r
i
t
y
(
x
,
l
(
1
)
)
=
e
x
p
(
?
∣
∣
x
?
l
(
1
)
∣
∣
2
2
σ
2
)
=
exp
?
(
?
∑
j
=
1
n
(
x
j
?
l
j
(
1
)
)
2
2
σ
2
)
f_1=similarity(x,l^{(1)})=exp(-\frac{||x-l^{(1)}||^2}{2\sigma^2})=\operatorname { exp } ( - \frac { \sum _ { j = 1 } ^ { n } ( x _ { j } - l _j^{ ( 1 ) } ) ^ { 2 } } { 2 \sigma ^ { 2 } } )
f1?=similarity(x,l(1))=exp(?2σ2∣∣x?l(1)∣∣2?)=exp(?2σ2∑j=1n?(xj??lj(1)?)2?)
I
f
??
x
≈
l
(
1
)
:
If \; x\approx l^{(1)}:
Ifx≈l(1):
f
1
≈
1
f_1\approx 1
f1?≈1
I
f
??
x
??
i
f
??
f
a
r
??
f
r
o
m
??
l
(
1
)
:
If \;x\; if \; far \; from\;l^{(1)}:
Ifxiffarfroml(1):
f
1
≈
0
f_1\approx 0
f1?≈0

12-5 Kernels II
Choosing the landmarks
SVM with Kernels
Given
(
x
(
1
)
,
y
(
1
)
)
,
(
x
(
2
)
,
y
(
2
)
)
,
?
?
,
(
x
(
m
)
,
y
(
m
)
)
( x ^ { ( 1 ) } , y ^ { ( 1 ) } ) , ( x ^ { ( 2 ) } , y ^ { ( 2 ) } ) , \cdots , ( x ^ { ( m ) } , y ^ { ( m ) } )
(x(1),y(1)),(x(2),y(2)),?,(x(m),y(m))
choose
l
(
1
)
=
x
(
1
)
,
l
(
2
)
=
x
(
2
)
,
?
?
,
l
(
m
)
=
x
(
m
)
l ^ { ( 1 ) } = x ^ { ( 1 ) } , l ^ { ( 2 ) } = x ^ { ( 2 ) } , \cdots , l ^ { ( m ) } = x ^ { ( m ) }
l(1)=x(1),l(2)=x(2),?,l(m)=x(m)
Given example x:
?
f
1
=
s
i
m
i
l
a
r
i
t
y
(
x
,
l
(
1
)
)
f
2
=
s
i
m
i
l
a
r
i
t
y
(
x
,
l
(
2
)
)
?
\begin{array}{l}f_1=similarity(x,l^{(1)})\\f_2=similarity(x,l^{(2)})\\\cdots\end{array}
f1?=similarity(x,l(1))f2?=similarity(x,l(2))??
For training example
(
x
(
i
)
,
y
(
i
)
)
?
f
(
i
)
(x^{(i)},y^{(i)})\longrightarrow f^{(i)}
(x(i),y(i))?f(i)
Hypothesis: Given x,compute features
f
∈
R
m
+
1
f\in \mathbb{R}^{m+1}
f∈Rm+1
Predict “y=1” if
θ
T
f
≥
0
\theta^T f\ge 0
θTf≥0
Training:
m
i
n
θ
C
∑
i
=
1
m
[
y
(
i
)
c
o
s
t
1
(
θ
T
f
(
i
)
)
+
(
1
?
y
(
i
)
)
c
o
s
t
0
(
θ
T
f
(
i
)
)
]
+
1
2
∑
i
=
1
n
θ
j
2
min _ { \theta} C \sum _ { i = 1 } ^ { m }[ y ^ { ( i ) } {cost} _ { 1 } ( \theta ^ { T } f ^ { ( i ) } ) + ( 1 - y ^ { ( i ) } ) {cost} _ { 0 } ( \theta ^ { T } f ^ { ( i ) } ) ] + \frac { 1 } { 2 } \sum _ { i = 1 } ^ { n}\theta_j^2
minθ?C∑i=1m?[y(i)cost1?(θTf(i))+(1?y(i))cost0?(θTf(i))]+21?∑i=1n?θj2?
SVM parameters:
C
(
=
1
λ
)
C(=\frac{1}{\lambda})
C(=λ1?).
Large C: Lower bias, high variance.(small
λ
\lambda
λ) Small C: Higher bias, low variance.(
l
a
r
g
e
??
λ
large\;\lambda
largeλ)
σ
2
\sigma^2
σ2
Large
σ
2
\sigma^2
σ2: Features
f
i
f_i
fi?; vary more smoothly. Higher bias, lower variance.
Small
σ
2
\sigma^2
σ2: Features
f
i
f_i
fi?; vary less smoothly. Lower bias, Higher variance.
12-6 Using an SVM
Use SVM software package (e.g. liblinear, libsvm, …) to solve for parameters
θ
\theta
θ
Need to specify:
Choice of parameter C
Choice of kernel (similarity function):
? E.g. No kernel (“linear kernel”)
θ
0
+
θ
1
x
1
+
θ
2
x
2
+
θ
3
+
?
≥
0
?
n
??
l
a
r
g
e
,
m
??
s
m
a
l
l
\theta _ { 0 } + \theta _ { 1 } x _ { 1 } + \theta _ { 2 } x _ { 2 } + \theta _ { 3 } + \cdots \ge 0 \longrightarrow n\;large,m\;small
θ0?+θ1?x1?+θ2?x2?+θ3?+?≥0?nlarge,msmall
? predict:“y=1” if
θ
T
x
≥
0
\theta^Tx\ge0
θTx≥0
? Gaussian kernel:
f
i
=
e
x
p
(
?
∣
∣
x
?
l
(
i
)
∣
∣
2
2
σ
2
)
,
w
h
e
r
e
??
l
(
i
)
=
x
(
i
)
f_i=exp(-\frac{||x-l^{(i)}||^2}{2\sigma^2}),where\;l^{(i)}=x^{(i)}
fi?=exp(?2σ2∣∣x?l(i)∣∣2?),wherel(i)=x(i)
? Need to choose
σ
2
\sigma^2
σ2
Kernel (similarity) functions:
function f= kernel(x1,x2)
f=exp((-abs(x1-x2)^2)/(2*(sigma^2)))
return
Note: Do perform feature scaling before using the Gaussian kernel
=[](#4-3 Gradient descent in practice I: Feature Scaling)
Other choices of kernel
Note: Not all similarity functions similarity(x, l) make valid kernels (Need to satisfy technical condition called"mercer’s Theorem"to make sure SVM packages’ optimizations run correctly, and do not diverge)
Many of-the-shelf kernels avaliable:
- Polynomial kernel:
k
(
x
,
l
)
=
(
x
T
l
)
2
,
(
x
T
l
+
1
)
3
,
(
x
T
l
+
5
)
4
k(x,l)=(x^Tl)^2,(x^Tl+1)^3,(x^Tl+5)^4
k(x,l)=(xTl)2,(xTl+1)3,(xTl+5)4
- More esoteric: String kernel, chi-square kernel, histogram intersection kernel
Multi-class classification 
Logistic regression vs. SVMS
m=number of features(
x
∈
R
n
+
1
x\in \mathbb{R}^{n+1}
x∈Rn+1), m =number of training examples If n is large(relative to m) Use logistic regression, or SVM without a kernel (“linear kernel”)
If n is small, m is intermediate: Use SVM with Gaussian kernel
If m is small, m is large: Create/add more features, then use logistic regression or SVM without a kernel
Neural network likely to work well for most of these settings, but may be slower to train
|