Physics-informed Neural Network for Nonlinear Dynamics in Fiber Optics
- 作者:
Xiaotian Jiang1, Danshi Wang1,?, Qirui Fan2, Min Zhang1, Chao Lu3, and Alan Pak Tao Lau2 - 时间:2021
- 期刊:arixiv
摘要
- 研究PINN求解用于学习光纤非线性动力学的Schr?dinger方程,对多种物理效应进行深入研究,包括dispersion, self-phase modulation, and higher-order nonlinear effects。special case (soliton propagation) and general case (multi-pulse propagation)也被研究。
- 以前的PINN主要在单一情况下有效,为了克服这一问题,物理参数(子脉冲的峰值功率和振幅)作为附加的输入参数,使PINN能够学习不同场景的物理约束,具有良好的泛化性能
- PINN表现出比数据驱动神经网络更好的性能同时使用更少的数据,其计算复杂度(从乘法数来看)远远低于分步傅里叶方法。
问题定义
Nonlinear Dynamics in Fiber Optics问题可以描述为 其中  通过分解实部与虚部,该问题可被定义为
 
方法
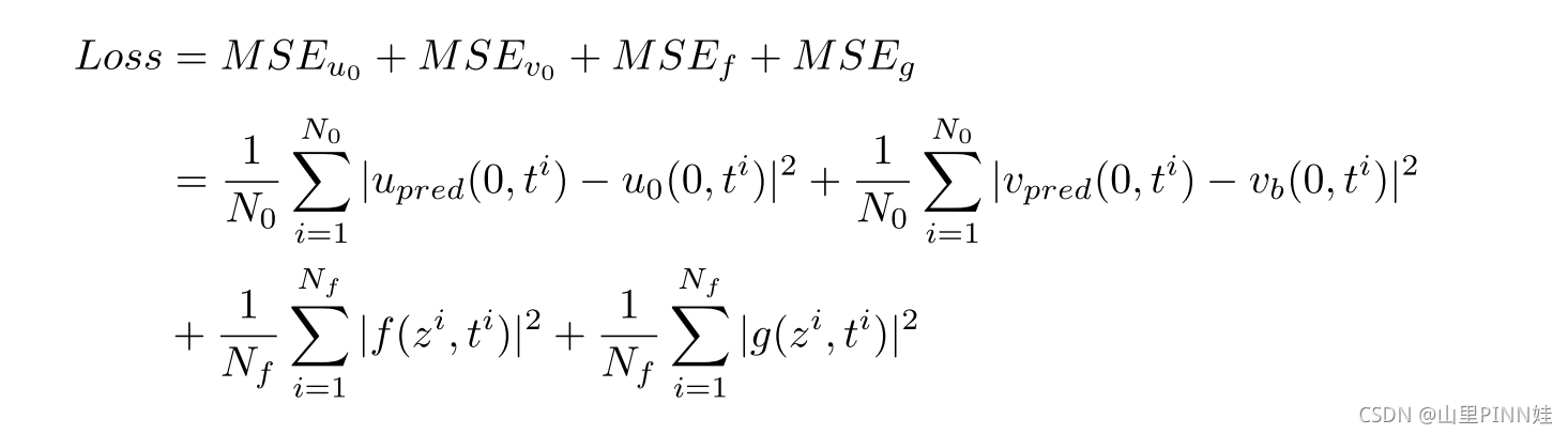
- 输入为(z,t)

针对求解的问题,PINN损失函数定义为  上式前两项是初值构建的约束,后两项是满足PDE的约束。
- 输入为(z,t,p),其中p是峰值,(被拉成一列作为输入)

实验结果

思考
- 这里提到了不同峰值功率值作为输入,得到不同峰值功率下的求解域。
|