机器学习—— 逻辑回归(Logistic regression)
本文主要是对 《机器学习》中的逻辑回归做一个简单的公式推导以及编码实现。该内容只涉及公式的推导,并不具体阐述公式含义。具体视频可以参考 吴恩达老师讲解的机器学习的逻辑回归。
1. 符号和定义
- 样本矩阵
X
=
[
x
1
,
x
2
,
?
?
,
x
n
]
T
∈
R
n
×
d
X = [x_1,x_2,\cdots,x_n]^T \in R^{ n\times d}
X=[x1?,x2?,?,xn?]T∈Rn×d ,
x
i
x_i
xi? 表示第 i 个样本。
- 标签矩阵
Y
=
[
y
1
,
y
2
,
?
?
,
y
n
]
T
∈
{
0
,
1
}
n
Y = [y_1,y_2,\cdots,y_n]^T \in \{0,1\}^ n
Y=[y1?,y2?,?,yn?]T∈{0,1}n
- 权重向量
θ
∈
R
d
\theta \in R^d
θ∈Rd
2. 公式以及推导过程
2.1 假设函数
H
θ
(
x
i
)
=
1
1
+
e
?
x
i
θ
(1)
H_{\theta}(x_i) = \frac{1}{1+e^{-x_i\theta}} \tag{1}
Hθ?(xi?)=1+e?xi?θ1?(1)
2.2 目标函数(代价函数)
原目标函数:
J
(
θ
)
=
1
m
∑
i
=
1
m
?
y
i
log
?
(
1
1
+
e
?
x
i
θ
)
?
(
1
?
y
i
)
log
?
(
1
?
1
1
+
e
?
x
i
θ
)
J(\theta) = \frac{1}{m}\sum_{i=1}^m{-y_i \log(\frac{1}{1+e^{-x_i\theta}}) - (1-y_i)\log(1-\frac{1}{1+e^{-x_i\theta}}) }
J(θ)=m1?i=1∑m??yi?log(1+e?xi?θ1?)?(1?yi?)log(1?1+e?xi?θ1?)
目标函数化简:化简只是为了方便后续的求导
J
(
θ
)
=
1
m
∑
i
=
1
m
?
y
i
log
?
(
1
1
+
e
?
x
i
θ
)
?
(
1
?
y
i
)
log
?
(
1
?
1
1
+
e
?
x
i
θ
)
=
1
m
∑
i
=
1
m
y
i
log
?
(
1
+
e
?
x
i
θ
)
?
(
1
?
y
i
)
(
?
x
i
θ
?
log
?
(
1
+
e
?
x
i
θ
)
)
=
1
m
∑
i
=
1
m
x
i
θ
+
log
?
(
1
+
e
?
x
i
θ
)
?
y
i
x
i
θ
(2)
\begin{array}{l} J(\theta) & = &\frac{1}{m}\sum_{i=1}^m{-y_i \log(\frac{1}{1+e^{-x_i\theta}}) - (1-y_i)\log(1-\frac{1}{1+e^{-x_i\theta}}) } \\ & = & \frac{1}{m} \sum_{i=1}^my_i \log(1+e^{-x_i\theta})-(1-y_i)(-x_i\theta - \log(1+e^{-x_i\theta}) ) \\ & = & \frac{1}{m} \sum_{i=1}^m x_i\theta+\log(1+e^{-x_i\theta}) - y_ix_i\theta \tag{2} \end{array}
J(θ)?===?m1?∑i=1m??yi?log(1+e?xi?θ1?)?(1?yi?)log(1?1+e?xi?θ1?)m1?∑i=1m?yi?log(1+e?xi?θ)?(1?yi?)(?xi?θ?log(1+e?xi?θ))m1?∑i=1m?xi?θ+log(1+e?xi?θ)?yi?xi?θ?(2)
2.3 梯度下降公式
θ
j
=
θ
j
?
α
?
J
(
θ
)
θ
j
?
θ
j
=
θ
j
?
α
∑
i
=
1
m
(
H
θ
(
x
i
)
?
y
i
)
x
i
j
(3)
\theta_j = \theta_j - \alpha \frac{\partial J(\theta)}{\theta_j} \\ \Rightarrow \theta_j = \theta_j - \alpha \sum_{i=1}^m(H_{\theta}(x_i)-y_i)x_{ij} \tag{3}
θj?=θj??αθj??J(θ)??θj?=θj??αi=1∑m?(Hθ?(xi?)?yi?)xij?(3)
推导过程:
?
J
(
θ
)
?
θ
j
=
1
m
∑
i
=
1
m
?
(
x
i
θ
+
log
?
(
1
+
e
?
x
i
θ
)
?
y
i
x
i
θ
)
?
θ
j
=
1
m
∑
i
=
1
m
?
x
i
θ
?
θ
j
+
?
log
?
(
1
+
e
?
x
i
θ
)
?
θ
j
?
?
y
i
x
i
θ
?
θ
j
=
1
m
∑
i
=
1
m
x
i
j
?
e
?
x
i
θ
1
+
e
?
x
i
θ
x
i
j
?
y
i
x
i
j
=
1
m
∑
i
=
1
m
(
1
1
+
e
?
x
i
θ
?
y
i
)
x
i
j
(4)
\begin{array}{l} \frac{\partial J(\theta)}{\partial \theta_j} & = & \frac{1}{m} \sum_{i=1}^m \frac{\partial \left(x_i\theta+\log(1+e^{-x_i\theta}) - y_ix_i\theta\right)}{\partial \theta_j} \\ &=& \frac{1}{m} \sum_{i=1}^m \frac{\partial x_i\theta}{ \partial \theta_j}+\frac{\partial \log(1+e^{-x_i \theta})}{\partial \theta_j} - \frac{\partial y_ix_i\theta}{\partial \theta_j} \\ & = & \frac{1}{m} \sum_{i=1}^m x_{ij} - \frac{e^{-x_i\theta}}{1+e^{-x_i\theta}}x_{ij}-y_ix_{ij} \\ & = & \frac{1}{m} \sum_{i=1}^m (\frac{1}{1+e^{-x_i\theta}}-y_i)x_{ij} \end{array} \tag{4}
?θj??J(θ)??====?m1?∑i=1m??θj??(xi?θ+log(1+e?xi?θ)?yi?xi?θ)?m1?∑i=1m??θj??xi?θ?+?θj??log(1+e?xi?θ)???θj??yi?xi?θ?m1?∑i=1m?xij??1+e?xi?θe?xi?θ?xij??yi?xij?m1?∑i=1m?(1+e?xi?θ1??yi?)xij??(4)
N
o
t
e
:
\color{red}{Note:}
Note:
- 求偏导数时,可以把矩阵形式写成多项相加的形式。
- 在求偏导的时候会发现有一个
1
m
\frac{1}{m}
m1? 的系数,因此正确的迭代更新公式应该是
θ
j
=
θ
j
?
α
m
∑
i
=
1
m
(
H
θ
(
x
i
)
?
y
i
)
x
i
j
\theta_j = \theta_j - \frac{\alpha}{m} \sum_{i=1}^m (H_{\theta}(x_i) - y_i) x_{ij}
θj?=θj??mα?∑i=1m?(Hθ?(xi?)?yi?)xij?. 但是由于
α
\alpha
α 是自定义初始化的,所以
1
m
\frac{1}{m}
m1? 并不影响优化结果。而且为了方便书写,通常省略该项。
等式 (4) 同样可以写成矩阵形式。矩阵形式如下:
?
J
(
θ
)
?
θ
j
=
1
m
(
x
j
)
T
(
1
1
+
e
?
X
θ
?
Y
)
.
(5)
\frac{\partial J(\theta)}{\partial \theta_j} = \frac{1}{m}(x^j)^T(\frac{1}{1+e^{-X\theta}} - Y). \tag{5}
?θj??J(θ)?=m1?(xj)T(1+e?Xθ1??Y).(5) 其中
x
j
x^j
xj 表示 矩阵
X
X
X 的第 j 列 元素。同时
1
1
+
e
?
X
θ
\frac{1}{1+e^{-X\theta}}
1+e?Xθ1? 表示的是点除,也就是说 每一个元素都被 1除。
3. matlab 编程实现
3.1 逻辑回归的梯度下降代码
以下代码是通过使用 梯度下降方式求解代价函数的最优解。
function [theta,value] = logisticGd(X,Y,alpha,maxIter)
% Input:
% X: 数据矩阵 n x (d+1) 第一列为全 1 元素
% Y: 标签矩阵 n x 1
% alpha: 学习率, 该学习率可以通过查看 value 的值来调整。如果收敛的
% 太慢,可以设置大一点的值,如果value 震荡,则缩小 alpha
% maxIter: 最大迭代次数
% Output:
% theta: 最优解
% value: 代价函数的函数值。用于查看收敛情况
[n,d] = size(X);
% 初始化 theta
theta = ones(d,1);
value = zeros(maxIter,1); % 目标函数值
for i = 1:maxIter
for j = 1:d
theta(j) = theta(j) - alpha/n*X(:,j)'*(1./(1+exp(-X*theta))-Y);
end
value(i) = sum((1-Y).*(X*theta)+log(1+exp(-X*theta)));
end
end
3.2 测试代码
数据下载链接:https://gitee.com/ljl745972609/ml_datasets/tree/master/an-exam/ex2
clc;clear all;
data = load(".\ex2\data1.txt");
data = mapminmax(data',0,1);
data = data';
[n,d] = size(data);
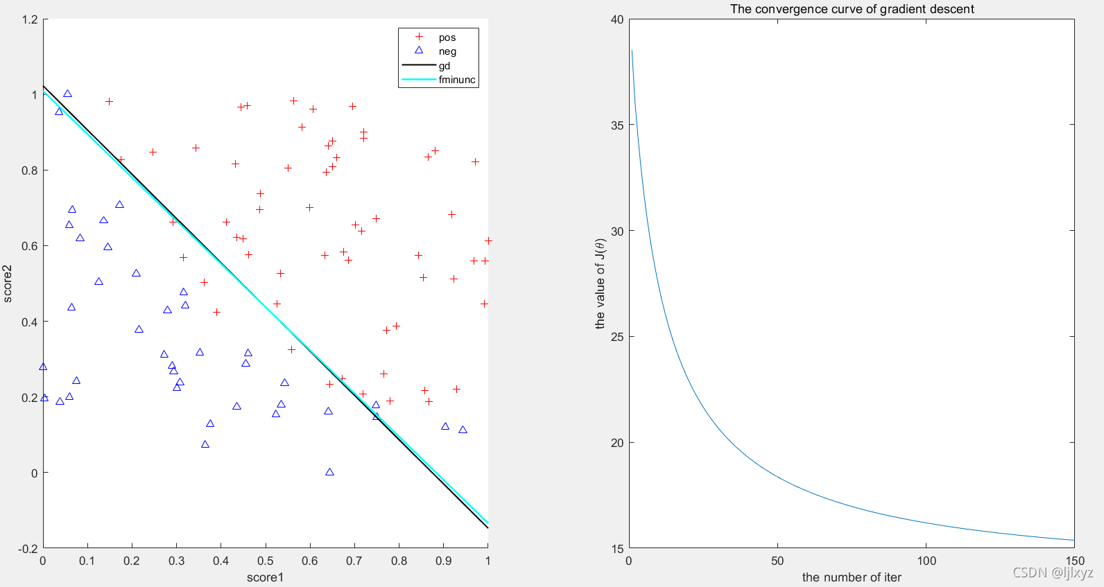
% 数据可视化
pos = data(:,d) == 1;
subplot(1,2,1);
scatter(data(pos,1),data(pos,2),"+r");
hold on;
scatter(data(~pos,1),data(~pos,2),"^b")
hold on;
xlabel("score1");
ylabel("score2");
rate = round(n*0.7);
% 梯度下降
Y = data(1:rate,d);
X = data(1:rate,1:d-1);
% 扩充 X,使得 x0 = 1;
X = [ones(rate,1),X];
[theta,value] = logisticGd(X,Y,5,150);
subplot(1,2,2);
plot(value);
title("The convergence curve of gradient descent");
ylabel("the value of J(\theta)");
xlabel("the number of iter");
% 验证性能
trustY = data(rate+1:n,d);
newX = [ones(n-rate,1),data(rate+1:n,1:d-1)];
preds = logisticPredict(newX,theta) > 0.5;
gdAcc = sum(preds == trustY)/length(rate+1:n);
% 绘制 gd 分类边界
ax = 0:0.01:1;
ay = -(theta(1)+theta(2)*ax)/theta(3);
subplot(1,2,1);
plot(ax,ay,"-k","LineWidth",1.2);
hold on;
3.3 使用 matlab 自带的优化函数求解
使用 fminunc 函数优化代价函数。该函数的具体使用可以查看官方文档。
3.3.1 第一步:编写代价函数代码
function cost = costFun(theta)
data = load(".\ex2\data1.txt");
data = mapminmax(data',0,1);
data = data';
[n,d] = size(data);
rate = round(n*0.7);
X = data(1:rate,1:d-1);
Y = data(1:rate,d);
% 扩充 X,使得 x0 = 1;
X = [ones(rate,1),X];
first = -Y.*log(sigmod(X*theta));
second = (1-Y).*log(1-sigmod(X*theta));
cost = sum(first-second)/ size(X,1);
end
3.3.2 测试该函数
clc;clear all;
data = load(".\ex2\data1.txt");
data = mapminmax(data',0,1);
data = data';
[n,d] = size(data);
% 数据可视化
pos = data(:,d) == 1;
scatter(data(pos,1),data(pos,2),"+r");
hold on;
scatter(data(~pos,1),data(~pos,2),"^b")
hold on;
xlabel("score1");
ylabel("score2");
% 划分测试集合训练集
rate = round(n*0.7);
Y = data(1:rate,d);
X = data(1:rate,1:d-1);
% 扩充 X,使得 x0 = 1;
X = [ones(rate,1),X];
% 使用 fminunc 优化
% 第二个参数是 costFun 的参数
[autoTheta,fval] = fminunc(@costFun,[0,0,0]');
newPred = sigmod(newX*autoTheta) > 0.5;
acc = sum(newPred == trustY)/length(rate+1:n);
fprintf("fminunc acc: %.3f\n",gdAcc,acc);
ax = 0:0.01:1;
newAy = -(autoTheta(1)+autoTheta(2)*ax)/autoTheta(3);
plot(ax,newAy,"-c","LineWidth",1.5);
legend("pos","neg","gd","fminunc");
注意:
- 使用
fminunc 优化时,优化的函数必须只有一个参数,并且该参数只能是 数值类型的数组或者标量 - 该函数默认使用的优化算法是 牛顿迭代算法,可以通过第三个参数自己设置优化算法。
- 该函数的停止标准为函数的梯度小于等于
1e-6.
实验结果:

两种算法的分类精度都在 86.7% 左右
|