| task02:概览西瓜书+南瓜书第1、2章
 3.1 线性回归的基本形式给定d个属性描述,可以通过属性线性组合来进行预测的函数
  3.2 线性回归3.2.1 一元线性线性回归模型:线性模型
 准则:均方误差最小
 算法:最小二乘
 假设x和y满足线性函数关系,使用x的值来预测y即
 
  这里,为了求出w和b,我们考虑衡量f(x)与y之间差别,使用均方误差来衡量,即让均方误差最小,为我们的优化准则。
  求解过程中使用最小二乘法,分别对w和b求导,再令导数为0,求出w和b的闭式解:
 
  3.2.2 多元线性回归
 模型:线性模型
 准则:均方误差最小
 算法:梯度下降法/最小二乘
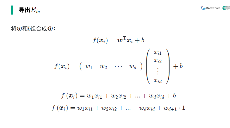
 参照一元线性回归,我们这里,属性为多个,此时x对应的系数就为多个,记为w的转置,模型为:
 
  同样的优化的准则为均方误差最小:  闭式解解法:
 
  根据最小二乘法
 
 
 求出得到的
  最终
 
  3.3 一般广义线性模型
 3.4 对数几率回归模型:非线性模型()准则:极大似然估计(类的取值概率乘积最大)
 算法:梯度下降/牛顿法
 
  
  3.5 线性判别分析(LDA)
 模型:非线性准则:类内协方差矩阵最小,类间向量均值最大
 想要达到这个准则,即最大化目标,使用两者比值即可
 
  推导过程:
 
   
 
 3.6 多分类学习可由二分类推广到多分类:三种拆分方式:
 ovo,ovr,mvm
 对于ovo和ovr来说:
 
  mvm:
 对N 个类别做M 次划分, 每次划分将一部分类别划为正类,一部
 分划为反类,从而形成一个二分类训练集;这样一共产生M 个训练集,可训练出M 个分类器.
 使用海明距离或者欧式距离,取距离最小的作为判定的距离:
 
  |