|
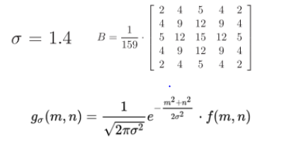
Canny算子 Marr(LoG)边缘检测方法类似,也属于是先平滑后求导数的方法John Canny研究了最优边缘检测方法所需的特性,给出了评价边缘检测性能优劣的三个指标: 1.好的信噪比,即将非边缘点判定为边缘点的概率要低,将边缘点判为非边缘点的概率要低; 2.高的定位性能,即检测出的边缘点要尽可能在实际边缘的中心; 3.对单一边缘仅有唯一响应,即单个边缘产生多个响应的概率要低,并且虚 假响应边缘应该得到最大抑制。 步骤: 4.减少噪音:由于边缘检测易受图像中的噪声影响,因此第一步是使用5x5高斯滤波器去除图像中的噪声.  5.计算图像梯度:对平滑后的图像使用sobel算子在水平与竖直方向上计算一阶导数,得到图像梯度(Gx和Gy)。根据梯度图找到边界梯度和方向  根据角度对幅值进行非极大值抑制:将模糊的边界变得清晰(sharp) 1.将其梯度方向近似为以下值中的一个(0,45,90,135,180,225,270,315)(即上下左右和45度方向) 2.比较该像素点,和其梯度方向正负方向的像素点的梯度强度 3.如果该像素点梯度强度最大则保留,否则抑制(删除,即置为0)    edge = cv2.Canny(image, threshold1, threshold2) 必要参数: 1.第一个参数是需要处理的原图像,该图像必须为单通道的灰度图; 2.第二个参数是阈值1; 3.第三个参数是阈值2。 代码实现:
img = cv.imread('girl.png', cv.IMREAD_GRAYSCALE)
gaussion = cv.GaussianBlur(img, (3, 3), 0)
canny = cv.Canny(gaussion, 32, 80)
fig = plt.figure(figsize = (10, 5))
fig.set(alpha = 0.2)
plt.subplot2grid((1, 2), (0, 0))
plt.imshow(img, 'gray')
plt.subplot2grid((1, 2), (0, 1))
plt.imshow(canny, 'gray')

img = cv.imread('girl.png', cv.IMREAD_GRAYSCALE)
img = cv.resize(img, (img.shape[1], img.shape[0]))
threshold1_min = 0
threshold1_max = 100
threshold2_min = 100
threshold2_max = 200
def canny_threshold1(x) :
gaussion = cv.GaussianBlur(img, (3, 3), 0)
canny = cv.Canny(gaussion, x, threshold2_min)
cv.imshow('Canny', canny)
def canny_threshold2(x) :
gaussion = cv.GaussianBlur(img, (3, 3), 0)
canny = cv.Canny(gaussion, threshold1_min, x)
cv.imshow('Canny', canny)
cv.namedWindow('Canny', cv.WINDOW_NORMAL | cv.WINDOW_KEEPRATIO)
cv.createTrackbar('threshold1', 'Canny', threshold1_min, threshold1_max, canny_threshold1)
cv.createTrackbar('threshold2', 'Canny', threshold2_min, threshold2_max, canny_threshold2)

|