|
前两天学的线性模型,穷举权重。今天学梯度下降法求权重。  假设所取点为图中红心点。要找到下降的一侧。则求红心点出的导数。按导数定义走。 
导数大于0,则X往靠近原点的方向走, 导数小于0,则X往靠近无穷大的方向走。 所以找到导数的负方向。即为下降的方向。
所以在梯度下降算法中,更新权重的方法: a为学习率 (理解为往前走多少)学习率取的太大容易导致训练失败。  梯度下降算法类似于 贪心算法。找当前情况下的最优步骤。 但也和贪心类似,最后的解未必是全局最优解。 看下图,梯度下降有可能收敛于左边的低估处的局部最优解。但显然,全局最优在右边的低估处。
 鞍点: 梯度为0的点,就是导数为0的点,即水平线。
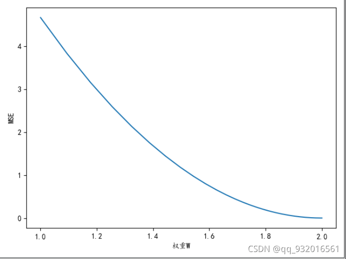
将参数全部带入后的公式:  完整代码—梯度下降
import matplotlib.pyplot as plt
x_data = [1.0, 2.0, 3.0]
y_data = [2.0, 4.0, 6.0]
a = 0.01
def cost(x_data, y_data, w):
sum_loss = 0
for x_val, y_val in zip(x_data, y_data):
pre_num = x_val * w
loss = (y_val - pre_num) ** 2
sum_loss += loss
return sum_loss / len(x_data)
def gradient(x_data, y_data, w):
grad_sum = 0
for x_val, y_val in zip(x_data, y_data):
grad_sum += 2 * x_val * (x_val * w - y_val)
return grad_sum / len(x_data)
if __name__ == '__main__':
w_ll = []
mse_ll = []
w = 1.0
for i in range(400):
mse = cost(x_data, y_data, w)
w_ll.append(w)
mse_ll.append(mse)
grad = gradient(x_data,y_data,w)
w -= a * grad
print("权重",w_ll)
print("MSE",mse_ll)
plt.plot(w_ll,mse_ll)
plt.rcParams['font.sans-serif'] = ['KaiTi']
plt.xlabel("权重W")
plt.ylabel("MSE")
plt.show()
可以看到结果: 
在深度学习里,用的比较多的是随机梯度下降。 在梯度下降里。用整体的均值损失作为梯度依据,在随机的梯度下降里,从整体的均值损失里随机抽一个来使用(或者直接仅计算一个(每一个样本)的损失来使用-代码中这样实现)。 随机梯度下降可能可以解决梯度下降的鞍点问题。
 完整代码–随机梯度下降
import matplotlib.pyplot as plt
x_data = [1.0, 2.0, 3.0]
y_data = [2.0, 4.0, 6.0]
w = 1.0
a = 0.01
def loss(x_val, y_val, w):
return (w * x_val - y_val) ** 2
def gradient(x_val, y_val, w):
return 2 * x_val * (x_val * w - y_val)
if __name__ == '__main__':
w_ll = []
los_ll = []
for p in range(200):
for x_val, y_val in zip(x_data, y_data):
losss = loss(x_val, y_val, w)
w_ll.append(w)
los_ll.append(losss)
grad = gradient(x_val, y_val, w)
w -= a * grad
print("权重",w_ll)
print("损失",los_ll)
plt.rcParams['font.sans-serif'] = ['KaiTi']
plt.plot(w_ll, los_ll)
plt.xlabel("权重W")
plt.ylabel("损失")
plt.show()
可以看到结果: 
梯度下降在计算梯度的时候是可以并行的。 但随机梯度下降,前后是有依赖关系的,要前一个的权重值。所以无法并行计算。
所以显然, 普通梯度下降,性能差但时间复杂度低。 随机梯度下降,性能高但时间复杂度高。 这里的性能指收敛,求最优解的性能。
在深度学习中,会取一个性能和时间复杂度折中的方案。叫Batch,或 Mini-Batch。 Batch:批量随机梯度下降。将全部数据分为若干个一组,每次求这一组的梯度然后更新。
|