目录
一、机器学习(ML)简介
1. 人工智能、机器学习、深度学习的关系
2. 机器学习与深度学习的比较
2.1、应用场景
2.2、所需数据量
2.3、执行时间
2.4、解决问题的方法
3. 监督学习(Supervised Learning)
4. 无监督学习(Unsupervised Learning)(如:聚类)
5.一些符号代表一些定义:
二、线性回归
1. Python设计的一些第三方库的使用
1.1 简单的练习
2.单变量的线性回归
2.1 Plotting the data
2.2 代价函数(cost function)
2.3?梯度下降
2.4 关于矩阵的一些知识
2.5?实现梯度下降算法在线性回归中的应用
?
?
3.?多变量(多特征)的线性回归
3.1 Notation??
3.2 多元梯度下降法
3.3 向量化
3.4 特征缩放?
3.5 学习率α
3.6 特征和多项式回归
3.7 正规方程(区别于迭代方法求J(?)min的直接解法)
3.8 正规方程之矩阵不可逆情况下的解决方法
3.9 多变量线性回归应用
三、分类
1. logistic 回归(逻辑回归)?
1.1 假设陈述
1.2 决策界限
1.3 代价函数
1.4 简化代价函数与梯度下降?
2. 逻辑回归的应用?
2.1 数据可视化
2.2 sigmoid 函数?
?2.3?代价函数和梯度
2.4?用工具库计算θ的值
2.5 评价逻辑回归模型?
3. 正则化逻辑回归
3.1 数据可视化
?3.2 特征映射
?
?3.3 代价函数和梯度
3.4?用工具库求解参数
3.5 画出决策的曲线
?
?3.6 改变λ,观察决策曲线
一、机器学习(ML)简介
1. 人工智能、机器学习、深度学习的关系
机器学习是人工智能的子领域,也是人工智能的核心。它囊括了几乎所有对世界影响最大的方法(包括深度学习)。
机器学习理论主要是设计和分析一些让计算机可以自动学习的算法。
深度学习(DeepLearning,DL)属于机器学习的子类。它的灵感来源于人类大脑的工作方式,是利用深度神经网络来解决特征表达的一种学习过程。
深度神经网络本身并非是一个全新的概念,可理解为包含多个隐含层的神经网络结构。为了提高深层神经网络的训练效果,人们对神经元的连接方法以及激活函数等方面做出了调整。其目的在于建立、模拟人脑进行分析学习的神经网络,模仿人脑的机制来解释数据,如文本、图像、声音。
概括来说:人工智能包括机器学习,机器学习包括深度学习
2. 机器学习与深度学习的比较
2.1、应用场景
机器学习在指纹识别、特征物体检测等领域的应用基本达到了商业化的要求。
深度学习主要应用于文字识别、人脸技术、语义分析、智能监控等领域。目前在智能硬件、教育、医疗等行业也在快速布局。
2.2、所需数据量
机器学习能够适应各种数据量,特别是数据量较小的场景。
如果数据量迅速增加,那么深度学习的效果将更加突出,这是因为深度学习算法需要大量数据才能完美理解。
2.3、执行时间
执行时间是指训练算法所需要的时间量。
一般来说,深度学习算法需要大量时间进行训练。这是因为该算法包含有很多参数,因此训练它们需要比平时更长的时间。
相对而言,机器学习算法的执行时间更少。
2.4、解决问题的方法
机器学习算法遵循标准程序以解决问题。它将问题拆分成数个部分,对其进行分别解决,而后再将结果结合起来以获得所需的答案。
深度学习则以集中方式解决问题,而不必进行问题拆分。
世界上最大的MOOC平台
3. 监督学习(Supervised Learning)
指我们给算法一个数据集,其中包含了正确答案,算法的目的就是给出更多的正确答案。也被成为 回归问题(Regression)
回归问题:目的 预测连续的数值输出。
分类问题:目的 预测离散值得输出。
在监督学习中,我们有一个数据集,它被称为一个训练集。
4. 无监督学习(Unsupervised Learning)(如:聚类)
吴恩达建议:先用Octave建立起原型,再用其他编程语言(Python)实现速度会大大提高效率!(可以试一试)
无监督学习:指(给定一组无标签的数据集)根据类别未知(没有被标记)的训练样本解决模式识别中的各种问题。
5.一些符号代表一些定义:
m:表示训练样本的数量
x:代表输入变量(或输入特征)
y:代表输出变量(即需要预测的目标变量)
(x,y):表示一个训练样本
(x^(i), y^(i)):表示第i个训练样本
h(hypothesis<假设>):表示假设函数
二、线性回归
1. Python设计的一些第三方库的使用
numpy教程
pandas教程
matplotlib教程
1.1 简单的练习
import numpy as np
import pandas as pd
import matplotlib.pyplot as plt
A = np.eye(5)
A
运行结果:
array([[1., 0., 0., 0., 0.],
[0., 1., 0., 0., 0.],
[0., 0., 1., 0., 0.],
[0., 0., 0., 1., 0.],
[0., 0., 0., 0., 1.]])
2.单变量的线性回归
这个部分需要根据城市人口数量,预测开小吃店的利润。
数据在ex1data1.txt里,第一列是城市人口数量,第二列是该城市小吃店利润。
2.1 Plotting the data
读入数据,然后展示数据
数据说明
ex1data1.txt需要根据学生的2次测试成绩,预测该学生是否被录取。第一列是第一次测试成绩,第二列是第二次测试成绩
path = 'E:/Python/machine learning/data/ex1_data1.txt'
data = pd.read_csv(path, header=None, names=['Population', 'Profit'])
data.head() # head()是观察前5行
# 运行结果如下图
| Population | Profit |
---|
0 | 6.1101 | 17.5920 |
---|
1 | 5.5277 | 9.1302 |
---|
2 | 8.5186 | 13.6620 |
---|
3 | 7.0032 | 11.8540 |
---|
4 | 5.8598 | 6.8233 |
---|
data.plot(kind='scatter', x='Population', y='Profit', figsize=(12,8)) #figsize(a,b)设置图形的大小,a为图形的宽,b为图形的高,单位为英寸
plt.show() # scatter代表散点图

2.2 代价函数(cost function)
有时也叫平方误差函数(square error function) ,或者平方误差代价函数(square error cost function) 。
对于大多数问题,特别是回归问题,都是一个合理的选择。
一个好的代价函数需要满足两个最基本的要求:能够评价模型的准确性,对参数θ可微。
在线性回归中,最常用的是均方误差(Mean squared error),具体形式为:

m:训练样本的个数;
hθ(x):用参数θ和x预测出来的y值;
y:原训练样本中的y值,也就是标准答案
上角标(i):第i个样本
目标:找到θ0,θ1使J(θ)的值最小。目标函数:minmizeJ(θ)
图像:通常用等高线图表示,J(θ)是一个碗状的图形,并且有全局最小值。全局最小值就是θ0和θ1的最优解。梯度下降的每一步都会更接近这个最小值

2.3?梯度下降
这个部分你需要在现有数据集上,训练线性回归的参数θ
公式:
如下图所示梯度下降算法的定义。不断更新θj,直到收敛。

其中?:= ?表示赋值;?= 表示真假判断;α 表示学习速率,来控制梯度下降时,“迈的步子”,α越大,下降越快;α太小,收敛速度太慢,α太大,会导致无法收敛甚至发散。当达到最优解时,偏导数为0,θ收敛
微妙之处:1.看for可得,需要同时 更新θ0和θ1;2.不必减小α,因为当越来越接近最优解时,偏导数会变得越来越小!!!

2.4 关于矩阵的一些知识
矩阵和向量
矩阵(matrix)的维度 = 行数 x 列数
向量(vector):rows x 1 维度的矩阵
通常用大写字母表示 矩阵 ,用 y 表示向量
矩阵的加法 和 与标量的乘法
两个矩阵相加:对应位置元素相加即可
标量矩阵 = 矩阵中每个元素都标量(除法同理)
与矩阵乘法 矩阵前提:一个矩阵的列数=另一个矩阵的行数
A1 x A2 = A1行对应的元素 x A2列对应的元素 然后相加求和 得:rowsA1 x colsA2维度的矩阵
矩阵乘法的特性
A x B != B x A
A x B x C == A x (B x C) == (A x B) x C
单位矩阵:I(n*n) A x I == I x A
矩阵的逆(inverse)和转置(transpose)

2.5?实现梯度下降算法在线性回归中的应用
#数据前面已经读取完毕,我们要为加入一列x,用于更新?,然后我们将?初始化为0,学习率初始化为0.01,迭代次数为1500次
data.insert(0, 'Ones', 1)
# 初始化x,y
cols = data.shape[1]
X = data.iloc[:,:-1] #X是data里的除最后列
y = data.iloc[:,cols-1:cols] #y是data最后一列
# 观察下 X (训练集) and y (目标变量)是否正确.
X.head()

y.head()
?
# 代价函数应该是numpy矩阵,所以我们需要转换X和Y,然后才能使用它们。 我们还需要初始化theta。
X = np.matrix(X.values)
y = np.matrix(y.values)
theta = np.matrix(np.array([0,0]))
#看下维度
X.shape, theta.shape, y.shape
((97, 2), (1, 2), (97, 1))
#这个部分计算J(?),X是矩阵
def computeCost(X, y, theta):
inner = np.power(((X * theta.T) - y), 2)
return np.sum(inner) / (2 * len(X))
#2.2.3计算J(θ)计算代价函数 (theta初始值为0)
computeCost(X, y, theta)
32.072733877455676
#2.2.4梯度下降
'''记住J(θ)的变量是θ,而不是X和y,意思是说,我们变化的值来使J(θ)变化,而不是变化X和y的值。
一个检查梯度下降是不是在正常运作的方式,是打印出每一步J(θ)的值,看他是不是一直都在减小,并且最后收敛至一个稳定的值。
最后的结果会用来预测小吃店在35000及70000人城市规模的利润。'''
#这个部分实现了?的更新
def gradientDescent(X, y, theta, alpha, iters):
temp = np.matrix(np.zeros(theta.shape))
parameters = int(theta.ravel().shape[1])
cost = np.zeros(iters)
for i in range(iters):
error = (X * theta.T) - y
for j in range(parameters):
term = np.multiply(error, X[:,j])
temp[0,j] = theta[0,j] - ((alpha / len(X)) * np.sum(term))
theta = temp
cost[i] = computeCost(X, y, theta)
return theta, cost
#初始化一些附加变量 - 学习速率α和要执行的迭代次数,2.2.2中已经提到。
alpha = 0.01
iters = 1500
#现在让我们运行梯度下降算法来将我们的参数θ适合于训练集。
g, cost = gradientDescent(X, y, theta, alpha, iters)
g
matrix([[-3.63029144, 1.16636235]])
#预测35000和70000城市规模的小吃摊利润
predict1 = [1,3.5]*g.T
print("predict1:",predict1)
predict2 = [1,7]*g.T
print("predict2:",predict2)
predict1: [[0.45197679]]
predict2: [[4.53424501]]
x = np.linspace(data.Population.min(), data.Population.max(), 100)
f = g[0, 0] + (g[0, 1] * x)
#原始数据以及拟合的直线
fig, ax = plt.subplots(figsize=(12,8))
ax.plot(x, f, 'r', label='Prediction')
ax.scatter(data.Population, data.Profit, label='Traning Data')
ax.legend(loc=2)
ax.set_xlabel('Population')
ax.set_ylabel('Profit')
ax.set_title('Predicted Profit vs. Population Size')
plt.show()

3.?多变量(多特征)的线性回归
3.1 Notation?
3.2 多元梯度下降法
上面的假设函数的参数:?0~?n看做一个n+1维的向量


3.3 向量化
在很多特征时,用循环实现?的更新很慢,用向量代替上图式子中?-的内个求和式,再用代码可以更简洁的实现并且提高速度
3.4 特征缩放?
当 不同特征的取值在相近的范围内,这样梯度下降就能更好的收敛。 所以,当范围相差太大的时候,可以使用特征缩放的方法。以两个特征量为例理解:

通常将特征的取值约束在 -1到+1 的范围内,本身范围很近超一点点的也是ok的。
x>>1 / <0x<<1 / x<<-1 / -1<<x<0都是不合适的
均值归一化(Mean normalization)
do:(xi-μi)/Si (μi:x的平均值,Si:范围大小(最大-最小)) 让你的特征值具有为0的平均值(x0除外,x0永远为1)
3.5 学习率α
首先通过 J(?) 关于迭代次数的曲线图检验算法是否执行正常。当曲线成上升趋势时,很可能是 α 太大了
选α时,try:α=0.001/0.003/0.01/0.03/0.1/0.3/1...(通常每隔大约3倍取一个值),然后通过绘制J(?)与迭代次数的曲线,选择使J(?)下降最快的α值
3.6 特征和多项式回归
特征可以任意选择(例如:已知特征长和宽,可以定义长*宽作为新的特征):有算法可以自动识别选择什么特征特征,后面会学习。
多项式回归:(需要注意每个变量的范围会差很多,需要特征缩放)

3.7 正规方程(区别于迭代方法求J(?)min的直接解法)
正规方程法:可以一步得到最优解 (原理:?为实数时,求导;?为向量时,对每一个?求偏导。)
此方法不需要特征缩放。
n越大,计算X的转置和逆时间(O(n^3))越长。该方法在后面学学习的更复杂的算法中不能用,梯度下降算法更为常用,该算法是特定模型下的替代算法。
选择:通常,当n>1百万时,选择梯度下降法或其他算法;当n<10000时,选择正规方程法。
3.8 正规方程之矩阵不可逆情况下的解决方法
原因:1.有多余的特征 2.特征太多(m<=n时)
解决:寻找是否有线性关系的特征,删掉一个;否则,如果有太多特征,删去一些不影响的或考虑使用正规化方法。
3.9 多变量线性回归应用
ex1data2.txt里的数据,第一列是房屋大小,第二列是卧室数量,第三列是房屋售价
根据已有数据,建立模型,预测房屋的售价
path = 'E:/Python/machine learning/data/ex1_data2.txt'
data2 = pd.read_csv(path, header=None, names=['Size', 'Bedrooms', 'Price'])
data2.head()
| Size | Bedrooms | Price |
---|
0 | 2104 | 3 | 399900 |
---|
1 | 1600 | 3 | 329900 |
---|
2 | 2400 | 3 | 369000 |
---|
3 | 1416 | 2 | 232000 |
---|
4 | 3000 | 4 | 539900 |
---|
特征归一化?
观察数据发现,size变量是bedrooms变量的1000倍大小,统一量级会让梯度下降收敛的更快。做法就是,将每类特征减去他的平均值后除以标准差。

梯度下降
# 加一列常数项
data2.insert(0, 'Ones', 1)
# 初始化X和y
cols = data2.shape[1]
X2 = data2.iloc[:,0:cols-1]
y2 = data2.iloc[:,cols-1:cols]
# 转换成matrix格式,初始化theta
X2 = np.matrix(X2.values)
y2 = np.matrix(y2.values)
theta2 = np.matrix(np.array([0,0,0]))
# 运行梯度下降算法
g2, cost2 = gradientDescent(X2, y2, theta2, alpha, iters)
g2
matrix([[-1.10898288e-16, 8.84042349e-01, -5.24551809e-02]])
# 正规方程
def normalEqn(X, y):
theta = np.linalg.inv(X.T@X)@X.T@y# X.T@X等价于X.T.dot(X)
return theta
final_theta2=normalEqn(X, y)#这里用的是data1的数据
final_theta2
matrix([[-3.89578088],
[ 1.19303364]])
梯度下降得到的结果是matrix([[-3.24140214, ?1.1272942 ]])
三、分类
对于要预测的变量y为离散值时的分类问题,一种新的分类算法:logistic 回归算法。该算法:0<=h(?)<=1
二分类:y∈{0,1},多分类:y∈{1,2,...}(一些离散的值)
1. logistic 回归(逻辑回归)?
1.1 假设陈述

1.2 决策界限
决策边界是假设函数的一个属性,决定于假设函数的参数?的取值,不取决于数据集。是两个取值样本的分界线。
1.3 代价函数
即如何拟合逻辑回归模型的参数?。通过数据集,确定?

J(?)为非凹函数,无法得到局部最优解

1.4 简化代价函数与梯度下降?

上面的特征缩放仍然适用于逻辑回归
2. 逻辑回归的应用?
?在训练的初始阶段,我们将要构建一个逻辑回归模型来预测,某个学生是否被大学录取。设想你是大学相关部分的管理者,想通过申请学生两次测试的评分,来决定他们是否被录取。现在你拥有之前申请学生的可以用于训练逻辑回归的训练样本集。对于每一个训练样本,你有他们两次测试的评分 和最后是被录取的结果 。
2.1 数据可视化
import numpy as np
import pandas as pd
import matplotlib.pyplot as plt
path = 'E:/Python/machine learning/data/ex2_data1.txt'
data = pd.read_csv(path, header=None, names=['Exam 1', 'Exam 2', 'Admitted'])
data.head()

positive = data[data['Admitted'].isin([1])]
negative = data[data['Admitted'].isin([0])]
fig, ax = plt.subplots(figsize=(12,8))
ax.scatter(positive['Exam 1'], positive['Exam 2'], s=50, c='b', marker='o', label='Admitted')
ax.scatter(negative['Exam 1'], negative['Exam 2'], s=50, c='r', marker='x', label='Not Admitted')
ax.legend()
ax.set_xlabel('Exam 1 Score')
ax.set_ylabel('Exam 2 Score')
plt.show()
?
2.2 sigmoid 函数?

# 实现sigmoid函数
def sigmoid(z):
return 1 / (1 + np.exp(-z))
?2.3?代价函数和梯度

# 实现代价函数
def cost(theta, X, y):
theta = np.matrix(theta)
X = np.matrix(X)
y = np.matrix(y)
first = np.multiply(-y, np.log(sigmoid(X * theta.T)))
second = np.multiply((1 - y), np.log(1 - sigmoid(X * theta.T)))
return np.sum(first - second) / (len(X))
# 加一列常数列
data.insert(0, 'Ones', 1)
# 初始化X,y,θ
cols = data.shape[1]
X = data.iloc[:,0:cols-1]
y = data.iloc[:,cols-1:cols]
theta = np.zeros(3)
# 转换X,y的类型
X = np.array(X.values)
y = np.array(y.values)
# 检查矩阵的维度
X.shape, theta.shape, y.shape
((100, 3), (3,), (100, 1))
# 用初始θ计算代价
cost(theta, X, y)
0.6931471805599453
# 实现梯度计算的函数(并没有更新θ)
def gradient(theta, X, y):
theta = np.matrix(theta)
X = np.matrix(X)
y = np.matrix(y)
parameters = int(theta.ravel().shape[1])
grad = np.zeros(parameters)
error = sigmoid(X * theta.T) - y
for i in range(parameters):
term = np.multiply(error, X[:,i])
grad[i] = np.sum(term) / len(X)
return grad
2.4?用工具库计算θ的值
在此前的线性回归中,我们自己写代码实现的梯度下降(ex1的2.2.4的部分)。当时我们写了一个代价函数、计算了他的梯度,然后对他执行了梯度下降的步骤。这次,我们不自己写代码实现梯度下降,我们会调用一个已有的库。这就是说,我们不用自己定义迭代次数和步长,功能会直接告诉我们最优解。 andrew ng在课程中用的是Octave的“fminunc”函数,由于我们使用Python,我们可以用scipy.optimize.fmin_tnc做同样的事情。 (另外,如果对fminunc有疑问的,可以参考下面这篇百度文库的内容matlab最小值优化问题中fminunc、fmincon的应用 - 百度文库?)
import scipy.optimize as opt
result = opt.fmin_tnc(func=cost, x0=theta, fprime=gradient, args=(X, y))
result
(array([-25.16131863, 0.20623159, 0.20147149]), 36, 0)
# 用θ的计算结果代回代价函数计算
cost(result[0], X, y)
0.20349770158947458
# 画出决策曲线
plotting_x1 = np.linspace(30, 100, 100)
plotting_h1 = ( - result[0][0] - result[0][1] * plotting_x1) / result[0][2]
fig, ax = plt.subplots(figsize=(12,8))
ax.plot(plotting_x1, plotting_h1, 'y', label='Prediction')
ax.scatter(positive['Exam 1'], positive['Exam 2'], s=50, c='b', marker='o', label='Admitted')
ax.scatter(negative['Exam 1'], negative['Exam 2'], s=50, c='r', marker='x', label='Not Admitted')
ax.legend()
ax.set_xlabel('Exam 1 Score')
ax.set_ylabel('Exam 2 Score')
plt.show()

2.5 评价逻辑回归模型?
在确定参数之后,我们可以使用这个模型来预测学生是否录取。如果一个学生exam1得分45,exam2得分85
# 实现hθ
def hfunc1(theta, X):
return sigmoid(np.dot(theta.T, X))
hfunc1(result[0],[1,45,85])
0.7762906240463825
另一种评价θ的方法是看模型在训练集上的正确率怎样。写一个predict的函数,给出数据以及参数后,会返回“1”或者“0”。然后再把这个predict函数用于训练集上,看准确率怎样。
# 定义预测函数
def predict(theta, X):
probability = sigmoid(X * theta.T)
return [1 if x >= 0.5 else 0 for x in probability]
# 统计预测正确率
theta_min = np.matrix(result[0])
predictions = predict(theta_min, X)
correct = [1 if ((a == 1 and b == 1) or (a == 0 and b == 0)) else 0 for (a, b) in zip(predictions, y)]
accuracy = (sum(map(int, correct)) % len(correct))
print ('accuracy = {0}%'.format(accuracy))
accuracy = 89%
3. 正则化逻辑回归
在训练的第二部分,我们将实现加入正则项提升逻辑回归算法。 设想你是工厂的生产主管,你有一些芯片在两次测试中的测试结果,测试结果决定是否芯片要被接受或抛弃。你有一些历史数据,帮助你构建一个逻辑回归模型。
3.1 数据可视化
path = 'E:/Python/machine learning/data/ex2_data2.txt'
data_init = pd.read_csv(path, header=None, names=['Test 1', 'Test 2', 'Accepted'])
data_init.head()

positive2 = data_init[data_init['Accepted'].isin([1])]
negative2 = data_init[data_init['Accepted'].isin([0])]
fig, ax = plt.subplots(figsize=(12,8))
ax.scatter(positive2['Test 1'], positive2['Test 2'], s=50, c='b', marker='o', label='Accepted')
ax.scatter(negative2['Test 1'], negative2['Test 2'], s=50, c='r', marker='x', label='Rejected')
ax.legend()
ax.set_xlabel('Test 1 Score')
ax.set_ylabel('Test 2 Score')
plt.show()

以上图片显示,这个数据集不能像之前一样使用直线将两部分分割。而逻辑回归只适用于线性的分割,所以,这个数据集不适合直接使用逻辑回归。
?3.2 特征映射
一种更好的使用数据集的方式是为每组数据创造更多的特征。所以我们为每组添加了最高到6次幂的特征
degree = 6
data2 = data_init
x1 = data2['Test 1']
x2 = data2['Test 2']
data2.insert(3, 'Ones', 1)
for i in range(1, degree+1):
for j in range(0, i+1):
data2['F' + str(i-j) + str(j)] = np.power(x1, i-j) * np.power(x2, j)
#此处原答案错误较多,已经更正
data2.drop('Test 1', axis=1, inplace=True)
data2.drop('Test 2', axis=1, inplace=True)
data2.head()

?3.3 代价函数和梯度
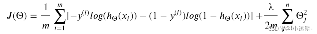
?在原来的基础上加上正则项 (缩小每一个?) 记住?0是不需要正则化的,下标从1开始。 梯度的第j个元素的更新公式为:对上面的算法中 j=1,2,...,n 时的更新式子进行调整可得:把初始(所有元素为0)带入,代价应为0.693这一部分要实现计算逻辑回归的代价函数和梯度的函数。代价函数公式如下:

# 实现正则化的代价函数
def costReg(theta, X, y, learningRate):
theta = np.matrix(theta)
X = np.matrix(X)
y = np.matrix(y)
first = np.multiply(-y, np.log(sigmoid(X * theta.T)))
second = np.multiply((1 - y), np.log(1 - sigmoid(X * theta.T)))
reg = (learningRate / (2 * len(X))) * np.sum(np.power(theta[:,1:theta.shape[1]], 2))
return np.sum(first - second) / len(X) + reg
# 实现正则化的梯度函数
def gradientReg(theta, X, y, learningRate):
theta = np.matrix(theta)
X = np.matrix(X)
y = np.matrix(y)
parameters = int(theta.ravel().shape[1])
grad = np.zeros(parameters)
error = sigmoid(X * theta.T) - y
for i in range(parameters):
term = np.multiply(error, X[:,i])
if (i == 0):
grad[i] = np.sum(term) / len(X)
else:
grad[i] = (np.sum(term) / len(X)) + ((learningRate / len(X)) * theta[:,i])
return grad
# 初始化X,y,θ
cols = data2.shape[1]
X2 = data2.iloc[:,1:cols]
y2 = data2.iloc[:,0:1]
theta2 = np.zeros(cols-1)
# 进行类型转换
X2 = np.array(X2.values)
y2 = np.array(y2.values)
# λ设为1
learningRate = 1
# 计算初始代价
costReg(theta2, X2, y2, learningRate)
0.6931471805599454
3.4?用工具库求解参数
result2 = opt.fmin_tnc(func=costReg, x0=theta2, fprime=gradientReg, args=(X2, y2, learningRate))
result2
(array([ 1.27271027, 0.62529965, 1.18111686, -2.01987399, -0.9174319 ,
-1.43166929, 0.12393227, -0.36553118, -0.35725403, -0.17516292,
-1.45817009, -0.05098418, -0.61558552, -0.27469165, -1.19271298,
-0.24217841, -0.20603297, -0.04466178, -0.27778952, -0.29539513,
-0.45645981, -1.04319155, 0.02779373, -0.29244872, 0.01555761,
-0.32742406, -0.1438915 , -0.92467487]),32,1)
最后,我们可以使用第1部分中的预测函数来查看我们的方案在训练数据上的准确度。
theta_min = np.matrix(result2[0])
predictions = predict(theta_min, X2)
correct = [1 if ((a == 1 and b == 1) or (a == 0 and b == 0)) else 0 for (a, b) in zip(predictions, y2)]
accuracy = (sum(map(int, correct)) % len(correct))
print ('accuracy = {0}%'.format(accuracy))
accuracy = 98%
3.5 画出决策的曲线
def hfunc2(theta, x1, x2):
temp = theta[0][0]
place = 0
for i in range(1, degree+1):
for j in range(0, i+1):
temp+= np.power(x1, i-j) * np.power(x2, j) * theta[0][place+1]
place+=1
return temp
def find_decision_boundary(theta):
t1 = np.linspace(-1, 1.5, 1000)
t2 = np.linspace(-1, 1.5, 1000)
cordinates = [(x, y) for x in t1 for y in t2]
x_cord, y_cord = zip(*cordinates)
h_val = pd.DataFrame({'x1':x_cord, 'x2':y_cord})
h_val['hval'] = hfunc2(theta, h_val['x1'], h_val['x2'])
decision = h_val[np.abs(h_val['hval']) < 2 * 10**-3]
return decision.x1, decision.x2
fig, ax = plt.subplots(figsize=(12,8))
ax.scatter(positive2['Test 1'], positive2['Test 2'], s=50, c='b', marker='o', label='Accepted')
ax.scatter(negative2['Test 1'], negative2['Test 2'], s=50, c='r', marker='x', label='Rejected')
ax.set_xlabel('Test 1 Score')
ax.set_ylabel('Test 2 Score')
x, y = find_decision_boundary(result2)
plt.scatter(x, y, c='y', s=10, label='Prediction')
ax.legend()
plt.show()

?3.6 改变λ,观察决策曲线
λ=0时 过拟合
learningRate2 = 0
result3 = opt.fmin_tnc(func=costReg, x0=theta2, fprime=gradientReg, args=(X2, y2, learningRate2))
result3
(array([ 9.11192364e+00, 1.18840465e+01, 6.30828094e+00, -8.39706468e+01,
-4.48639810e+01, -3.81221435e+01, -9.42525756e+01, -8.14257602e+01,
-4.22413355e+01, -3.52968361e+00, 2.95734207e+02, 2.51308760e+02,
3.64155830e+02, 1.61036970e+02, 5.70100234e+01, 1.71716716e+02,
2.72109672e+02, 3.12447535e+02, 1.41764016e+02, 3.22495698e+01,
-1.75836912e-01, -3.58663811e+02, -4.82161916e+02, -7.49974915e+02,
-5.03764307e+02, -4.80978435e+02, -1.85566236e+02, -3.83936243e+01]),
280,
3)
fig, ax = plt.subplots(figsize=(12,8))
ax.scatter(positive2['Test 1'], positive2['Test 2'], s=50, c='b', marker='o', label='Accepted')
ax.scatter(negative2['Test 1'], negative2['Test 2'], s=50, c='r', marker='x', label='Rejected')
ax.set_xlabel('Test 1 Score')
ax.set_ylabel('Test 2 Score')
x, y = find_decision_boundary(result3)
plt.scatter(x, y, c='y', s=10, label='Prediction')
ax.legend()
plt.show()

?λ=100时欠拟合
learningRate3 = 100
result4 = opt.fmin_tnc(func=costReg, x0=theta2, fprime=gradientReg, args=(X2, y2, learningRate3))
fig, ax = plt.subplots(figsize=(12,8))
ax.scatter(positive2['Test 1'], positive2['Test 2'], s=50, c='b', marker='o', label='Accepted')
ax.scatter(negative2['Test 1'], negative2['Test 2'], s=50, c='r', marker='x', label='Rejected')
ax.set_xlabel('Test 1 Score')
ax.set_ylabel('Test 2 Score')
x, y = find_decision_boundary(result4)
plt.scatter(x, y, c='y', s=10, label='Prediction')
ax.legend()
plt.show()

暑假大概就看这么多,先保存下来趴。
|