动态聚类法
 两种常用算法:
- K-均值算法(K-means算法)
- 迭代自组织的数据分析算法(ISODATA, iterative self-organizing data analysis techniques algorithm)
?
一、K—均值算法(K-means)
1.1 条件及约定
- 设待分类的模式特征矢量集为 { x1,x2,…,xN };
- 类的数目K是事先取定的。
1.2 基本思想:
- 首先任意选取K个聚类中心
- 按最小距离原则将各模式分配到K类的某一类;
- 不断计算聚类中心和调整各模式的类别
- 最终使各模式到其判属类别中心的距离平方之和最小。
1.3 基于使聚类准则函数最小化
准则函数
对于第 j 个聚类集,准则函数定义为 
- Sj:第j个聚类集(域),
- 聚类中心为Zj;
- Nj:第j个聚类集Sj中所包含的样本个数。
? ? 对所有K个模式类有: 
? ?
聚类准则
K-均值算法的聚类准则:
? 对于某一个聚类 j:  即 :  可解得 : 
1.4 算法步骤
(1) 任选K个模式特征矢量作为初始聚类中心:
- z1(1) ,z2(1) ,…zK(1)。
- 括号内的序号表示迭代次数
(2) 将待分类的模式特征矢量集{x}中的模式
- 逐个按最小距离原则分划给K类中的某一类。
- 如果
D
j
(
k
)
=
min
?
{
∥
x
?
Z
i
(
k
)
∥
}
,
i
=
1
,
2
,
…
,
K
\mathrm{D}_{j}(k)=\min \left\{\left\|x-\mathrm{Z}_{i}(k)\right\|\right\}, \quad i=1,2, \ldots, K
Dj?(k)=min{∥x?Zi?(k)∥},i=1,2,…,K
则判
x
∈
S
j
(
k
)
x \in S_{j}(k)
x∈Sj?(k)
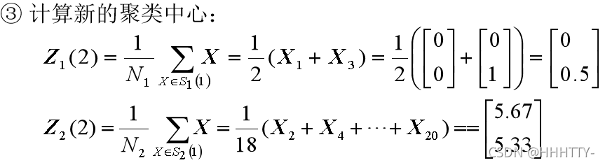
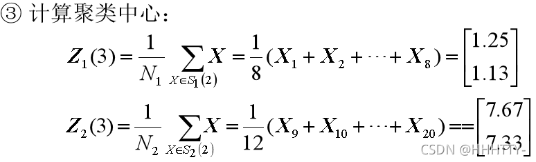
(3) 计算重新分类后的各聚类中心
z
j
(
k
+
1
)
z_{j}(k+1)
zj?(k+1)
- 即 求各聚类域中所包含样本的均值向量:
 - 以均值向量作新的聚类中心,
- 可得新的准则函数:

(4) 如果
z
j
(
k
+
1
)
=
z
j
(
k
)
(
j
=
1
,
2
,
…
K
)
z_{j}(k+1)=z_{j}(k)(j=1,2, \ldots K)
zj?(k+1)=zj?(k)(j=1,2,…K),则结束;
?
1.5 讨 论
?
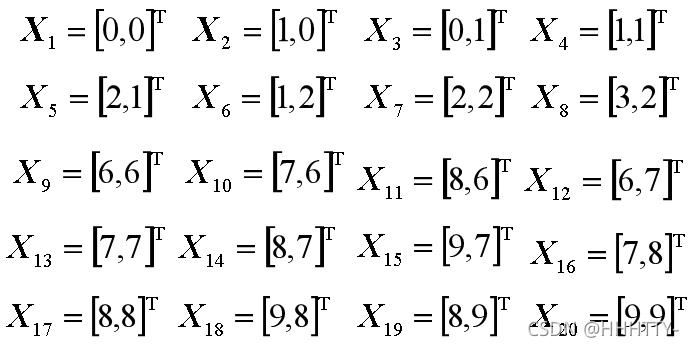
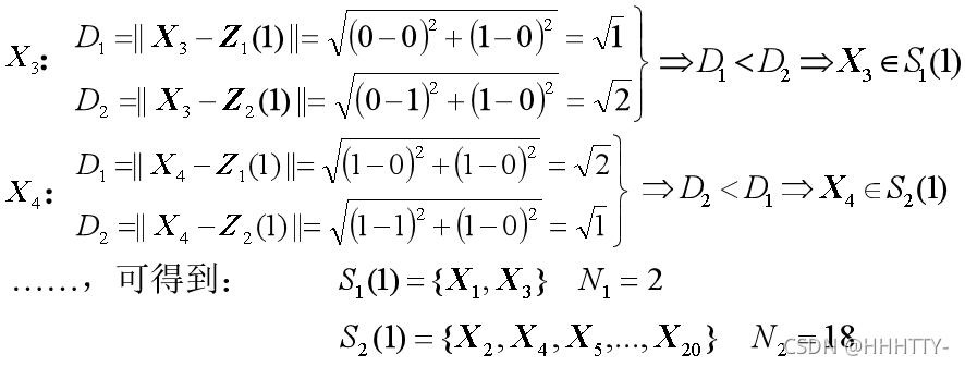
1.6 例题
例2.3:已知20个模式样本如下,试用K-均值算法分类。 
解:        结果图示:  ?
? ?
1.7 类别数目未知情况下如何使用?
- 在类别数未知情况下使用K—均值算法时:
- 可以假设类别数是逐步增加的。
- 显然准则函数是随K的增加而单调地减少的。
?
- 如果样本集的合理聚类数为K类
- 当类别数从1增加到K时准则函数迅速减小
- 当类别数超过K时,准则函数虽然继续减少但会呈现平缓趋势。

1.8 如何避免初始聚类中心的影响?
?
? ?
二、ISODATA算法
2.1 ISODATA算法的提出
(iterative self-organizing data analysis techniques algorithm,ISODATA)
- K—均值算法比较简单,但它的自我调整能力也比较差。
- 这主要表现在类别数不能改变
- 受代表点初始选择的影响也比较大。
ISODATA算法的功能与K—均值算法相比,在下列几方面有改进:
-
可以改变类别数目。 通过类别的合并与分裂来实现。 -
合并 · 主要发生在某一类内样本个数太少的情况 · 或两类聚类中心之间距离太小的情况。 · 为此设有最小类内样本数限制,以及类间中心距离参数。 -
分裂 · 主要发生在某一类别的某分量出现类内方差过大的现象 · 因而宜分裂成两个类别,以维持合理的类内方差。 · 给出一个对类内分量方差的限制参数,用以决定是否需要将某一类分裂成两类。 -
由于算法有自我调整的能力 · 因而需要设置若干个控制用参数。 · 如: 聚类数期望值K 每次迭代允许合并的最大聚类对数L 允许迭代次数I
?
2.2 ISODATA算法
2.2.1基本步骤和思路
-
(1) 选择初始控制参数。 可选不同的指标,也可在迭代过程中人为修改, 以将N个模式样本按指标分配到各个聚类中心中去。 -
(2) 计算各类中诸样本的距离指标函数。 -
(3)~(5)按给定的要求,将前一次获得的聚类集进行分裂和合并处理 【(4)为分裂处理,(5)为合并处理 】 从而获得新的聚类中心。 -
(6) 重新进行迭代运算 计算各项指标 判断聚类结果是否符合要求,如不符合,返回(2)。 经过多次迭代后,若结果收敛,则运算结束。
|