1.决策树解析
? ? ? ? 决策树是一种描写对实例进行分类的树型结构。决策树由结点和有向边组成。结点有两种类型:内部结点和叶节点。内部结点表示一个特征或属性,叶节点表示一个类。决策树分类算法是一种基于实例的归纳学习方法,它能从给定的无序的训练样本中,提炼出树型的分类模型。树中的每个非叶子节点记录了使用哪个特征来进行类别的判断,每个叶子节点则代表了最后判断的类别。
? ? ? ? 决策树的优点有:计算复杂度不高,输出结果容易理解,对中间值的缺失不敏感,可以处理不相关的特征数据。?其缺点就是容易产生过度匹配的问题,也就是过拟合问题。
2.决策树的简单构建
2.1信息增益构建决策树
? ? ? ?我们先按照书上的代码示例来构建一个简单的决策树,在此之前先了解一下信息增益的基本信息。 划分数据集的大原则是:将无序的数据变得更有序。在划分数据集之前之后信息发生的变化称为信息增益,我们可以计算每一个特征值划分数据集获得信息增益,获得信息增益最高的特征就是最好的选择。?信息熵的计算公式为

信息增益的计算方法为:
?

下面是计算给定数据集的香农熵的方法
def calcShannonEnt(dataSet):
numEntries = len(dataSet)
labelCounts = {}
for featVec in dataSet:
currentLabel = featVec[-1]
if currentLabel not in labelCounts.keys():
labelCounts[currentLabel] = 0
labelCounts[currentLabel] += 1
shannonEnt = 0
for key in labelCounts:
prob = float(labelCounts[key])/numEntries
shannonEnt -= prob*log(prob,2)
return shannonEnt
现在按照书本上的简单例子来测试一下
def createDataSet():
dataSet = [[1,1,'yes'],
[1,1,'yes'],
[1,0,'no'],
[0,1,'no'],
[0,1,'no']]
labels = ['no surfacing','flippers']
return dataSet,labels
myDat,labels=createDataSet()
print(myDat)
print(calcShannonEnt(myDat))
结果展示:

?熵越高则混合的数据也越多,我们可以通过在数据集中添加更多的分类,观察熵是怎么变化的
myDat[0][-1]='maybe'
print(myDat)
print(calcShannonEnt(myDat))

?????????分类算法除了需要测量信息熵,还需要划分数据集,度量划分数据集的熵,以便判断当前是否正确的划分了数据集。我们将对每个特征划分数据集的结果计算一次信息熵,判断哪一个特征是划分数据集是最后的划分方式。
划分数据集的代码如下,三个参数分别为待划分的数据集,划分数据集的特征,特征的返回值
def splitDataSet(dataSet,axis,value):
retDataSet=[]
for featVec in dataSet:
if featVec[axis] == value:
reducedFeatVec = featVec[:axis]
reducedFeatVec.extend(featVec[axis+1:])
retDataSet.append(reducedFeatVec)
return retDataSet
? ? 输出结果测试
print(splitDataSet(myDat,0,1))
print(splitDataSet(myDat,0,0))

?????????接下来按照最好的划分方式实现选取特征,划分数据集,计算出最好的划分数据集的特征。在函数中调用的数据要满足两个要求,一个是数据必须是一种有列表元素组成的列表,而且列表元素都具有相同的长度,第二个是,数据的最后一列或实例的最后一个元素是当前实例的特征标签。具体实现的代码如下:
def chooseBestFeatureToSplit(dataSet):
numFeatures = len(dataSet[0])-1
baseEntropy = calcShannonEnt(dataSet)
bestInfoGain = 0.0;
bestFeature = -1;
for i in range(numFeatures):
featList = [example[i] for example in dataSet]
uniqueVals = set(featList)
newEntropy = 0.0;
for value in uniqueVals:
subDataset = splitDataSet(dataSet,i,value)
prob = len(subDataset)/float(len(dataSet))
newEntropy += prob*calcShannonEnt(subDataset)
infoGain = baseEntropy-newEntropy
if(infoGain>bestInfoGain):
bestInfoGain = infoGain;
bestFeature = i;
return bestFeature
结果测试:
chooseBestFeatureToSplit(myDat)
print(myDat)

????????完成上面的几个步骤就可以来构建决策树了,首先用下面的函数来创建键值为classList中唯一值的数据字典。字典对象存储了classList中没一类标签出现的频率,然后排序,并返回最多的分类标签。
def majoritityCnt(classList):
classCount={}
for vote in classList:
if vote not in classCount.keys(): classCount[vote]=0
classCount[vote] += 1
sortedClassCount = sorted(classCount.items(),key=operator.itemgetter(1),reverse=True)
return sortedClassCount[0][0]
?然后就可以根据划分好的数据集和标签来创建决策树了
def createTree(dataSet,labels):
classList = [example[-1] for example in dataSet]
if classList.count(classList[0]) ==len(classList):
return classList[0]
if len(dataSet[0]) == 1:
return majoritityCnt(classList)
bestFeat = chooseBestFeatureToSplit(dataSet)
bestFeatLabel = labels[bestFeat]
myTree = {bestFeatLabel:{}}
del(labels[bestFeat])
featValues = [example[bestFeat] for example in dataSet]
uniqueValues = set(featValues)
for value in uniqueValues:
subLabels = labels[:]
myTree[bestFeatLabel][value] = createTree(splitDataSet(dataSet,bestFeat,value),subLabels)
return myTree
?结果测试:
myTree=createTree(myDat,labels)
print(myTree)

? ? ? ? ?接下来就可以用Matplotilb来绘制树形图了。首先定义文本框和箭头格式,还有待箭头的注解。同时创建creatPlot()函数,这个函数首先创建新图像并清空绘图区,然后在绘图区上绘制两个代表不同类型的树节点。具体代码如下
decisionNode = dict(boxstyle="sawtooth", fc="0.8")
leafNode = dict(boxstyle="round4", fc="0.8")
arrow_args = dict(arrowstyle="<-")
def plotNode(nodeTxt, centerpt, parentpt, nodeType):
createPlot.axl.annotate(nodeTxt, xy=parentpt, xycoords='axes fraction', xytext=centerpt,
textcoords='axes fraction', va="center", ha="center", bbox=nodeType, arrowprops=arrow_args)
def createPlot():
fig = plt.figure(1, facecolor='white')
fig.clf()
createPlot.axl = plt.subplot(111, frameon=False)
plotNode('a decision node', (0.5, 0.1), (0.1, 0.5), decisionNode)
plotNode('a left node', (0.8, 0.1), (0.3, 0.8), leafNode)
plt.show()
测试结果展示:
?????????接下来就是绘制一个完整的注解图,我们需要知道有多少叶结点,以便正确确定x轴的长度,然后要知道有多少层,确定y轴的高度。下面两个函数将分别获得树的叶结点和深度
def getNumLeafs(myTree):
numLeafs=0
firstStr = list(myTree.keys())[0]
secondDict=myTree[firstStr]
for key in secondDict.keys():
if type(secondDict[key]).__name__=='dict':
numLeafs += getNumLeafs(secondDict[key])
else: numLeafs += 1
return numLeafs
def getTreeDepth(myTree):
maxDepth=0
firstStr=list(myTree.keys())[0]
secondDict = myTree[firstStr]
for key in secondDict.keys():
if type(secondDict[key]).__name__=='dict':
thisDepth =1+getTreeDepth(secondDict[key])
else:thisDepth = 1
if thisDepth>maxDepth: maxDepth=thisDepth
return maxDepth
结果测试:
print(getNumLeafs(myTree))
print(getTreeDepth(myTree))

?然后就是完整的决策树的构建,具体代码如下。函数createPlot是我们使用的主函数,调用plotTree()和plotMidText(),plotTree()主要采用递归方式。
def plotMidText(cntrPt,parentPt,txtString):#在夫子节点之间传递信息
xMid=(parentPt[0]-cntrPt[0])/2.0+cntrPt[0]
yMid=(parentPt[1]-cntrPt[1])/2.0+cntrPt[1]
createPlot.axl.text(xMid,yMid,txtString)
def plotTree(myTree,parentPt,nodeTxt):
numLeafs=getNumLeafs(myTree)
depth=getTreeDepth(myTree)
firstStr=list(myTree.keys())[0]
cntrpt = (plotTree.xoff+(1.0+float(numLeafs))/2.0/plotTree.totalW,plotTree.yoff)
plotMidText(cntrpt,parentPt,nodeTxt)
plotNode(firstStr,cntrpt,parentPt,decisionNode)
secondDict = myTree[firstStr]
plotTree.yoff = plotTree.yoff-1.0/plotTree.totalD
for key in secondDict.keys():
if type(secondDict[key]).__name__=='dict':
plotTree(secondDict[key],cntrpt,str(key))
else:
plotTree.xoff=plotTree.xoff+1.0/plotTree.totalW
plotNode(secondDict[key],(plotTree.xoff,plotTree.yoff),cntrpt,leafNode)
plotMidText((plotTree.xoff,plotTree.yoff),cntrpt,str(key))
plotTree.yoff=plotTree.yoff+1.0/plotTree.totalD
def createPlot(inTree):
fig = plt.figure(1, facecolor='white')
fig.clf()
axprops=dict(xticks=[],yticks=[])
createPlot.axl=plt.subplot(111,frameon=False,**axprops)
plotTree.totalW = float(getNumLeafs(inTree))
plotTree.totalD = float(getTreeDepth(inTree))
plotTree.xoff = -0.5/plotTree.totalW; plotTree.yoff=1.0;
plotTree(inTree,(0.5,1.0),'')
plt.show()
输出结果展示

在树字典中添加一些其他数据,可以观察到决策树的变化
myTree['no surfacing'][3] = 'maybe'
print(myTree)
createPlot(myTree)
?
?2.2信息增益率构建决策树
? ? ? ? 信息增益构建决策树时,会发现对于可取数目较多的属性有所偏好,即当一个属性又能划分成多个时,信息增益的值就会偏大。因此有了一个新的概念,信息增益率。信息增益率的公式为:

其中IV(a)为:

?但同时,这个算法对于可取值数目较少的属性有所偏好,即当一个属性又能划分较少时会,信息增益率的值会偏大
?其代码的实现与信息增益大值相同,不同的地方仅仅在选择最好的数据集划分时计算IV(a),并除以IV(a)值,其他代码与信息增益相同。这里给上不同的地方
def chooseBestFeatureToSplit(dataSet):
numFeatures = len(dataSet[0])-1
baseEntropy = calcShannonEnt(dataSet)
bestInfoGain = 0.0;
splitinfo=0.0
bestFeature = -1;
for i in range(numFeatures):
featList = [example[i] for example in dataSet]
uniqueVals = set(featList)
newEntropy = 0.0;
for value in uniqueVals:
subDataset = splitDataSet(dataSet,i,value)
prob = len(subDataset)/float(len(dataSet))
newEntropy += prob*calcShannonEnt(subDataset)
splitinfo+=-prob*log(prob,2)
infoGain = baseEntropy-newEntropy
if(splitinfo==0):
continue
infoGain = infoGain/splitinfo
if(infoGain>bestInfoGain):
bestInfoGain = infoGain;
bestFeature = i;
return bestFeature
?????????其余代码与信息增益的完全相同,这里给出最后的结果截图,因为实验数据过于简单,更前一个没有什么区别,后面会增加实验数据然后看到不同结果

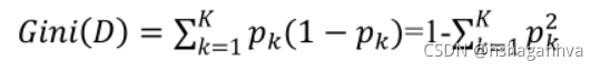
?2.3基尼指数建造决策树
?????????分类问题中,假设D有K个类,样本点属于第k类的概率为 , 则概率分布的基尼值定义为:

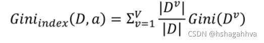
?Gini(D)越小,数据集D的纯度越高,给定数据集D,属性a的基尼指数定义为:

?3.多种数据展示决策树
? ? ? ? 下面数据属性有6个,分别为yea,0,1,2分别表示老年,中年,青年;work,0,1,2,3,4,5分别表示工资1000以下,1000到3000,3000到5000,5000到8000,8000到10000,10000以上;house,0, 1分别表示有房子和无房子;car, 0,1 ,2分别表示无车,一般车,好车;child,0,1?分别表示有孩子,无孩子;credit,0,1,2分别表示信用差,信用一般,信用好。最终判断是否给这个人贷款。
信息增益构建:

?
?信息增益率:

?4.实验总结
? ? ? ? 本次对决策树的构造理解了采用信息增益、信息增益率、基尼指数三种方式的计算以及构建决策树的方法。在多个数据构建的决策树中可以发现对于划分类多在信息增益的构建中在前面,二划分少的在信息增益率构建的决策树中位于前列。
|