前情回顾
- 深度学习概述和数学基础
- 机器学习基础
- 前馈神经网络
概述
本次学习结合了李宏毅机器学习的相关章节进行学习,从首先补充了计算图的相关知识,随后,学习了RNN的结构,训练,及可能遇到的梯度消失的问题;再进步学习了LSTM的结构,和例子。同时简单使用torch进行了代码实现。还了解了其他经典的循环神经网络,及其主要应用。
1 计算图
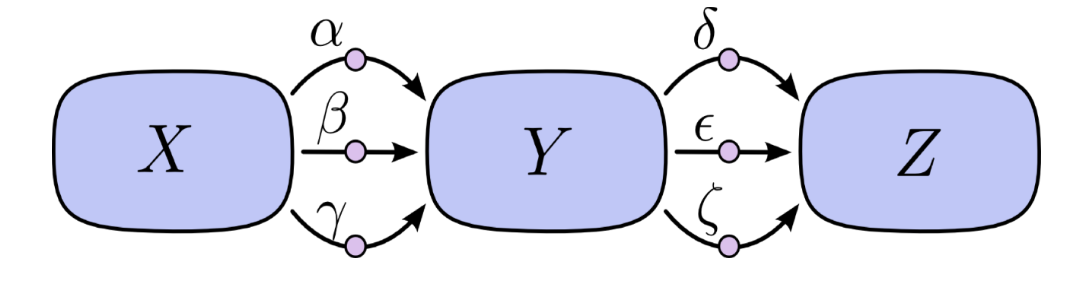
计算图(computation graph)表述了计算过程中各个变量的传递关系及计算过程。
计算图是描述计算结构的一种图,它的元素包括节点(node)和边(edge),节点表示变量,可以是标量、矢量、张量等,而边表示的是某个操作,即函数。  下图表示复合函数 
由于反向传播关注求导,我们讨论计算图的求导,可以用链式法则表示,有下面两种情况。
- 情况1
 - 情况2

下图给出了计算图的一个案例  教程里的另一个案例也很好地说明了计算图的传递  前向传播  反向传播 
2 RNN
2.1 为什么需要RNN
假设我们现在想要让机器处理一个句子,我们首先要考虑把句子变成向量。
词汇在放入神经网络前,先经过了embedding,变成了一个向量。 但是,在自然语言处理中,我们容易发现,对于同一个词汇,有可能在不同的句子里代表不同的含义。
如下图,在第一个句子中,Taipei是目的地,在第二个句子中,Taipei是出发地。  对于一般的神经网络来说,同一个输入对应的输出是一样的,显然不能满足我们的要求。
我们希望我们的神经网络有记忆,根据上下文来判断词性。
循环神经网络由此而生。
循环神经网络的发展历程由下图所示 
循环神经网络是一种人工神经网络,它的节点间的连接形成一个遵循时间序列的有向图,它的核心思想是,样本间存在顺序关系,每个样本和它之前的样本存在关联。通过神经网络在时序上的展开,我们能够找到样本之间的序列相关性。
RNN的一般结构如下图所示  其中各个符号的表示:
x
t
x_t
xt?,
s
t
s_t
st?,
o
t
o_t
ot? 分别表示的是
t
t
t时刻的输入、记忆和输出,
U
U
U,
V
V
V,
W
W
W是RNN的连接权重,
b
s
b_s
bs?,
b
o
b_o
bo? 是RNN的偏置,
σ
\sigma
σ,
φ
\varphi
φ是激活函数,
σ
\sigma
σ通常选
t
a
n
h
tanh
tanh或
s
i
g
m
o
i
d
sigmoid
sigmoid,
φ
\varphi
φ通常选用
s
o
f
t
m
a
x
softmax
softmax。
2.2 RNN的简单案例
下图展示了RNN的过程,绿色的会存入蓝色内存中  22被存入内存,则此时再输入(1,1),绿色的单元得到1+1+2+2 = 6,就是(6,6)。则输出就是(12,12)。  66被存入内存,洗掉了原来的22,再输入(2,2),此时绿色的单元得到2+2+6+6=16,就是(16,16)。则输出就是(32,32)。  同一个网络在不同的时刻被多次使用。 
教程里则给出了另一个案例,词性标注的案例。
下图表示了word embedding,词嵌入的过程:  将神经元的输出存到memory中,memory中值会作为下一时刻的输入。在最开始时刻,给定 memory初始值,然后逐次更新memory中的值。  
2.3 基础的RNN结构
基础的RNN结构有两种
- Elman Network
存储的是每个时刻的中间值  - Jordan Network
存储的是上一个时刻的输出 
各种不同的RNN结构 
此外,RNN还可以是双向的 
2.4 RNN的训练
是在BP算法的基础上,损失函数对所有t时刻求和。
我们先来回顾一下BP算法,就是定义损失函数 Loss 来表示输出
y
^
\hat{y}
y^? 和真实标签 y 的误差,通过链式法则自顶向下求得 Loss 对网络权重的偏导。沿梯度的反方向更新权重的值, 直到 Loss 收敛。而这里的 BPTT 算法就是加上了时序演化,后面的两个字母 TT 就是 Through Time。
把所有的损失函数
E
E
E叠加起来,然后分别求对
U
U
U、
V
V
V、
W
W
W的梯度。 
E
E
E对
U
U
U,
V
V
V,
W
W
W的梯度等于每一个
E
1
E_1
E1?,
E
2
E_2
E2?,…,
E
n
E_n
En?对
U
U
U,
V
V
V,
W
W
W的梯度叠加起来。
其中,求E对W的梯度时,由于不同时刻的
s
s
s之间相互依赖,所以,依赖关系会一直传递到
t
=
0
t=0
t=0的时刻,不能够把上一个时刻的
s
s
s看作是常数项。
2.5 梯度消失
由于损失函数是很多个时刻的叠加,整体的损失函数对于参数的偏导的曲面是很不平整的,会出现很多断崖
会出现好几种情况 第一种:1→2→3跳跃到悬崖上 第二种:1→2→4踩到墙脚 第三种:1→2→4→5加大学习率后直接飞出去
   改变w的值就会有使得output的影响变得平缓。
3 长短时记忆网络LSTM
LSTM可以有效解决RNN梯度消失的问题
LSTM和RNN在处理memory cell里面的值的方式不一样: RNN每次都把新的值存到memory cell里面,旧的值被替换; LSTM则用了input gate的计算结果与输入相乘后的值累加到memory cell里面。
3.1 LSTM的结构
事实上LSTM的cell对应一个神经元。
LSTM,即长短时记忆网络,于1997年被Sepp Hochreiter 和Ju?rgen Schmidhuber提出来,LSTM是一种用于深度学习领域的人工循环神经网络(RNN)结构。一个LSTM单元(cell)由输入门、输出门和遗忘门组成,三个门控制信息进出单元。  由一个输入,三个控制信号输入,和一个输出构成。
-
input gate乘以权重,代表当前输入信息的接受权重 -
forget gate打开时代表记得,关闭时代表遗忘 -
output gate乘以权重,代表当前输出信息的认可权重
 LSTM通过门的机制,对状态进行添加或删除,由此实现长时记忆。
3.2 LSTM的例子
对下面这一系列的输入向量,当x2为1时,将x1添加到记忆里;x2为-1时,记忆重设;x3为1时,将记忆里的值输出。  那么下面的图蓝色对应的是记忆中的值,红色对应的是输出值。  对每一个cell,假设有以下场景:
其中,输入门和输出门是常闭的,遗忘门是常开的。(下图中的绿色框是用于乘以权重的输入值)  则对于第一个输入(3,1,0),input gate打开,同时forget gate打开(记住),而output gate关闭,因此3会被存入内存,但不会被输出。  再仔细看一下这个原理
- x2对应的是input gate乘以权重的位置,而input gate是常关的,只有x2为正值时,input gate 会被打开
- x2对应的是forget gate乘以权重的位置,而forget gate是常开的,当x2为负值时,forget gate会被关闭,然后遗忘
- x3对应的是output gate乘以权重的位置,只有当x3有正输入时,output gate才会被打开,才可以输出
3.3 进一步理解LSTM
LSTM需要的参数是一般的四倍    LSTM随着时间是这样变化的 
3.4 代码实现
首先实现一个RNN网络
import torch
from torch import nn
rnn_seq = nn.RNN(5,10,2)
可以随机一个输入
x = torch.randn(6,3,5)
out,ht = rnn_seq(x)
可以看一下out和ht的维度
[IN]: out.shape
[OUT]: torch.Size([10, 3, 100])
[IN]: ht.shape
[OUT]: torch.Size([2, 3, 10])
其中rnn输入含义是
Inputs: input, h_0
- input: tensor of shape :math:
(L, N, H_{in}) when batch_first=False or :math:(N, L, H_{in}) when batch_first=True containing the features of the input sequence. The input can also be a packed variable length sequence. See :func:torch.nn.utils.rnn.pack_padded_sequence or :func:torch.nn.utils.rnn.pack_sequence for details. - h_0: tensor of shape :math:
(D * \text{num\_layers}, N, H_{out}) containing the initial hidden state for each element in the batch. Defaults to zeros if not provided.
输出含义是
Outputs: output, h_n
- output: tensor of shape :math:
(L, N, D * H_{out}) when batch_first=False or :math:(N, L, D * H_{out}) when batch_first=True containing the output features (h_t) from the last layer of the RNN, for each t . If a :class:torch.nn.utils.rnn.PackedSequence has been given as the input, the output will also be a packed sequence. - h_n: tensor of shape :math:
(D * \text{num\_layers}, N, H_{out}) containing the final hidden state for each element in the batch.
同样也可以实现一个LSTM网络
lstm_seq = nn.LSTM(50,100,num_layers=2)
可以随机一个输入
lstm_input = torch.randn(10,3,50)
out,(h, c) = lstm_seq(lstm_input)
其中lstm的输入含义是
input, (h_0, c_0)
- input: tensor of shape :math:
(L, N, H_{in}) when batch_first=False or :math:(N, L, H_{in}) when batch_first=True containing the features of the input sequence. The input can also be a packed variable length sequence. See :func:torch.nn.utils.rnn.pack_padded_sequence or :func:torch.nn.utils.rnn.pack_sequence for details. - h_0: tensor of shape :math:
(D * \text{num\_layers}, N, H_{out}) containing the initial hidden state for each element in the batch. Defaults to zeros if (h_0, c_0) is not provided. - c_0: tensor of shape :math:
(D * \text{num\_layers}, N, H_{cell}) containing the initial cell state for each element in the batch. Defaults to zeros if (h_0, c_0) is not provided.
输出含义是
output, (h_n, c_n)
- output: tensor of shape :math:
(L, N, D * H_{out}) when batch_first=False or :math:(N, L, D * H_{out}) when batch_first=True containing the output features (h_t) from the last layer of the LSTM, for each t . If a :class:torch.nn.utils.rnn.PackedSequence has been given as the input, the output will also be a packed sequence. - h_n: tensor of shape :math:
(D * \text{num\_layers}, N, H_{out}) containing the final hidden state for each element in the batch. - c_n: tensor of shape :math:
(D * \text{num\_layers}, N, H_{cell}) containing the final cell state for each element in the batch.
可以看一下维度
[IN]: out.shape
[OUT]: torch.Size([6, 3, 10])
[IN]: h.shape
[OUT]: torch.Size([2, 3, 100])
[IN]: c.shape
[OUT]: torch.Size([2, 3, 100])
3.5 其他经典的循环神经网络
- Gated Recurrent Unit (GRU)
- Peephole LSTM
- Bi-directional RNN (双向RNN)
- Continuous time RNN(CTRNN)
3.6 循环神经网络的主要应用
- 语言模型:预测、问答
- 自动作曲
- 机器翻译
- 自动写作
- 图像描述
参考阅读
1.Recurrent Neural Network
|