介绍
\quad
文章的主要思路是使用SuperPint的预训练模型,使用旋转矩阵
R
R
R和平移矩阵
t
t
t对SuperPoint进行reinforcement learning, 使其能够估计相机的相对位姿变化。 作者指出对神经网络的训练,SuperPoint在匹配任务上取得了比SIFT更好的效果,但其在根据匹配求解本质矩阵上,效果却不如SIFT,同为深度学习网络的LIFT也存在相同的问题,LIFT特征在三维重建任务中的效果不如SIFT,基于深度学习方法的特征点在底层任务(如匹配)中取得很好效果的同时,在高层任务(如视觉重定位、sfm、SLAM)中的效果却不尽如人意。本文中作者希望通过一个训练pipeline,使得深度学习特征在高层任务中用可以获得很好的效果,本文采用的训练方式是最小化相机的位姿误差(即相机真实位姿变换和根据匹配求解的位姿之间的差值)。
方法描述
\quad
主要目的是求解变化矩阵
T
=
(
R
,
t
)
T=(R,t)
T=(R,t),其中
R
R
R是旋转矩阵,
t
t
t是平移矩阵。记两张待匹配的图像分别为
I
I
I和
I
′
I'
I′,第
i
i
i个2D特征点为
x
i
x_i
xi?,其对应的描述子为
d
(
x
i
)
d(x_i)
d(xi?)。通过对所求出的描述子做最近邻匹配,得到
I
I
I和
I
′
I'
I′之间的暂定匹配对
m
i
j
=
(
x
i
,
x
j
′
)
m_{ij}=(x_i,x_j')
mij?=(xi?,xj′?)。然后使用这些匹配,通过五点法求解本质矩阵,如果该点通过本质矩阵求得的对应点距离极线的距离小于阈值,则认为该点为内点(相当于用对极约束进行判断),选择使内点数最多的本质矩阵作为待使用的本质矩阵
E
E
E,然后求得两帧之间的位姿变换矩阵
T
^
\hat{T}
T^。
\quad
文本采用了SuperPoint,这是一个可以同时训练特征检测器(产生关键点)和描述器(产生描述子)的网络架构。关键点和选取以及特征的匹配是离散、不可微分的操作,因此不能像传统的监督训练一样,将求得的变换矩阵
T
^
\hat{T}
T^反传回来更新网络权重。作者同时指出RANSAC等估计也不是可微的。因此,使用了强化学习的思路来设计损失函数。我们将特征的检测和匹配当成概率事件,假定该事件取决于神经网络的输出。在训练过程中,我们基于神经网络预测的概率分布,采样不同的关键点和匹配实例。我们观察这些特征点和匹配在视觉任务中表现如何,从而调整神经网络的参数,使得网络的输出有尽可能小的损失。

提点
\quad
记特征提取网络针对图片
I
I
I预测出的heat map为
f
(
I
;
w
)
f(I;w)
f(I;w)。特征的具体位置通常选在heat map上局部最大值点,并且通常会用非极大值抑制(NMS)的方法以避免点的过度聚集。为了使得特征点的选取概率化,我们则采用概率分布的思路预测heat map,从而求解特征点的位置
f
(
I
;
w
)
=
P
(
x
;
w
)
f(I;w)=P(x;w)
f(I;w)=P(x;w)。记图像
I
I
I的
N
N
N个特征点集合为
X
=
{
x
i
}
\mathcal{X}=\{{x_i}\}
X={xi?},假设每个特征是否被选取相互独立,则
P
X
;
w
=
∏
i
=
1
N
P
(
x
i
;
w
)
P{\mathcal{X};w}=\prod^N_{i=1}P(x_i;w)
PX;w=i=1∏N?P(xi?;w) 对于图片
I
I
I,满足同样的假设,记图像
I
‘
’
I‘’
I‘’的
N
N
N个特征点集合为
X
‘
’
\mathcal{X‘’}
X‘’,两张图片上特征点的联合概率分布可以记为:
P
(
X
;
X
′
;
w
)
=
P
(
X
;
w
)
P
(
X
′
;
w
)
P(\mathcal{X};\mathcal{X'};w)=P(\mathcal{X};w)P(\mathcal{X'};w)
P(X;X′;w)=P(X;w)P(X′;w) 具体示意可以参照图2左下角。
特征匹配
\quad
记关键点
x
x
x对应的描述子为
d
(
x
;
w
)
d(x;w)
d(x;w),为了记号的简介性,这里用
w
w
w来代表通过特征提取和匹配学习来的参数,记图片
I
I
I和
I
′
I'
I′的一组关键点匹配为
m
i
j
=
(
x
i
,
x
j
′
)
m_{ij}=(x_i,x_j')
mij?=(xi?,xj′?),这里给出
x
i
x_i
xi?和
x
j
′
x_j'
xj′?可以成功匹配上的概率估计:
P
(
m
i
j
∣
X
,
X
′
;
w
)
=
e
x
p
[
?
∣
∣
d
(
x
i
;
w
)
?
d
(
x
j
′
;
w
)
∣
∣
]
∑
m
k
k
′
e
x
p
[
?
∣
∣
d
(
x
k
;
w
)
?
d
(
x
k
′
;
w
)
∣
∣
]
P(m_{ij}|\mathcal{X},\mathcal{X'};w)=\frac{exp[-||d(x_i;w)-d(x_j';w)||]}{\sum_{m_{kk'}}exp[-||d(x_k;w)-d(x_k';w)||]}
P(mij?∣X,X′;w)=∑mkk′??exp[?∣∣d(xk?;w)?d(xk′?;w)∣∣]exp[?∣∣d(xi?;w)?d(xj′?;w)∣∣]? 该分部使用所有可能的匹配对
m
k
k
′
=
(
x
k
,
x
k
′
)
(
其
中
,
x
k
∈
X
,
x
k
′
′
∈
X
′
)
m_{kk'}=(x_k,x_k')(其中,x_k\in \mathcal{X},x'_{k'} \in \mathcal{X'})
mkk′?=(xk?,xk′?)(其中,xk?∈X,xk′′?∈X′)进行归一化。从上式可以得知,越类似的描述子匹配上的概率越高,相对未匹配的描述子,网络会减少匹配描述子之间的距离。记
m
i
j
m_{ij}
mij?的集合为
M
\mathcal{M}
M,关于
M
\mathcal{M}
M的概率分布可以写成:
P
(
M
∣
X
,
X
′
;
w
)
=
∏
m
i
j
∈
M
P
(
m
i
j
∣
X
,
X
′
;
w
)
P(\mathcal{M}|\mathcal{X},\mathcal{X'};w)=\prod_{m_{ij} \in \mathcal{M}}P(m_{ij}|\mathcal{X},\mathcal{X'};w)
P(M∣X,X′;w)=mij?∈M∏?P(mij?∣X,X′;w)
学习策略
\quad
我们学习网络的参数
w
w
w通过监督的方式,假定训练的数据形式是
(
I
,
I
′
,
T
?
)
(I,I',T^*)
(I,I′,T?),其中
T
?
T^*
T?是变换矩阵的真值。这里注意并没有用到关键点位置
X
\mathcal{X}
X和图像匹配
M
\mathcal{M}
M的真值。
\quad
我们将特征匹配之后的处理过程设计成黑盒模型,该模型只有一个输出,损失值
?
(
M
,
X
,
X
′
)
\ell(\mathcal{M},\mathcal{X},\mathcal{X'})
?(M,X,X′),该值取决于挑选出来的特征点
X
\mathcal{X}
X和
X
′
\mathcal{X'}
X′,以及挑选出来的匹配
M
\mathcal{M}
M。减少
?
\ell
?使得其尽可能求得两张图像对应的真实的本质矩阵,进而求得相机的相对位姿变换矩阵
T
^
\hat{T}
T^,
?
\ell
?的本质就是
T
?
T^*
T?和
T
^
\hat{T}
T^的差。我们只需要损失自身,而不需要损失的梯度。
w
w
w的概率分布可以写成:  这里简记
?
(
M
,
X
,
X
′
)
\ell(\mathcal{M},\mathcal{X},\mathcal{X'})
?(M,X,X′)为
?
(
?
)
\ell(\cdot)
?(?)。我们将该期望分解为了特征提取和匹配两部分的乘积。为了避免特征过多,匹配计算量过大,我们使用SuperPoint的预训练模型,这样提取的特征大部分是有效的,可以有效减少无效匹配的计算时间。但这种做法有两个性质:1、特征检测器预测出来的heat map是稀疏的,相对于全体像素,将关键点挑选出来的概率几乎为0。2、不相关特征之间描述子距离很大,对期望几乎不产生影响。 性质1意味着我们可以直接从关键点的heat map中采样,忽略图像的其他位置,性质2表明对于选定的
X
\mathcal{X}
X中的关键点,我们没有必要用
X
′
\mathcal{X'}
X′中每一个关键点与其匹配,可以使用k近邻匹配的策略。
\quad
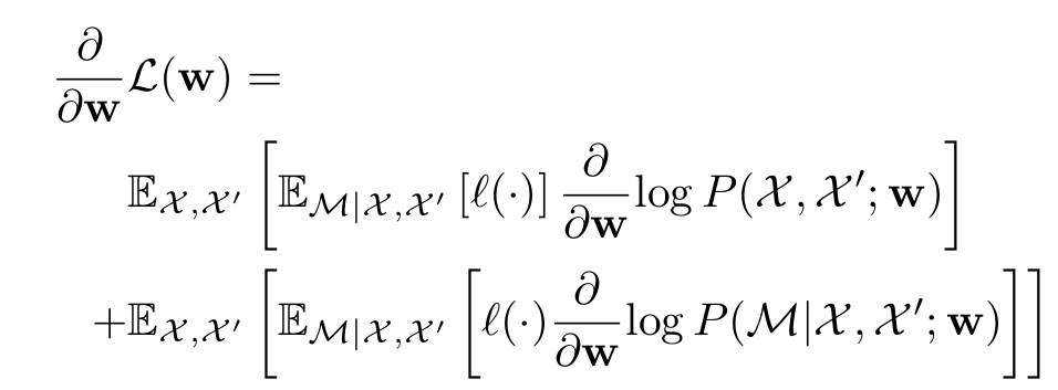
我们使用上式的梯度来更新参数
w
w
w: 
\quad
这里我们只需要计算关键点提取以及特征匹配指数概率的梯度。我们通过采样近似了梯度计算的期望。
实验结果


|