前言
提示:以下是本篇文章正文内容
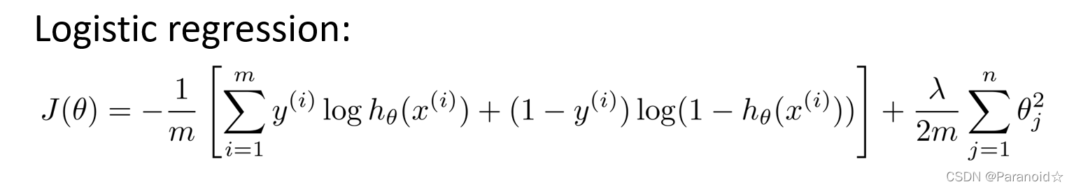
一、代价函数
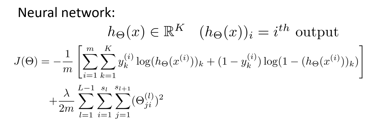
假设神经网络的训练样本有𝑚个,每个包含一组输入𝑥和一组输出信号𝑦, 𝐿表示神经网络层数, 𝑆𝐼表示每层的 neuron 个数(𝑆𝑙表示输出层神经元个数), 𝑆𝐿代表最后一层中处理单元的个数  将神经网络的分类分为两种情况:二类分类和多类分类  二类分类: 𝑆𝐿 = 0, 𝑦 = 0?𝑜𝑟?1表示哪一类; 𝐾类分类: 𝑆𝐿 = 𝑘, 𝑦𝑖 = 1表示分到第 i 类; (𝑘 > 2)
在正则化逻辑回归中,只有一个输出变量,也只有一个因变量𝑦  但是,在神经网络中,输出变量一般很多,假设函数?𝜃(𝑥)是一个维度为𝐾的向量,并且训练集中的因变量也是同维度的一个向量,神经网络中代价函数  注:正则化这项排除了每一层𝜃0后,每一层的𝜃 矩阵的和。最里层的循环𝑗循环所有的行(由𝑠𝑙 +1 层的激活单元数决定),循环𝑖则循环所有的列,由该层( 𝑠𝑙层)的激活单元数所决定
和前面的逻辑回归一样,通过代价函数来观察算法预测的结果与真实值的误差,只是对于每一行特征,都会给出𝐾个预测,基本上可以利用循环,对每一行特征都预测𝐾个不同结果,然后在利用循环在𝐾个预测中选择可能性最高的一个,将其与𝑦中的实际数据进行比较
二、反向传播算法
在计算神经网络预测结果的时候采用了一种正向传播方法,从第一层开始正向一层一层进行计算,直到最后一层的?𝜃(𝑥)
反向传播算法:首先计算最后一层的误差,然后再一层一层反向求出各层的误差,直到倒数第二层(第一层是输入变量,不存在误差) 目的:为了计算代价函数的偏导数,以求得最小的代价函数 
假设训练集只有一个实例(𝑥(1), 𝑦(1)),神经网络是一个四层的神经网络,其中𝐾 = 4, 𝑆𝐿 = 4, 𝐿 = 4  向前传播算法  对于前向传播来说,不管维度多高,其过程都可以用如下公式表示  其中,上标代表层数,星号表示卷积,b表示偏置项bias,σ表示激活函数
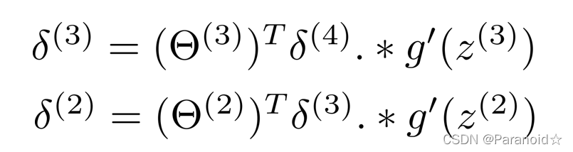
Backpropagation Algorithm:从最后一层的误差开始计算,误差是激活单元的预测( ak(4) )与实际值( 𝑦𝑘)之间的误差,( 𝑘 = 1: 𝑘)
用𝛿来表示误差,则: 𝛿(4) = 𝑎(4) ? 𝑦,利用误差值来计算前一层的误差  其中 𝑔′(𝑧(3))是 𝑆 形函数的导数, 𝑔′(𝑧(3)) = 𝑎(3) ? (1 ? 𝑎(3)),(𝜃(3))𝑇𝛿(4)则是权重导致的误差的和
有了所有的误差的表达式后,便可以计算代价函数的偏导数了,假设𝜆 = 0,即不做任何正则化处理时有 
𝑙 代表目前所计算的是第几层 𝑗 代表目前计算层中的激活单元的下标,也将是下一层的第𝑗个输入变量的下标 𝑖 代表下一层中误差单元的下标,是受到权重矩阵中第𝑖行影响的下一层中的误差单元的下标
考虑正则化处理,并且训练集是一个特征矩阵而非向量,在上面的特殊情况中,需要计算每一层的误差单元来计算代价函数的偏导数,这里同样需要计算每一层的误差单元,但是需要为整个训练集计算误差单元,此时的误差单元也是一个矩阵,我们用𝛥𝑖𝑗(𝑙)来表示这个误差矩阵:第 𝑙 层的第 𝑖 个激活单元受到第 𝑗个参数影响而导致的误差
算法大致过程 (1)首先用正向传播方法计算出每一层的激活单元,利用训练集的结果与神经网络预测的结果求出最后一层的误差,然后利用该误差运用反向传播法计算出直至第二层的所有误差  (2)计算代价函数的偏导数 
三、 梯度检验
总结
提示:这里对文章进行总结:
|