第一章线性回归
1、线性回归问题
 目的:令工资为x1,年龄为x2,标签为y即额度,求出θ1和θ2即可求出方程。
2、误差项定义
  θ0可以使得求得的线或者平面上浮或下降。 θ0没有x0以至于无法凑成矩阵形式。自己构造x0,里面数据都为1,处理完等于本身。  添加完x0之后,就转化成一种矩阵形式。 y(i)是真实值,而θ和x组成的称之为预测值,预测值和真实值之间的称为误差。 希望误差项越小越好。
3、独立同分布

4、极大似然估计
 由于误差服从高斯分布,那个式子里面均值是为0,所以得到第二行的式子。 这个高斯分布是关于误差项的,但是我们要求的是θ,而不是误差,所以转换一下,将一式θx左移,得yi-θxi=误差,而误差满足二式,将其代入后,可得三式。
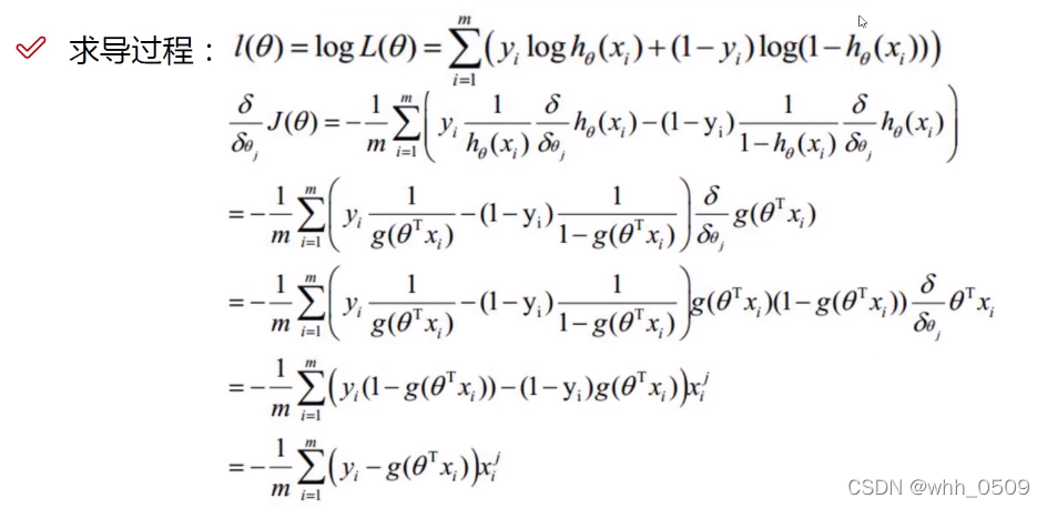
 似然函数不管求L(θ)还是求Log L(θ) ,加个对数是为了方便计算,原来是累乘改成累加,我们要求的是θ,而不是结果值。
 我们要求的只和θ有关,其他都是常数项,log这里我们可以假设以e为底,exp就是e指数的意思,以e为底的log(e的x次方)= x 所以上面的直接落下来。  
5、梯度下降
可以比作是下山问题,首先确定方向,比如下图这个黑点一开始演虚线箭头方向。接下来确定走的步伐,不能走太大,沿此方向走太大,直接摔悬崖了,走完再确定方向,再走。  
6、参数更新方法
x0和x1无关,于是得θ0和θ1必定无关,所以我们可以分别找θ0合适的方向、θ1合适的方向,然后再综合一下往那个方向,找方向就是求偏导的意思。 
 批量梯度下降,求的是所有样本平均的梯度下降,假如m很大 若为100w,更新一次参数,要求100w次结果。 注意看随机梯度下降,直接拿下来,不用求那么多次,但有可能有离群点噪音点。   小批量梯度下降,综合上述两个方法:  有一个batch,这个batch有可能是64,256,等等等等这是个人设置,batch选择越大,说明越精确,但速度越慢。
第五章逻辑回归原理推导
  
   就好比这个5对应上去的0.95,你会说他是属于1这个类别,而不是0这个类别。 sig函数非线性变换函数,通过这个转变,可以将一个值转换成概率。 依赖sigmoid函数:由值到概率的问题
 如上,令Z=θT x
  
第十一章 决策树原理
1、决策树算法概述

|