机器学习的定义
什么是机器学习? 机器学习(Machine Learning):是研究计算机怎样模拟或实现人类的学习行为,以获取新的知识或技能,重新组织已有的知识结构使之不断改善自身的性能。一个程序被认为能从经验E中学习,解决任务 T,达到性能度量值P,当且仅当,有了经验E后,经过P评判, 程序在处理T时的性能有所提升。
监督学习
监督学习(Supervised Learning):对于数据集中每一个样本都有对应的标签,包括回归(regression)和分类(classification); 若我们欲预测的是离散值,例如:“好瓜” “坏瓜”,此类学习任务成为“分类”(classification); 若欲预测的是连续值,例如西瓜成熟度0.95、0.37,此类学习任务成为“回归”(regression)。 对只涉及两个类别的“二分类”(binary classification)任务,通常称其中一个为“正类”(postive class),另一个为“反类”(negative class)。 一般地,预测任务是希望通过对训练集{(x1,y1),(x2,y2),…,(xm,ym}进行学习,建立一个从输入空间x到输出空间y的映射f:x->y。对二分类任务,通常令γ={-1,+1}或{0,1};对多分类任务,|γ|>2;对回归任务,γ=R,R为实数集。
无监督学习
无监督学习(Unsupervised Learning):数据集中没有任何的标签,包括聚类(clustering)。 聚类(clustering),即将训练集中的西瓜分成若干组,每组称为一个“簇”(cluster),例如“浅色瓜”“深色瓜”,“本地瓜”“外地瓜”。
模型描述
模型描述(model representation) 线性回归模型:
 给定训练样本 (xi,yi)其中: i = 1 , 2 , . . . , m, i=1,2,…,m i=1,2,…,m, 表示特征, y 表示输出目标,监督学习算法的工作方式如图所示:  假设函数h(hypothesis):是一个从输入 x到输出 y的映射,假设函数h(hypothesis):
θ
0
\theta_0
θ0?和
θ
1
\theta_1
θ1? ?都是模型参数。
代价函数
代价函数(cost function)
J
(
θ
)
J(θ)
J(θ),通常使用平方误差函数,如下:
J
(
θ
0
,
θ
1
)
=
1
2
m
∑
i
=
1
m
(
h
(
x
i
)
?
y
i
)
2
J(\theta_0,\theta_1)=\frac{1}{2m}\sum_{i=1}^m(h(x^i)-y^i)^2
J(θ0?,θ1?)=2m1?i=1∑m?(h(xi)?yi)2m为训练样本的数量。训练的目标为最小化代价函数,即
m
i
n
m
i
z
e
θ
0
,
θ
1
J
(
θ
0
,
θ
1
)
\underset {\theta_0,\theta_1} {minmize}J(\theta_0,\theta_1)
θ0?,θ1?minmize?J(θ0?,θ1?)
 
梯度下降
梯度下降(gradient descent)可将代价函数J最小化。 代价函数:
J
(
θ
0
,
θ
1
)
J(\theta_0,\theta_1)
J(θ0?,θ1?),可以推广到
J
(
θ
0
,
θ
1
,
θ
2
,
.
.
.
,
θ
n
)
J(\theta_0,\theta_1,\theta_2,...,\theta_n)
J(θ0?,θ1?,θ2?,...,θn?) 目标:
m
i
n
θ
0
,
θ
1
J
(
θ
0
,
θ
1
)
\underset {\theta_0,\theta_1} {min}J(\theta_0,\theta_1)
θ0?,θ1?min?J(θ0?,θ1?) 初始化
θ
0
,
θ
1
\theta_0,\theta_1
θ0?,θ1??, 更新公式:
θ
j
=
θ
j
?
α
?
?
θ
j
J
(
θ
0
,
θ
1
)
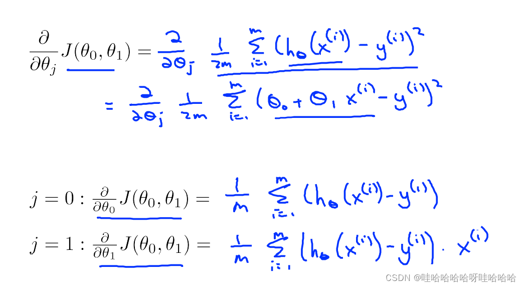
\theta_j=\theta_j-\alpha\frac{\partial}{\partial\theta_j}J(\theta_0,\theta_1)
θj?=θj??α?θj???J(θ0?,θ1?) α为学习速率(learning rate)。
同步更新(simultaneous update)
θ
0
,
θ
1
\theta_0,\theta_1
θ0?,θ1? 
梯度下降总结: 1)如果α太小,梯度下降会变得缓慢;如果α太大,梯度下降可能无法收敛甚至发散。 2)当接近局部最小值时,梯度下降将自动采取较小的步。所以,不需要减小α。 3)梯度下降可以收敛到局部最小,即使学习速度是固定的。
线性回归的梯度下降
 update
θ
0
,
θ
1
\theta_0,\theta_1
θ0?,θ1? ?simultaneously  梯度下降的每一步遍历的所有数据集中的样例,又叫“batch” Gradient Descent Algorithm。 借鉴 原文链接:https://blog.csdn.net/qq_29317617/article/details/86312154
|