通过MindSpore进行线性回归AI训练
Demo1: 对50个离散点进行简单线性函数拟合
from mindspore import context
context.set_context(mode=context.GRAPH_MODE, device_target="CPU")
import numpy as np
import matplotlib.pyplot as plt
from mindspore import dataset as ds
from mindspore.common.initializer import Normal
from mindspore import nn
from mindspore import Tensor
from mindspore import Model
import time
from IPython import display
from mindspore.train.callback import Callback
def get_data(num, w=3.0, b=4.0):
for _ in range(num):
x = np.random.uniform(-10.0, 10.0)
noise = np.random.normal(0, 1)
y = x * w + b + noise
yield np.array([x]).astype(np.float32), np.array([y]).astype(np.float32)
eval_data = list(get_data(50))
x_target_label = np.array([-10, 10, 0.1])
y_target_label = x_target_label * 3 + 4
x_eval_label, y_eval_label = zip(*eval_data)
plt.scatter(x_eval_label, y_eval_label, color="red", s=5)
plt.plot(x_target_label, y_target_label, color="green")
plt.title("Eval data")
plt.show()
def create_dataset(num_data, batch_size=16, repeat_size=1):
input_data = ds.GeneratorDataset(list(get_data(num_data)), column_names=['data', 'label'])
input_data = input_data.batch(batch_size)
input_data = input_data.repeat(repeat_size)
return input_data
data_number = 1600
batch_number = 16
repeat_number = 1
ds_train = create_dataset(data_number, batch_size=batch_number, repeat_size=repeat_number)
print("The dataset size of ds_train:", ds_train.get_dataset_size())
dict_datasets = next(ds_train.create_dict_iterator())
print(dict_datasets.keys())
print("The x label value shape:", dict_datasets["data"].shape)
print("The y label value shape:", dict_datasets["label"].shape)
class LinearNet(nn.Cell):
def __init__(self):
super(LinearNet, self).__init__()
self.fc = nn.Dense(1, 1, Normal(0.02), Normal(0.02))
def construct(self, x):
x = self.fc(x)
return x
net = LinearNet()
model_params = net.trainable_params()
for param in model_params:
print(param, param.asnumpy())
x_model_label = np.array([-10, 10, 0.1])
y_model_label = (x_model_label * Tensor(model_params[0]).asnumpy()[0][0] +
Tensor(model_params[1]).asnumpy()[0])
plt.axis([-10, 10, -20, 25])
plt.scatter(x_eval_label, y_eval_label, color="red", s=5)
plt.plot(x_model_label, y_model_label, color="blue")
plt.plot(x_target_label, y_target_label, color="green")
plt.show()
net = LinearNet()
net_loss = nn.loss.MSELoss()
opt = nn.Momentum(net.trainable_params(), learning_rate=0.005, momentum=0.9)
model = Model(net, net_loss, opt)
def plot_model_and_datasets(net, eval_data):
weight = net.trainable_params()[0]
bias = net.trainable_params()[1]
x = np.arange(-10, 10, 0.1)
y = x * Tensor(weight).asnumpy()[0][0] + Tensor(bias).asnumpy()[0]
x1, y1 = zip(*eval_data)
x_target = x
y_target = x_target * 3 + 4
plt.axis([-11, 11, -20, 25])
plt.scatter(x1, y1, color="red", s=5)
plt.plot(x, y, color="blue")
plt.plot(x_target, y_target, color="green")
plt.draw()
plt.pause(0.1)
plt.close()
class ImageShowCallback(Callback):
def __init__(self, net, eval_data):
self.net = net
self.eval_data = eval_data
def step_end(self, run_context):
plot_model_and_datasets(self.net, self.eval_data)
display.clear_output(wait=True)
epoch = 1
imageshow_cb = ImageShowCallback(net, eval_data)
model.train(epoch, ds_train, callbacks=[imageshow_cb], dataset_sink_mode=False)
plot_model_and_datasets(net, eval_data)
for net_param in net.trainable_params():
print(net_param, net_param.asnumpy())
Answer1:  可以看到通过训练,蓝色的线性函数不断逼近绿色的目标函数, 模型初始化参数为:  训练后返回的参数为:  与目标函数
y
=
x
?
w
+
b
y = x ·w + b
y=x?w+b 参数
w
=
3
,
b
=
4
w=3, b=4
w=3,b=4 非常接近。
Demo2: 将训练对象修改为输入100组测试数据,拟合线性函数
y
=
2
?
x
+
3
y=2·x+3
y=2?x+3
def get_data(num, w=2.0, b=3.0):
for _ in range(num):
x = np.random.uniform(-10.0, 10.0)
eval_data = list(get_data(100))
x_target_label = np.array([-10, 10, 0.1])
y_target_label = x_target_label * 2 + 3
x_eval_label, y_eval_label = zip(*eval_data)
def plot_model_and_datasets(net, eval_data):
weight = net.trainable_params()[0]
bias = net.trainable_params()[1]
x = np.arange(-10, 10, 0.1)
y = x * Tensor(weight).asnumpy()[0][0] + Tensor(bias).asnumpy()[0]
x1, y1 = zip(*eval_data)
x_target = x
y_target = x_target * 2 + 3
训练后返回的参数为:  仍可得到不错的拟合效果。
Demo3: 二次函数曲线拟合
from mindspore import context
context.set_context(mode=context.GRAPH_MODE, device_target="CPU")
import numpy as np
import matplotlib.pyplot as plt
from mindspore import dataset as ds
from mindspore.common.initializer import Normal
from mindspore import nn
from mindspore import Tensor
from mindspore import Model
import time
from mindspore.train.callback import LossMonitor
def get_data(num, w=2.0, b=4.0, c=3.0):
for _ in range(num):
x = np.random.uniform(-1, 1)
noise = np.random.normal(0, 1)
y = w * x ** 2 + b * x + c + noise
yield np.array([x**2,x]).astype(np.float32), np.array([y]).astype(np.float32)
def get_data2(num, w=2.0, b=4.0, c=3.0):
for _ in range(num):
x = np.random.uniform(-10.0, 10.0)
noise = np.random.normal(0, 1)
y = w * x ** 2 + b * x + c + noise
yield np.array([x]).astype(np.float32), np.array([y]).astype(np.float32)
def create_dataset(num_data, batch_size=16, repeat_size=1):
input_data = ds.GeneratorDataset(list(get_data(num_data)), column_names=['x','y'])
input_data = input_data.batch(batch_size)
input_data = input_data.repeat(repeat_size)
return input_data
data_number = 1600
batch_number = 16
repeat_number = 2
ds_train = create_dataset(data_number, batch_size=batch_number, repeat_size=repeat_number)
dict_datasets = next(ds_train.create_dict_iterator())
class LinearNet(nn.Cell):
def __init__(self):
super(LinearNet, self).__init__()
self.fc = nn.Dense(2, 1, 0.02, 0.02)
def construct(self, x):
x = self.fc(x)
return x
eval_data = list(get_data(200))
eval_data2 = list(get_data2(200))
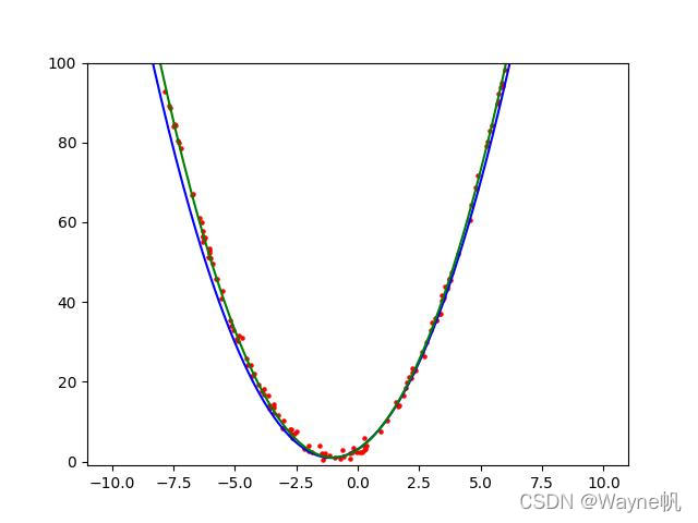
def plot_model_and_datasets(net, eval_data):
weight = net.trainable_params()[0]
bias = net.trainable_params()[1]
x = np.arange(-10, 10, 0.1)
y = x*x*Tensor(weight).asnumpy()[0][0] +x * Tensor(weight).asnumpy()[0][1]+ Tensor(bias).asnumpy()[0]
x_eval_label, y_eval_label = zip(*eval_data2)
x_target = x
y_target = 2*x_target*x_target +4*x_target+3
np.linspace(start = 0, stop = 100, num = 5)
plt.axis([-11, 11, -1, 100])
plt.scatter(x_eval_label, y_eval_label, color="red", s=5)
plt.plot(x, y, color="blue")
plt.plot(x_target, y_target, color="green")
plt.show()
time.sleep(0.2)
net = LinearNet()
model_params = net.trainable_params()
print ('Param Shape is: {}'.format(len(model_params)))
for net_param in net.trainable_params():
print(net_param, net_param.asnumpy())
net_loss = nn.loss.MSELoss()
optim = nn.Momentum(net.trainable_params(), learning_rate=0.005, momentum=0.9)
model = Model(net, net_loss, optim)
epoch = 1
model.train(epoch, ds_train, callbacks=[LossMonitor(8)], dataset_sink_mode=False)
for net_param in net.trainable_params():
print(net_param, net_param.asnumpy())
plot_model_and_datasets(net, eval_data)
Answer3: 目标函数为
y
=
2
?
x
2
+
4
x
+
3
y = 2·x^2+4x+3
y=2?x2+4x+3, 
返回参数为:  Demo4: 对于较小的数据量,另一种简便的方法是利用ployfit 多项式拟合,数据量较大的话需要分段进行拟合后再拼接。
import matplotlib.pyplot as plt
import numpy as np
x = np.linspace(start = -10, stop = 10, num = 200)
noise = np.random.normal(0, 1)
y = y = 2 * x ** 2 + 4 * x + 3 + noise
z1 = np.polyfit(x, y, 100)
p1 = np.poly1d(z1)
print(p1)
yvals=p1(x)
plot1=plt.plot(x, y, '*',label='original values')
plot2=plt.plot(x, yvals, 'r',label='polyfit values')
plt.axis([-11, 11, -1, 100])
plt.legend(loc=4)
plt.title('polyfitting')
plt.show()
Answer4: 
Tips:
- 调试过程中发现的两个小bug——用MindSpore进行拟合时,
x*x*Tensor(weight).asnumpy()[0][0] 这种平方项无法用(x**2)*Tensor(weight).asnumpy()[0][0] 替代,否则只能拟合从0开始的正半轴部分; - 在Demo3拟合的过程中
x = np.random.uniform(-1, 1) 理论上画出的散点图只有一小段,但改成x = np.random.uniform(-10, 10) 后训练返回的参数都是Nan.
参考文档: 简单线性函数拟合 基于MindSpore实现二次函数的拟合
|