关于泰勒级数的一些理解
对于泰勒级数,其实大部分时候都不是很了解它其中的含义,怎么来的,其实大部分人都不是很清楚。(包括作者 )
泰勒级数最多应用其实在计算机科学上,因为对于很多函数,我们不可能直接带值求解,比如
f
(
x
)
=
e
x
f(x)=e^x
f(x)=ex,比如我带个2进去,你最多只能求得它的近似值,而且计算量还很大,而且还不是很精确,那么有人就想了,能不能用一个近似的函数,或者换句话说尽可能的去逼近这个函数的一个带有x的多项式呢,因为这样的话,比如说一个多项式
f
(
x
)
=
x
+
x
2
+
x
3
f(x)=x+x^2+x^3
f(x)=x+x2+x3你带一个2进去就可以算得一个比较精确的值13对吧。怎么去逼近呢。 先把公式摆出来再解释。
f
(
x
)
=
∑
i
=
0
∞
f
′
(
i
)
(
x
0
)
(
x
?
x
0
)
i
i
!
f(x)=\sum_{i=0}^{\infty }\frac{{f'^{(i)}(x_0)(x-x_0)^i}}{i!}
f(x)=i=0∑∞?i!f′(i)(x0?)(x?x0?)i?
我们先对分子着部分进行解释,可以看到这里是关于高阶求导的一个式子,其实我们可以看到,当i等于0的时候,式子就变成了
f
(
x
0
)
f(x_0)
f(x0?),也就是可以这么理解,这个函数其实是从原函数
x
0
x_0
x0?时开始逼近,,那么我们就以
x
0
x_0
x0?为起点看一看怎么逼近的,首先我们得设一个
Δ
x
\Delta x
Δx,这个
Δ
x
→
0
\Delta x \rightarrow 0
Δx→0那么我们就可以通过导函数算出来
f
(
x
0
+
Δ
x
)
=
f
′
(
x
0
)
?
(
Δ
x
)
+
f
(
x
0
)
f(x_0+\Delta x)=f'(x_0)*(\Delta x)+f(x_0)
f(x0?+Δx)=f′(x0?)?(Δx)+f(x0?)因为
Δ
x
→
0
\Delta x \rightarrow 0
Δx→0,根据
ε
?
δ
\varepsilon-\delta
ε?δ极限的定义,这一等式显然成立,那么实际上知道了
f
(
x
+
Δ
x
)
f(x+\Delta x)
f(x+Δx)那么实际上也可以通过同样的道理求出
f
(
x
+
2
Δ
x
)
f(x+2\Delta x)
f(x+2Δx),然后自己尝试着只用
x
0
和
x
x_0和x
x0?和x进行表示,那么我们就可以得到上面分子的部分,但这里会存在误差,这也是接下来要讲的。
观察这个公式,我们可以看到,当这个式子展开的时候,其实这个式子正走向越来越高阶的导数函数(趋向于高阶无穷小),(不太严谨的说法),这其实稍微理解一下也可以知道,对于一个有规律的函数,就例如幂函数,
s
i
n
x
,
c
o
s
x
sinx,cosx
sinx,cosx其实都可以表达成类似这样的形式。
f
(
x
)
=
a
0
+
a
1
x
+
a
2
x
2
+
a
3
x
3
+
.
.
.
+
a
N
x
N
f(x)=a_0+a_1x+a_2x^2+a_3x^3+...+a_Nx^N
f(x)=a0?+a1?x+a2?x2+a3?x3+...+aN?xN
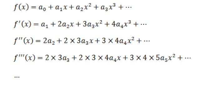
那我们对于这个函数进行一个求导。
进行连续的几次求导  图片来源(戳这里)
可以发现和原函数相比是不是多出了
i
!
i!
i!这个数,那么我们就要除去。
那这不就可以高高兴兴的去求
f
(
x
)
=
e
x
f(x)=e^x
f(x)=ex
很明显这个无论是几阶导数都不就是
f
′
n
=
e
x
f'^{n}=e^x
f′n=ex
然后让上式的
x
0
=
0
x_0=0
x0?=0,把泰勒公式往里套,那不就是
f
(
x
)
=
∑
i
=
0
∞
x
i
i
!
f(x)=\sum_{i=0}^{\infty }\frac{x^i}{i!}
f(x)=i=0∑∞?i!xi?
展开后的式子大家就很熟悉了。
f
(
x
)
=
1
+
x
+
x
2
2
!
+
x
3
3
!
.
.
.
+
x
N
N
!
f(x)=1+x+\frac{x^2}{2!}+\frac{x^3}{3!}...+\frac{x^N}{N!}
f(x)=1+x+2!x2?+3!x3?...+N!xN?
 很明显(bushi) 这里可以看到是从x=0开始逼近的(理论上,看到图片我也尴尬了)。
|