|
我们将建立一个逻辑回归模型来预测一个学生是否被大学录取。假设你是一个大学系的管理员,你想根据两次考试的结果来决定每个申请人的录取机会。你有以前的申请人的历史数据,你可以用它作为逻辑回归的训练集。 这里我们有一个LogiReg_data.txt文件数据: 
对于每一个培训例子,你有两个考试的申请人的分数和录取决定。为了做到这一点,我们将建立一个分类模型,根据考试成绩估计入学概率。
先导入数据分析三大件:
import numpy as np
import pandas as pd
import matplotlib.pyplot as plt
%matplotlib inline
导入数据,设置表头,‘Exam 1’,和’Exam 2’,表示两科成绩,'Admitted’表示是否被录取,读取表格前五条数据看一下效果:
import os
path = 'data' + os.sep + 'LogiReg_data.txt'
pdData = pd.read_csv(path, header=None, names=['Exam 1', 'Exam 2', 'Admitted'])
pdData.head()
 看一下我们数据的规模:  可以看出一共是100条数据,有3列特征。
我们可以绘图看一下Admitted是0还是1在图像上的分布情况:
positive = pdData[pdData['Admitted'] == 1]
negative = pdData[pdData['Admitted'] == 0]
fig, ax = plt.subplots(figsize=(10,5))
ax.scatter(positive['Exam 1'], positive['Exam 2'], s=30, c='b', marker='o', label='Admitted')
ax.scatter(negative['Exam 1'], negative['Exam 2'], s=30, c='r', marker='x', label='Not Admitted')
ax.legend()
ax.set_xlabel('Exam 1 Score')
ax.set_ylabel('Exam 2 Score')
 可以清晰的看出录取和未被录取的大致分布,针对这两种分布,我们应该可以试着画出一条决策边界将两类分开,接下来就开始用到逻辑回归算法了。
首先我们应该明确一下我们的目标:建立分类器(求解出三个参数 𝜃0,𝜃1,𝜃2,分布代表’Exam 1’, ‘Exam 2’, 'Admitted’这三个特征值 ),然后就要考虑设定阈值,根据阈值判断录取结果,我们这里一般用0.5,大于0.5就被录取,小于0.5就是未被录取。
我们要完成的模块:
-
sigmoid : 映射到概率的函数 -
model : 返回预测结果值 -
cost : 根据参数计算损失 -
gradient : 计算每个参数的梯度方向 -
descent : 进行参数更新 -
accuracy: 计算精度
1. 映射到概率的函数sigmoid
 代码实现:
def sigmoid(z):
return 1 / (1 + np.exp(-z))
还记得它长什么样吗?我们画一下看看:
nums = np.arange(-10, 10, step=1)
fig, ax = plt.subplots(figsize=(12,4))
ax.plot(nums, sigmoid(nums), 'r')
 可以明显看到: 𝑔:?→[0,1] 𝑔(0)=0.5 𝑔(?∞)=0 𝑔(+∞)=1
2. 返回预测结果值model函数
接下来我们完成预测函数model, 
我们这里就是:  为啥x1,x2上面是1呢?还记得我们在线性回归算法原理推导 中提到在进行数值计算时,为了使得整体能用矩阵的形式表达,即便没有x0项也可以手动添加, 只需要在数据中加入一列x0并且使其值全部为1即可,结果不变。
model函数代码实现:
def model(X, theta):
return sigmoid(np.dot(X, theta.T))
接下来
pdData.insert(0, 'Ones', 1) # 新加一列全为1的值,列名指定Ones
orig_data = pdData.values # DataFrame转换成数组
cols = orig_data.shape[1]
X = orig_data[:,0:cols-1]
y = orig_data[:,cols-1:cols]
#构造theta占位,通常用0填充,1行3列
theta = np.zeros([1, 3])
我们接下来看一下数据有没有问题:  可以看到数据并没有问题,符合我们的预期。
3. 计算损失值cost
到这里数据算是已经准备完成,接下来我们就要根据参数计算损失,首先定义损失函数: 
 损失函数代码:
def cost(X, y, theta):
left = np.multiply(-y, np.log(model(X, theta)))
right = np.multiply(1 - y, np.log(1 - model(X, theta)))
return np.sum(left - right) / (len(X))
写完了损失函数,我们调用一下看看损失值:  我们现在也不用管这个损失值是大了还是小了,只要知道我们是能算出来的,公式是好用的就🆗了。
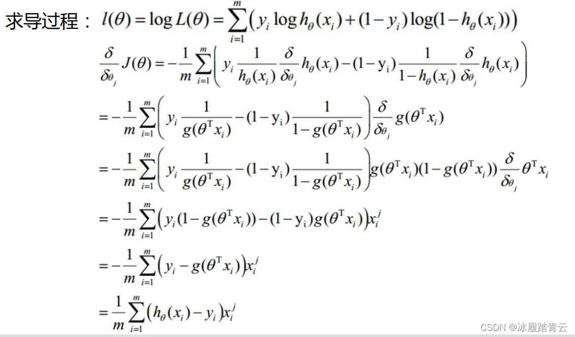
4. 计算梯度gradient
再接着我们就该计算梯度了,之前我们在逻辑回归那里,费了好大的劲才求出偏导: 
据此写出梯度计算函数:
def gradient(X, y, theta):
grad = np.zeros(theta.shape)
error = (model(X, theta)- y).ravel()
for j in range(len(theta.ravel())):
term = np.multiply(error, X[:,j])
grad[0, j] = np.sum(term) / len(X)
return grad
按迭代次数,损失值,梯度,接下来我们可以据此得出3种不同梯度下降方法:
STOP_ITER = 0
STOP_COST = 1
STOP_GRAD = 2
def stopCriterion(type, value, threshold):
#设定三种不同的停止策略
if type == STOP_ITER: return value > threshold
elif type == STOP_COST: return abs(value[-1]-value[-2]) < threshold
elif type == STOP_GRAD: return np.linalg.norm(value) < threshold
5. 进行参数更新
当我们进行迭代更新的时候,为了使模型泛化,我们会试着打乱数据即洗牌:
import numpy.random
#洗牌
def shuffleData(data):
np.random.shuffle(data)
cols = data.shape[1]
X = data[:, 0:cols-1]
y = data[:, cols-1:]
return X, y
接着求解梯度下降:
import time
def descent(data, theta, batchSize, stopType, thresh, alpha):
#梯度下降求解
init_time = time.time()
i = 0 # 迭代次数
k = 0 # batch
X, y = shuffleData(data)
grad = np.zeros(theta.shape) # 计算的梯度
costs = [cost(X, y, theta)] # 损失值
while True:
grad = gradient(X[k:k+batchSize], y[k:k+batchSize], theta)
k += batchSize #取batch数量个数据
if k >= n:
k = 0
X, y = shuffleData(data) #重新洗牌
theta = theta - alpha*grad # 参数更新
costs.append(cost(X, y, theta)) # 计算新的损失
i += 1
if stopType == STOP_ITER: value = i
elif stopType == STOP_COST: value = costs
elif stopType == STOP_GRAD: value = grad
if stopCriterion(stopType, value, thresh): break
return theta, i-1, costs, grad, time.time() - init_time
再写个绘图函数:
def runExpe(data, theta, batchSize, stopType, thresh, alpha):
theta, iter, costs, grad, dur = descent(data, theta, batchSize, stopType, thresh, alpha)
name = "Original" if (data[:,1]>2).sum() > 1 else "Scaled"
name += " data - learning rate: {} - ".format(alpha)
if batchSize==n: strDescType = "Gradient"
elif batchSize==1: strDescType = "Stochastic"
else: strDescType = "Mini-batch ({})".format(batchSize)
name += strDescType + " descent - Stop: "
if stopType == STOP_ITER: strStop = "{} iterations".format(thresh)
elif stopType == STOP_COST: strStop = "costs change < {}".format(thresh)
else: strStop = "gradient norm < {}".format(thresh)
name += strStop
print ("***{}\nTheta: {} - Iter: {} - Last cost: {:03.2f} - Duration: {:03.2f}s".format(
name, theta, iter, costs[-1], dur))
fig, ax = plt.subplots(figsize=(12,4))
ax.plot(np.arange(len(costs)), costs, 'r')
ax.set_xlabel('Iterations')
ax.set_ylabel('Cost')
ax.set_title(name.upper() + ' - Error vs. Iteration')
return theta
- 根据迭代次数停止
#我们的样本一共就100条,如果我们让n=100,那说明我们选择的梯度下降方法是基于所有样本的
n=100
runExpe(orig_data, theta, n, STOP_ITER, thresh=5000, alpha=0.000001) # 迭代5000次
 2. 根据损失值停止
设定阈值 1E-6, 差不多需要110 000次迭代,
runExpe(orig_data, theta, n, STOP_COST, thresh=0.000001, alpha=0.001)
 上一种策略5000次迭代收敛到大概0.63,而这次根据损失值停止策略方法将其收敛到0.35-0.40之间,可见这种迭代策略比上一种更优。
- 根据梯度变化停止
设定阈值 0.05,差不多需要40 000次迭代。
runExpe(orig_data, theta, n, STOP_GRAD, thresh=0.05, alpha=0.001)

上面三种我们对比的是停止策略,下面我们对比不同的梯度下降方法:
runExpe(orig_data, theta, 1, STOP_ITER, thresh=5000, alpha=0.001) # 每次迭代一个样本
 看着很不稳定,我们试试把学习率调小一些:
runExpe(orig_data, theta, 1, STOP_ITER, thresh=15000, alpha=0.000002)
 可以看到速度快,但稳定性差,需要很小的学习率。
- 小批量梯度下降(Mini-batch descent)
runExpe(orig_data, theta, 16, STOP_ITER, thresh=15000, alpha=0.001)
 浮动仍然比较大,我们这次不再调学习率,换一种方法,我们来尝试下对数据进行标准化将数据按其属性(按列进行)减去其均值,然后除以其方差。最后得到的结果是,对每个属性/每列来说所有数据都聚集在0附近,方差值为1:
from sklearn import preprocessing as pp
scaled_data = orig_data.copy()
scaled_data[:, 1:3] = pp.scale(orig_data[:, 1:3])
runExpe(scaled_data, theta, n, STOP_ITER, thresh=5000, alpha=0.001)
 这样就好多了,原始数据只能达到0.63,而我们达到了0.38这里! 所以对数据做预处理是非常重要的。
runExpe(scaled_data, theta, n, STOP_GRAD, thresh=0.02, alpha=0.001)
 更多的迭代次数会使得损失下降的更多!
theta = runExpe(scaled_data, theta, 1, STOP_GRAD, thresh=0.002/5, alpha=0.001)
 随机梯度下降更快,但是我们需要迭代的次数也需要更多,所以还是用batch的比较合适!!!
runExpe(scaled_data, theta, 16, STOP_GRAD, thresh=0.002*2, alpha=0.001)

6. 计算精度
我们最后再算一下精度,先设定预测值大于0.5就是被录取,反之未被录取,
#设定阈值
def predict(X, theta):
return [1 if x >= 0.5 else 0 for x in model(X, theta)]
计算精度:
scaled_X = scaled_data[:, :3]
y = scaled_data[:, 3]
predictions = predict(scaled_X, theta)
correct = [1 if ((a == 1 and b == 1) or (a == 0 and b == 0)) else 0 for (a, b) in zip(predictions, y)]
accuracy = (sum(map(int, correct)) % len(correct))
print ('accuracy = {0}%'.format(accuracy))
 我们通过我们的梯度下降和逻辑回归算法计算出精度是89%。
小结:
机器学习中两大核心算法:线性回归与逻辑回归,分别应用于回归与分类任务中。在求解过程中,机器学习的核心思想就是优化求解,不断寻找最合适的参数,梯度下降算法也由此而生。在实际训练模型时,还需考虑各种参数对结果的影响,在后续实战案例中,这些都需要通过实验来进行调节。在原理推导过程中,涉及很多细小知识点,这些并不是某一个算法所特有的,在后续的算法学习过程中还会看到它们的影子,慢慢大家就会发现机器学习中的各种套路了。
|