总结
习题
第 141 题
假设你的训练样本是句子(单词序列),下面哪个选项指的是第i个训练样本中的第j个词?
A.
x
(
i
)
<
j
>
x^{(i)<j>}
x(i)<j> B.
x
<
i
>
(
j
)
x^{<i>(j)}
x<i>(j) C.
x
(
j
)
<
i
>
x^{(j)<i>}
x(j)<i> D.
x
<
j
>
(
i
)
x^{<j>(i)}
x<j>(i)
第 142 题
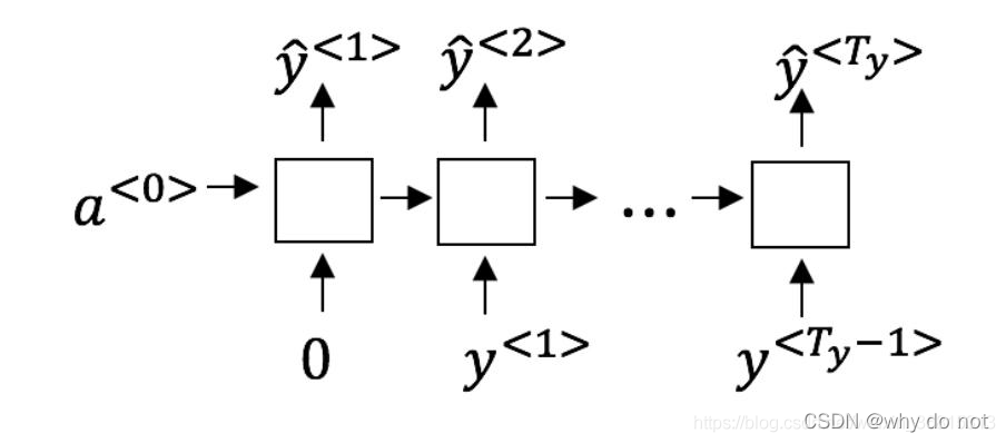
看一下下面的这个循环神经网络:  在下面的条件中,满足上图中的网络结构的参数是:
A.
T
x
=
T
y
T_x=T_y
Tx?=Ty?
B.
T
x
<
T
y
T_x<T_y
Tx?<Ty?
C.
T
x
>
T
y
T_x>T_y
Tx?>Ty?
D.
T
x
=
1
T_x=1
Tx?=1
第 143 题
这些任务中的哪一个会使用多对一的RNN体系结构?  A.语音识别(输入语音,输出文本)
B.情感分类(输入一段文字,输出0或1表示正面或者负面的情绪)
C.图像分类(输入一张图片,输出对应的标签)
D.人声性别识别(输入语音,输出说话人的性别)
第 144 题
假设你现在正在训练下面这个RNN的语言模型:  在
t
t
t时,这个RNN在做什么?
A.计算
P
(
y
<
1
>
,
y
<
2
>
,
…
,
y
<
t
?
1
>
)
P(y^{<1>},y^{<2>},…,y^{<t-1>})
P(y<1>,y<2>,…,y<t?1>) B.计算
P
(
y
<
t
>
)
P(y^{<t>})
P(y<t>) C.计算
P
(
y
<
t
>
∣
y
<
1
>
,
y
<
2
>
,
…
,
y
<
t
?
1
>
)
P(y^{<t>}∣y^{<1>},y^{<2>},…,y^{<t-1>})
P(y<t>∣y<1>,y<2>,…,y<t?1>) D.计算
P
(
y
<
t
>
∣
y
<
1
>
,
y
<
2
>
,
…
,
y
<
t
>
)
P(y^{<t>}∣y^{<1>},y^{<2>},…,y^{<t>})
P(y<t>∣y<1>,y<2>,…,y<t>)
第 145 题
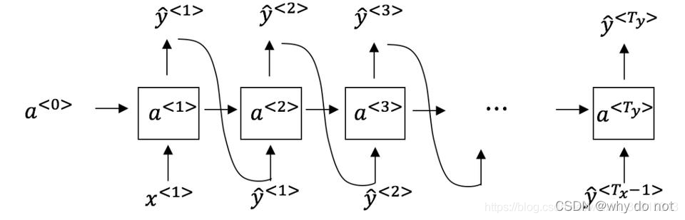
你已经完成了一个语言模型RNN的训练,并用它来对句子进行随机取样,如下图:  在每个时间步
t
t
t 都在做什么?
A.(1)使用RNN输出的概率,选择该时间步的最高概率单词作为
y
^
<
t
>
\hat{y}^{<t>}
y^?<t>,(2)然后将训练集中的正确的单词传递到下一个时间步
B.(1)使用由RNN输出的概率将该时间步的所选单词进行随机采样作为
y
^
<
t
>
\hat{y}^{<t>}
y^?<t>,(2)然后将训练集中的实际单词传递到下一个时间步
C.(1)使用由RNN输出的概率来选择该时间步的最高概率词作为
y
^
<
t
>
\hat{y}^{<t>}
y^?<t>,(2)然后将该选择的词传递给下一个时间步
D.(1)使用RNN该时间步输出的概率对单词随机抽样的结果作为
y
^
<
t
>
\hat{y}^{<t>}
y^?<t>,(2)然后将此选定单词传递给下一个时间步
第 146 题
你正在训练一个RNN网络,你发现你的权重与激活值都是“NaN”,下列选项中,哪一个是导致这个问题的最有可能的原因?
A.梯度消失
B.梯度爆炸
C.ReLU函数作为激活函数g(.),在计算g(z)时,z的数值过大了
D.Sigmoid函数作为激活函数g(.),在计算g(z)时,z的数值过大了
第 147 题
假设你正在训练一个LSTM网络,你有一个10,000词的词汇表,并且使用一个激活值维度为100的LSTM块,在每一个时间步中,
Γ
u
\Gamma_u
Γu? 的维度是多少?
A.1
B.100
C.300
D.10000
第 148 题
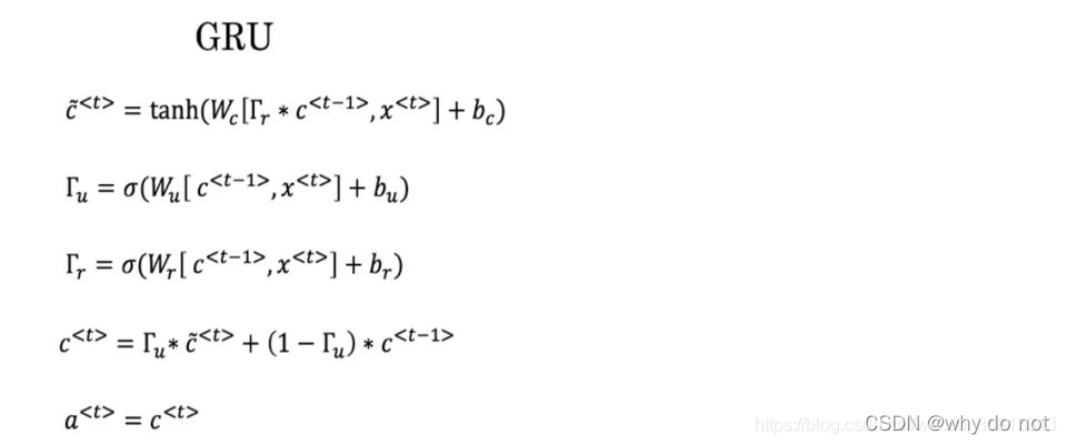
这里有一些GRU的更新方程:  爱丽丝建议通过移除
Γ
u
\Gamma_u
Γu?来简化GRU,即设置
Γ
u
=
1
\Gamma_u=1
Γu?=1。贝蒂提出通过移除
Γ
r
\Gamma_r
Γr? 来简化GRU,即设置
Γ
r
=
1
\Gamma_r=1
Γr?=1。哪种模型更容易在梯度不消失问题的情况下训练,即使在很长的输入序列上也可以进行训练?
A.爱丽丝的模型(即移除
Γ
u
\Gamma_u
Γu? ),因为对于一个时间步而言,如果
Γ
r
≈
0
\Gamma_r\approx0
Γr?≈0,梯度可以通过时间步反向传播而不会衰减。
B.爱丽丝的模型(即移除
Γ
u
\Gamma_u
Γu? ),因为对于一个时间步而言,如果
Γ
r
≈
1
\Gamma_r\approx1
Γr?≈1,梯度可以通过时间步反向传播而不会衰减。
C.贝蒂的模型(即移除
Γ
r
\Gamma_r
Γr? ),因为对于一个时间步而言,如果
Γ
u
≈
0
\Gamma_u\approx0
Γu?≈0,梯度可以通过时间步反向传播而不会衰减。
D.贝蒂的模型(即移除
Γ
r
\Gamma_r
Γr? ),因为对于一个时间步而言,如果
Γ
u
≈
1
\Gamma_u\approx1
Γu?≈1,梯度可以通过时间步反向传播而不会衰减。
第 149 题
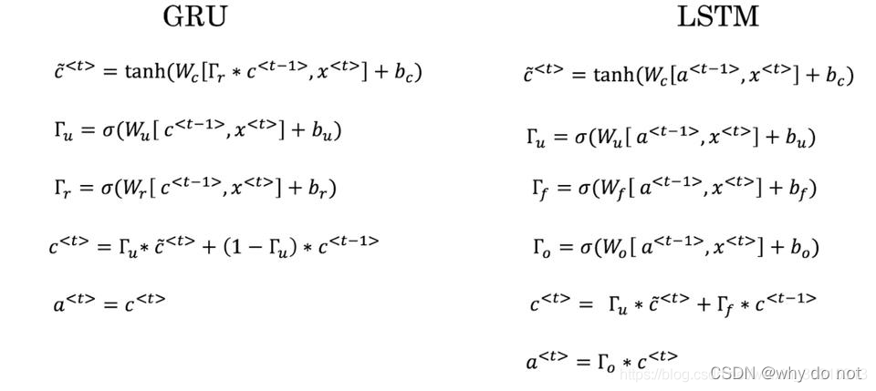
这里有一些GRU和LSTM的方程:  从这些我们可以看到,在LSTM中的更新门和遗忘门在GRU中扮演类似___与___的角色,空白处应该填什么?
A.
Γ
u
\Gamma_u
Γu? 与
1
?
Γ
u
1-\Gamma_u
1?Γu? B.
Γ
u
\Gamma_u
Γu? 与
Γ
r
\Gamma_r
Γr? C.
1
?
Γ
u
1-\Gamma_u
1?Γu? 与
Γ
u
\Gamma_u
Γu? D.
Γ
r
\Gamma_r
Γr? 与
Γ
u
\Gamma_u
Γu?
第 150 题
你有一只宠物狗,它的心情很大程度上取决于当前和过去几天的天气。你已经收集了过去365天的天气数据
x
<
1
>
,
?
?
,
x
<
365
>
x^{<1>},\cdots,x^{<365>}
x<1>,?,x<365>,这些数据是一个序列,你还收集了你的狗心情的数据
y
<
1
>
,
?
?
,
y
<
365
>
y^{<1>},\cdots,y^{<365>}
y<1>,?,y<365>,你想建立一个模型来从x到y进行映射,你应该使用单向RNN还是双向RNN来解决这个问题?
A.双向RNN,因为在
t
t
t 日的情绪预测中可以考虑到更多的信息。
B.双向RNN,因为这允许反向传播计算中有更精确的梯度。
C.单向RNN,因为y的值仅依赖于
x
<
1
>
,
…
,
x
x^{< 1 >} ,…,x
x<1>,…,x ,而不依赖于
x
,
…
,
x
<
365
>
x ,…,x^{<365>}
x,…,x<365>
D.单向RNN,因为y的值只取决于
x
x
x,而不是其他天的天气。
141-150题 答案
141.A 142.A 143.BD 144.C 145.D 146.B 147.B 148.C 149.A 150.C
|