一、神经网络的前向传播原理
在全连接神经网络中,每一层的每个神经元都会与前一层的所有神经元或者输入数据相连,例如图中的
f
1
(
e
)
f _1 ( e )
f1?(e)就与
x
1
x_1
x1? 和
x
2
x_2
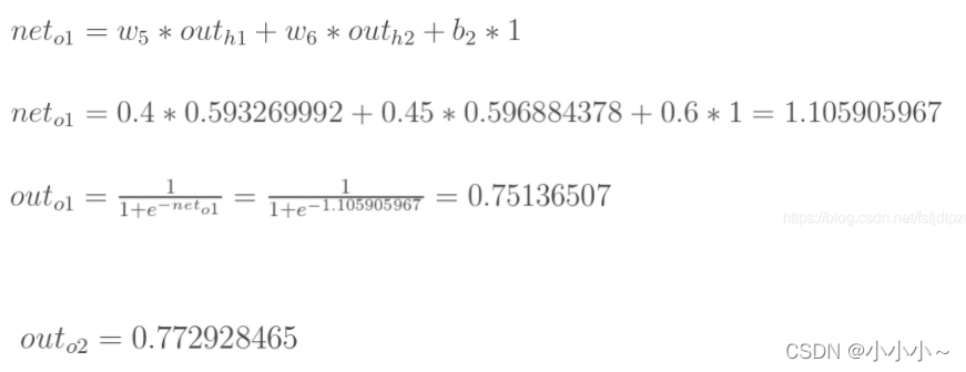
x2? 分别相连。因此,在计算的时候,每一个神经元的输出=使用激活函数激活前一层函数的累加和。  下面将通过一个具体例子来理解反向传播的具体流程。下图是一个神经网络的结构图,其中: 输入数据:i1=0.05,i2=0.10 ;权重系数:w1=0.15,w2=0.20,w3=0.25,w4=0.30,w5=0.40,w6=0.45,- w7=0.50,w8=0.55 ;隐藏层神经元:h1,h2 ;输出层神经元:o1,o2 ;偏置项(bias):b1=0.35,b2=0.60 ;激活函数:sigmoid 目标:给出输入数据i1, i2(0.05和0.10),使输出尽可能与原始输出o1,o2(0.01和0.99)接近。 
输入层——>隐藏层 计算神经元h1的加权和
n
e
t
h
1
n e t_{h 1}
neth1?(未经激活函数激活):  计算h1的输出
o
u
t
h
1
out_{h1}
outh1?(激活后): 
同理可以计算出h2的输出
o
u
t
h
2
out_{h2}
outh2?  同理可以计算出隐藏层——>输出层  至此前向传播就结束了,我们得到的输出结果是
[
o
u
t
o
1
=
0.75136079
,
o
u
t
o
2
=
0.772928465
]
[out_{o1} =0.75136079 ,out_{o2}=0.772928465]
[outo1?=0.75136079,outo2?=0.772928465], 与目标的[0.01, 0.99]还差的很远。因此,有必要计算误差,更新权重,使预测值接近真实值。
二、神经网络的反向传播原理
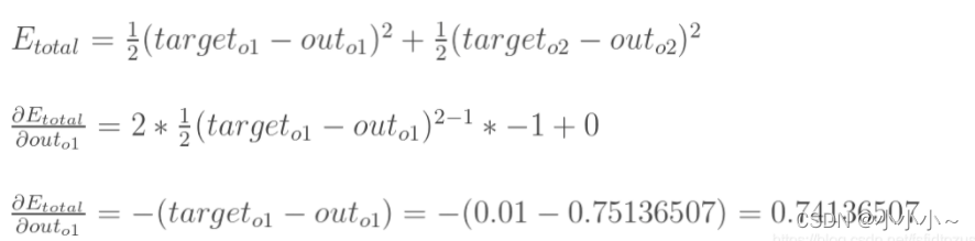
Step2 更新输出层权重 由于隐藏层需要将相连接的多个神经元的权重求和,因此为了方便理解,这里先从一个神经元的输出层开始讲解。 1.计算误差 在我们的神经网络中,有两个输出,因此计算误差的时候需要把这两个输出的误差求和。这里计算总误差时,我们采用输出与期望的误差的平方和,即mse的计算方法来计算。 计算误差公式:
 根据此公式,输出1、输出2、总误差的计算如下所示:  2.更新权重 更新权重时,我们需要知道这个权重对全体产生了多少影响,这个影响的大小可以用偏导数求出来。 例:对于输出层权重w5,我们可以用整体的误差对w5求偏导
下图展示了如何使用链式法则来进行反向传播的:  可以先想象以下有这样的一个函数。
y
=
f
a
(
f
b
(
w
0
,
w
1
)
)
y = f a ( f b ( w 0 , w 1 ) )
y=fa(fb(w0,w1)),在这个函数中,由于是函数的嵌套,没法直接对
w
0
w 0
w0求偏导。想要对
w
0
w 0
w0求偏导的话,需要先用整个函数对外层的
f
a
f_a
fa?求偏导,然后在使用
f
a
f_a
fa?对
f
b
(
w
0
,
w
1
)
f_b(w_0, w_1)
fb?(w0?,w1?)求偏导。链式法则就是针对这种函数嵌套问题的一种解决方法。(可以理解为套娃,想要求得最里面的偏导数就要一层一层拆开这种感觉。 针对图中的神经元,可以将其想象为以下的嵌套方式
(
n
e
t
o
1
(
w
5
,
w
6
,
w
7
)
)
(net_{o1}(w5,w6,w7))
(neto1?(w5,w6,w7)),因此为了求得w5对整体误差的影响,需要先用整体误差对
o
u
t
o
1
out_{o1}
outo1? 求偏导,再用
o
u
t
o
1
out_{o1}
outo1? 对
n
e
t
o
1
net_{o1}
neto1? 求偏导,最后使用
o
u
t
o
1
out_{o1}
outo1?对w5求偏导。 了解了链式法则后,来实际看看使用链式法则对w5来进行求偏导的过程。 具体求解如下: 计算误差公式
?
E
t
o
t
a
l
/
?
o
u
t
o
1
? E_{total}/?out_{o1}
?Etotal?/?outo1?   这一步相当于是对激活函数sigmoid求导  最后三项相乘得到最终的w5的偏导: 
 在反向传播中,我们通常使用
δ
δ
δ来表示误差,因此输出层o1的误差可以表现为
δ
o
1
δ_{o1}
δo1?,可以表示为如下形式: 
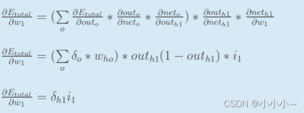
因此对于计算w5对整体误差的影响的公式:  可以表示为:  如果误差为负数,也可以表示成:  根据上面的计算式,来更新w5的权重:  其中η是学习率,这里取0.5,同理更新w6,w7,w8:  Step3 更新隐藏层权重 更新隐藏层的方法,与更新输出层的权重系数的方法类似,但是有一点需要注意。 在更新输出层权重系数w5的时候,我们使用链式法则,通过out(o1)→net(o1)→w5求出。注意!此时神经元o1的求导路径只有一条! 在更新隐藏层权重系数w1,使用链式法则时,通过out(h1)→net(h1)→w1求出,如下:  注意!这个时候神经元o1的求导路径有2条(如蓝色箭头所示)! 因此,计算的时候,需要计算这两个地方传来的误差,并求和:  先计算第一部分的误差:  同理可以计算第二部分:  两者相加计算出总误差:  再计算数
?
o
u
t
h
1
?
n
e
t
h
1
\frac{\partial out_{h1}}{\partial net_{h1}}
?neth1??outh1?? 计算第3部分的偏导数
?
n
e
t
h
1
?
w
1
\frac{\partial net_{h1}}{\partial w_{1}}
?w1??neth1?? : 
三者相乘,计算h1节点对w1的偏导数
?
E
t
o
t
a
l
?
w
1
\frac{\partial E_{total}}{\partial w_{1}}
?w1??Etotal??  至此,就计算出了神经元h1的误差。 将上面的计算步骤整理,可得如下公式:  其中,累加符号表示将不同路径的误差相加,此时的路径有两条(图中的两个蓝色箭头)。同时,将计算输出层的误差时说到,计算时使用δ δδ来表示误差,这里的
δ
h
1
δ_{h1}
δh1?代表神经元h1的误差。得到了神经元h1的误差,就可以根据之前的权重系数以及误差来更新权重系数了。更新h1的权重系数: 
至此,1个神经元的权重系数的更新就完成了。其中的η \etaη代表学习率,通常在程序中指定,可以理解为梯度下降法中的步长。 同理,更新w2,w3,w4的权重系数:  至此,反向传播就结束了。将这个过程不断重复,就可以不断减小误差,提高正确率,获得比较好的模型了。 感谢博主的知识共享: 原文链接:https://blog.csdn.net/fsfjdtpzus/article/details/106256925
|