|
参考链接:
神经网络学习小记录64——Pytorch 图像处理中注意力机制的解析与代码详解_Bubbliiiing的博客-CSDN博客_pytorch图像自注意力机制? 图像处理注意力机制Attention汇总(附代码) - 知乎
一、通道注意力、空间注意力
通道注意力:其实根据代码来看,就是得到一个权重,然后和特征图相乘,赋予权重
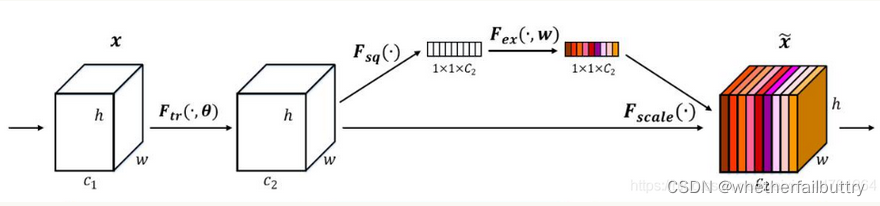
二、通道注意力机制:SENET为例

1.对输入进来的特征进行平均池化,有3个特征图,即channel=3,那么池化输出就是三个数,一张特征图得到一个值,resize为.view(b,c)batch和channel
2.然后对得到的平均池化值经过两个全连接层,在最后的全连接层输出为channel数,保证全连接输出的通道与原始数据一样,.view(b,c,1,1),最后经过一个sigmoid得到权重
3.原始为(b,c,w,h),权重为(b,c,1,1)因此直接相乘赋予权重,最终输出
import torch
import torch.nn as nn
import math
class se_block(nn.Module):
def __init__(self, channel, ratio=16):
super(se_block, self).__init__()
self.avg_pool = nn.AdaptiveAvgPool2d(1)
self.fc = nn.Sequential(
nn.Linear(channel, channel // ratio, bias=False),
nn.ReLU(inplace=True),
nn.Linear(channel // ratio, channel, bias=False),
nn.Sigmoid()
)
def forward(self, x):
b, c, _, _ = x.size()
y = self.avg_pool(x).view(b, c)
y = self.fc(y).view(b, c, 1, 1)
return x * y
二、通道和空间结合:以CBAM为例
?
?
1.通道注意力:实现方法和SENET不同,对特征图分别进行平均池化和最大池化,然后经过共享的全连接层,得到两个输出,当然通道都和原始数据一样,然后二者相加,经过sigmoid得到权重,最后和特征图进行相乘,赋予权重。
2.空间注意力机制:假如得到通道为5的特征图,分别对应每一个特征点,取其通道上的最大值和平均值,得到两个特征图,然后将两个特征图concatenate起来得到(n,2,w,h),然后经过一个卷积改变通道数为1(不是1*11卷积,应该是padding了,大小不变),然后经过sigmoid,得到权值,最后和原始的特征图进行权值相乘
from torch import nn
import torch
class ChannelAttention(nn.Module):
def __init__(self, in_planes, ratio=8):
super(ChannelAttention, self).__init__()
self.avg_pool = nn.AdaptiveAvgPool2d(1)
self.max_pool = nn.AdaptiveMaxPool2d(1)
# 利用1x1卷积代替全连接
self.fc1 = nn.Conv2d(in_planes, in_planes // ratio, 1, bias=False)
self.relu1 = nn.ReLU()
self.fc2 = nn.Conv2d(in_planes // ratio, in_planes, 1, bias=False)
self.sigmoid = nn.Sigmoid()
def forward(self, x):
avg_out = self.fc2(self.relu1(self.fc1(self.avg_pool(x))))
max_out = self.fc2(self.relu1(self.fc1(self.max_pool(x))))
out = avg_out + max_out
return self.sigmoid(out)
class SpatialAttention(nn.Module):
def __init__(self, kernel_size=7):
super(SpatialAttention, self).__init__()
assert kernel_size in (3, 7), 'kernel size must be 3 or 7'
padding = 3 if kernel_size == 7 else 1
self.conv1 = nn.Conv2d(2, 1, kernel_size, padding=padding, bias=False)
self.sigmoid = nn.Sigmoid()
def forward(self, x):
avg_out = torch.mean(x, dim=1, keepdim=True)
max_out, _ = torch.max(x, dim=1, keepdim=True)
x = torch.cat([avg_out, max_out], dim=1)
x = self.conv1(x)
return self.sigmoid(x)
class cbam_block(nn.Module):
def __init__(self, channel, ratio=8, kernel_size=7):
super(cbam_block, self).__init__()
self.channelattention = ChannelAttention(channel, ratio=ratio)
self.spatialattention = SpatialAttention(kernel_size=kernel_size)
def forward(self, x):
x = x * self.channelattention(x)
x = x * self.spatialattention(x)
return x
|