一、GBDT梯度提升决策树的概念
GBDT算法是是有boosting思想和决策树组成的,是一个由多个弱学习器组成的集成学习。GBDT算法的每一个弱学习器模型的建立是为了消除上一次的残差(使用函数空间梯度下降的方法)
注意:残差是通过损失的出来的,学习率shrinkage 得用

二、GBDT应用于回归(残差、负梯度、回归树)
1、回归树

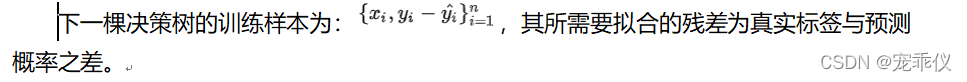
2、每棵树训练的真实值是负梯度(残差)

3、GBDT应用于回归问题的总体流程

4、GBDT应用于回归问题总结
? ?
?三、应用GBDT做二分类任务
1、原理
分类模型的预测y_hat??
其中 就是学习到的决策树 (弱学习器)
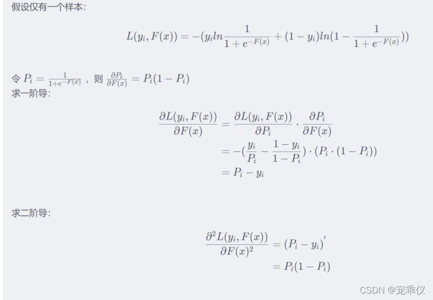
使用逻辑回归作为二分类任务的base model
则单个样本的损失函数为

?
?2、GBDT应用于二分类算法流程总结

注意:? 这个负梯度的是传给下一时刻的预期值的
?
?
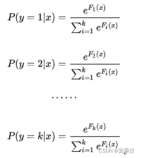
?四、GBDT做多分类任务
1、原理
使用softmax作为base model
每个样本属于每个类别的概率


?
五、GBDT用于回归、二分类、多分类任务的相同点和不同点:
1、相同点:
? ? ? ? ? ? ?都是使用残差拟合下一棵树,使用了回归树
? ? ? ? ? ? ?分裂指标都是mse
2、不同点:
-
?使用损失函数的不同 -
叶子节点分值计算不同 -
初始值的方式不同
六、叶子节点分值计算

?
1、回归的叶子节点分值是求平均
2、二分类的叶子节点分支

?于是我们所得到叶子分值的近似值?

?
?
3、多分类的叶子节点分支

七、特征选择

?
?
八、特征组合降维在GBDT+LR架构上的应用
1、架构图
?

2、流程
2.1 训练
- 训练好GBDT用作二分类的强学习器
- 把GBDT训练好的模型的特征进行编码
- 训练lr模型
2.2 预测
- 新的数据进入gbdt获取到特征编码(one-hot)
- 把特征编码后的进行逻辑回归预测
?
|