🥰WELCOME🥰
🔥🔥🔥欢迎来到
K??J
的空间🔥🔥🔥
💞💞💞本文主要讲解线激光扫描三维成像的算法实现原理💤,基于这篇文章介绍🗺?,期待你对此类三维重建方法有一个清晰的认识~💯!💞💞💞 >
💞💞💞专栏更新中~💞💞💞
🤩写在前面🤩
- 通过三维测量方法获取目标物体表面三维数据,本文将介绍
线激光扫描三维成像原理~ - 笔记主要是关于自己在
线激光扫描三维测量领域的一些认识,介绍了相关的实现原理和算法。 - 笔记由两部分内容构成:
原理介绍和算法介绍
🕛 人的才能像挂钟一样,如果停止了摆动,就要落后了~🕛
🤩博客内容🤩
?线激光扫描三维测量-简介?
线激光扫描三维测量:相机和激光器安置在移动平台一侧,目标物体放置在移动平台上并随移动平台一起运动,激光器投射线激光到目标物体表面,受目标物体表面高度的调制发生形变,相机采集形变的线激光条纹,在实现系统标定后,经过计算机处理形变线激光条纹得到目标物体表面的三维点云数据。 
?线激光扫描三维测量-装置?
如上图,单线激光扫描三维测量需要一个相机、一个激光器和一个一维移动平台,常见的单线激光扫描三维测量装置如下: 
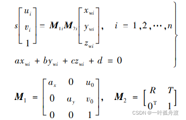
?线激光扫描三维测量-原理?
联立相机成像模型和激光光平面方程得到线激光扫描三维测量的数学模型。  根据上述三维测量模型,我们能通过二维像素坐标点的值,求解其在三维空间中对应的世界坐标值
?线激光扫描三维测量-工作?
根据线激光扫描三维测量的原理,我们若是想实现二维图像到三维空间的转换,需要进行系统的标定工作。 标定工作有三部分:
?相机标定?
相机标定一般是使用靶标实现,常见的靶标有二维棋盘格标定板和三维的立体靶标。 靶标的制作要求为:
- 靶标特征点明显,易提取(便于提取特征点,求解像素坐标)
- 靶标的特征点位置信息已知(世界坐标已知)
标定算法
实现平台
- Halcon
- OpenCV
- Matlab标定工具箱
- 其他
实现步骤
- 由于篇幅原因标定过程的算法原理、操作步骤以及代码实现在本专栏其他博文中详细描述
?光平面标定?
标定算法
- 求解光平面方程,根据数学原理:平面上不共线的三点确定这个平面
实现平台
实现步骤
- 由于篇幅原因标定过程的算法原理、操作步骤以及代码实现在本专栏其他博文中详细描述
?传送带标定?
标定算法
- 目标物体表面扫描额能获得数条形变激光条纹,单次采集处理能获得目标表面单条轮廓的三维信息,将所有激光条处理完后,根据一定排列方式进行组合获得目标表面完成三维信息,传送带标定就是计算相邻两条激光条纹的位移
实现平台
实现步骤
- 由于篇幅原因标定过程的算法原理、操作步骤以及代码实现在本专栏其他博文中详细描述
?专栏内容?
- 线激光扫描三维成像原理
- 靶标特征点提取等算法的代码实现
- 各种相机标定算法原理及代码实现
- 各种激光条纹中心线提取算法原理及代码实现
- 项目中涉及的图像处理算法的代码实现
- 案例的代码实现
- 项目中设计QT界面
- 项目中常见问题分析
- 拓展:多视角三维成像及其他三维成像原理及案例和代码实现
- 其他
- 由于篇幅原因上述实现在本专栏其他博文中详细描述
🤩写在后面🤩
🥰SEE YOU LATER🥰
🔥🔥🔥期待再次来到
K??J
的空间🔥🔥🔥
💞💞💞下方有作者的🐧联系方式🐧哦~💞💞💞
🕛 乐观是一首激昂优美的进行曲,时刻鼓舞着你向事业的大路勇猛前进!🕛
|