|
我们在既往文章《手把手教你使用R语言做LASSO 回归》中介绍了glmnet包进行lasso回归,后台不少粉丝发信息向我问到分类变量处理的问题,我后面查了一下资料之前文章分类变量没有处理,非常抱歉。现在来重新聊一聊分类变量的处理。 我们导入glmnet包的时候可以看到,还需要导入一个Matrix包,说明这个矩阵包很重要  按照glmnet包的原文如下:  就是告诉我们,除了Cox Model外,其他的表达都支持矩阵形式,在Cox Model的介绍中, 函数样式为   说明我们应该把其他变量变为矩阵的形式。这样说得不是很明白,下面我们来举个例子说明,继续使用我们的乳腺癌数据(公众号回复:乳腺癌,可以获得数据)我们先导入数据和R包
library(glmnet)
library(foreign)
library("survival")
bc <- read.spss("E:/r/Breast cancer survival agec.sav",
use.value.labels=F, to.data.frame=T)
bc <- na.omit(bc)
 我们先来看看数据: age表示年龄,pathsize表示病理肿瘤大小(厘米),lnpos表示腋窝淋巴结阳性,histgrad表示病理组织学等级,er表示雌激素受体状态,pr表示孕激素受体状态,status结局事件是否死亡,pathscat表示病理肿瘤大小类别(分组变量),ln_yesno表示是否有淋巴结肿大,time是生存时间,后面的agec是我们自己设定的,不用管它。  接下来删除缺失变量和把分类变量转成因子
bc$er<-as.factor(bc$er)
bc$pr<-as.factor(bc$pr)
bc$ln_yesno<-as.factor(bc$ln_yesno)
bc$histgrad<-as.factor(bc$histgrad)
bc$pathscat<-as.factor(bc$pathscat)
我们先来进行一个lasso的cox模型 glmnet包只能接受矩阵形式的数据,我们要分别进行转换 先把结局和时间提取出来
y<-bc$status
time<-bc$time
把id,结局变量,时间变量和一个乱七八糟的变量删掉
data1<-bc[,-c(1,8,11,12)]
把分类变量变成哑变量矩阵形式
model_mat <-model.matrix(~ +er+pr+ln_yesno+histgrad+pathscat-1,data1)
重新组成数据,也就是我们需要的x
x<-as.matrix(data.frame(age=data1$age,
pathsize=data1$pathsize,lnpos=data1$lnpos,model_mat))
 弄好x就可以进行分析了,交叉验证最好设一个种子,
set.seed(123)
cv.fit <- cv.glmnet(x,Surv(time,y),family="cox", maxit = 1000)
plot(cv.fit)
 maxit = 1000是让它迭代100次的意思,如果迭代没到1000次,可能会出现一次报错,这在官方说明里面也有讲到,但我用两种方法算了一遍,结果都是一样的,没有错  下图是官方说明  有兴趣的可以试一下这样算,结果也是一样的,但也要先设一个种子
set.seed(123)
cv.fit1<- cv.glmnet(x,Surv(time,y),family="cox", alpha=1,nfolds=10)
plot(cv.fit1)
 取最小值,也都是一样的
cv.fit$lambda.min
cv.fit1$lambda.min

fit <- glmnet(x, Surv(time,y), family = "cox", maxit = 1000)
plot(fit)
 查看和提取系数
Coefficients <- coef(fit, s = cv.fit$lambda.min)
Active.Index <- which(Coefficients != 0)
Active.Coefficients <- Coefficients[Active.Index]
Active.Index
Active.Coefficients
 上图标出了最后还剩下的变量(指的是它的位置)和变量的系数,自己对照x看一下就可以了。值得一提的是我看到官方的示例cox模型只取最小的lambda,这样大家就不用这么纠结了,还有一个是它没有预测功能,不能进行预测。 下面来进行Binomial Models,也就是我们的二分类变量模型,其实就是不用时间变量就行了,其他都差不多,继续拿乳腺癌数据演示,懒得找数据了,上一篇文章就是拿乳腺癌来模拟二分类数据的(当时没找到好的数据)。
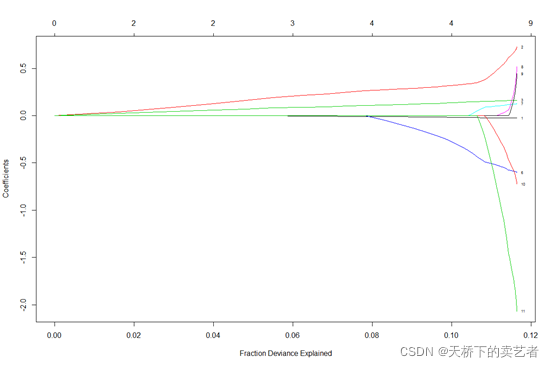
fit1 = glmnet(x, y, family = "binomial")
plot(fit1, xvar = "dev", label = TRUE)
 换成lambda
plot(fit1, xvar="lambda", label=TRUE)
 其实到了这里基本和上一篇差不多了
set.seed(999)
cvfit=cv.glmnet(x,y, family = "binomial")
plot(cvfit)
 求出最小值
cvfit$lambda.min
cvfit$lambda.1se
 求出系数
coef1<-coef(cvfit, s = "lambda.min")
coef2<-coef(cvfit, s = "lambda.1se")
coef1
coef2
  有一个已经被怼没有了,只能选coef1了。OK,文章到这里已经演示完毕,觉得有用的话多多分享哟。
|