背景
CRF和HMM是有相似性的,最后都是使用Verterbi算法来进行最优状态转移序列的确定。CRF主要用与序列的标注问题。 本质:通过1D卷机学习近邻信息,然后输入到CRF定义好的计算方式中
CRF原理理解
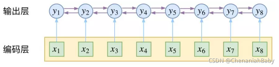
下图表示我们的序列连接与预测。  CRF是进行了假设,一共两个假设,如下: 
 在上述表示中
h
(
y
1
;
x
)
h(y_1;\bm{x})
h(y1?;x)的相邻位置为
g
(
y
1
,
y
2
;
x
)
g(y_1,y_2;\bm{x})
g(y1?,y2?;x)。 尽管已经做了大量简化,但一般来说,(3) 式所表示的概率模型还是过于复杂,难以求解。于是考虑到当前深度学习模型中,RNN 或者层叠 CNN 等模型已经能够比较充分捕捉各个 y 与输出 x 的联系,因此,我们不妨考虑函数 g 跟 x 无关,那么: 
引入时间序列模型(RNN做卷积),
x
\bm{x}
x与
y
y
y之间的关系直接用
y
y
y
y
y
y去考虑。 这时候
g
g
g 实际上就是一个有限的、待训练的参数矩阵而已,而单标签的打分函数
h
(
y
i
;
x
)
。
h(y_i;\bm{x})。
h(yi?;x)。 我们可以通过 RNN 或者 CNN 来建模。因此,该模型是可以建立的,其中概率分布变为: 
算法步骤
重点:相比于HMM,要进行模型训练。HMM直接打标签了,这里对每个句子中的词通过0,1,2,3,4打了标签。
具体步骤
卷积层:通过一维卷积得到邻域信息。 CRF层:训练概率转移矩阵
4
×
4
4\times4
4×4(B,M,E,S), 概率矩阵被初始化得到。之后通过与ground true的lable相乘计算得到。 预测层:计算概率转移矩阵
4
×
4
4\times4
4×4(B,M,E,S),总共16个值,这一步在代码分析中,是通过网路计算出来的, 在CRF自定义的网络层。 结果层:模型训练完成之后再通过verterbi算法找最优解。
代码理解
分子的计算
def path_score(self, inputs, labels):
"""计算目标路径的相对概率(还没有归一化)
要点:逐标签得分,加上转移概率得分。
技巧:用“预测”点乘“目标”的方法抽取出目标路径的得分。
"""
point_score = K.sum(K.sum(inputs * labels, 2), 1, keepdims=True)
labels1 = K.expand_dims(labels[:, :-1], 3)
labels2 = K.expand_dims(labels[:, 1:], 2)
labels = labels1 * labels2
trans = K.expand_dims(K.expand_dims(self.trans, 0), 0)
trans_score = K.sum(K.sum(trans * labels, [2, 3]), 1, keepdims=True)
return point_score + trans_score
这里计算的主要是公式一下部分, 后边部分的k是包含在求和符号里面的,上半部分为下半部分中的大括号里里面的。
h
(
?
)
h(\cdot)
h(?)表示是前面的网络层。 
分母的计算

outputs = K.logsumexp(states + trans, 1)
这个包含了,公式的右半部分的两个元素的对应乘积。  
这里注意一下,这两个指数的相乘在代码中,
Z
Z
Z利用rnn的递归特性进行求解。
def log_norm_step(self, inputs, states):
"""递归计算归一化因子
要点:1、递归计算;2、用logsumexp避免溢出。
技巧:通过expand_dims来对齐张量。
inputs is predictive label, input is h
init_states (128, 4)
"""
inputs, mask = inputs[:, :-1], inputs[:, -1:]
states = K.expand_dims(states[0], 2)
trans = K.expand_dims(self.trans, 0)
outputs = K.logsumexp(states + trans, 1)
outputs = outputs + inputs
outputs = mask * outputs + (1 - mask) * states[:, :, 0]
print("states[:,:,0].shape",states[:,:,0].shape)
return outputs, [outputs]
内容链接
https://www.cnblogs.com/gczr/p/10021249.html https://www.jiqizhixin.com/articles/2018-05-23-3 (CRF实现附带链接) https://blog.csdn.net/dianwei0041/article/details/101882673?utm_medium=distribute.pc_relevant.none-task-blog-2%7Edefault%7EBlogCommendFromMachineLearnPai2%7Edefault-2.control&depth_1-utm_source=distribute.pc_relevant.none-task-blog-2%7Edefault%7EBlogCommendFromMachineLearnPai2%7Edefault-2.control(为什么要用CRF) https://zhuanlan.zhihu.com/p/29989121
|