MediaProjection是什么 ?
MediaProjection指的是一个令牌,这个令牌授权应用一个能力:去捕捉屏幕内容和系统声音 ?* A token granting applications the ability to capture screen contents and/or * record system audio. The exact capabilities granted depend on the type of * MediaProjection.
MediaProjection本身并没有太多关于audio/vedio的操作,主要功能是个授权。
MediaProjectionManager:管理MediaProjection令牌的创建等
Manages the retrieval of certain types of MediaProjection?tokens.
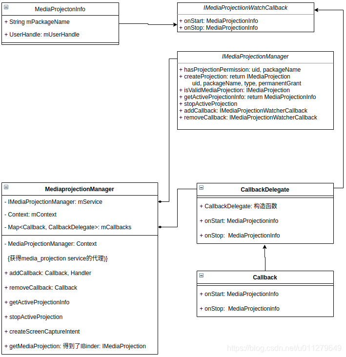
Client 侧代码
SystemService怎样和Client 关联的
SystemService怎样和Client 关联的, getSystemService的返回值怎么就是MediaProjection??MediaProjection并没有实现IMediaProjectonManger接口啊。
MediaProjectionManager mProjectionManager = (MediaProjectionManager) getSystemService(Context.MEDIA_PROJECTION_SERVICE);
在SystemServiceRegistry.java中进行了关联
frameworks/base/core/java/android/app/SystemServiceRegistry.java registerService(Context.MEDIA_PROJECTION_SERVICE, MediaProjectionManager.class, ? ? ? ? new CachedServiceFetcher<MediaProjectionManager>() { ? ? @Override ? ? public MediaProjectionManager createService(ContextImpl ctx) { ? ? ? ? return new MediaProjectionManager(ctx); ? ? }});
client端代码结构
frameworks/base/media/java/android/media/projection
├── IMediaProjection.aidl ├── IMediaProjectionCallback.aidl ├── IMediaProjectionManager.aidl ├── IMediaProjectionWatcherCallback.aidl ├── MediaProjectionInfo.aidl ├── MediaProjectionInfo.java (表示谁去申请token, 或者说申请MediaProjection token的是谁) ├── MediaProjection.java ├── MediaProjectionManager.java
MadiaProjection.java
MediaProjection.java 成员变量是IMediaProjecton 接口类和 IMediaProjectionCallback 因为start是创建MediaProjection是调用的,还没有实例对象所以不能使用registerCallback 去注册,这也说明为什么IMedaiProjectionCallback只有一个成员onStop; 用户有可能多次调用registerCallback 比如一个audio, 一个vedio, 这样也形成了Map, 每个callback 在哪里执行又关联到Handler.
得到token后,这里有个有关VirtualDisplay.

?
MediaProjectionManager
它是和 systemService关联的 client 类,封装了IMedaProjectionMangaer接口类和Callback, 又重新组合了下IMediaProjectionManager更抽象,更方便使用

?
常规的使用MediaProjection的方法
1. 首先得到MediaProjectionManager
MediaProjectionManager mProjectionManager =(MediaProjectionManager) getSystemService(Context.MEDIA_PROJECTION_SERVICE);
2.启动MediaProjectionPermissionActivity,且当改Activity结束时得到Intent
startActivityForResult(mProjectionManager.createScreenCaptureIntent(), REQUEST_CODE);
/**
* Returns an Intent that must be passed to startActivityForResult()
* in order to start screen capture. The activity will prompt
* the user whether to allow screen capture. ?The result of this
* activity should be passed to getMediaProjection.
*/
public Intent createScreenCaptureIntent() {
? ? ? ? Intent i = new Intent();
? ? ? ? final ComponentName mediaProjectionPermissionDialogComponent =
? ? ? ? ? ? ? ? ComponentName.unflattenFromString(
????????????????????????mContext.getResources().getString(
? ? ? ? ? ? ? ? ? ? ? ? com.android.internal.R.string
? ? ? ? ? ? ? ? ? ? ? ? .config_mediaProjectionPermissionDialogComponent));
? ? ? ? i.setComponent(mediaProjectionPermissionDialogComponent);
? ? ? ? return i;
}
3. MediaProjectionPermissionActivity去请求了MediaProjection
frameworks/base/packages/SystemUI/src/com/android/systemui/media/MediaProjectionPermissionActivity.java
MediaProjectionPermissionActivity
public class MediaProjectionPermissionActivity extends Activity
? ? ? ? implements DialogInterface.OnClickListener, DialogInterface.OnCancelListener {
? ? private String mPackageName;
? ? private int mUid;
? ? private IMediaProjectionManager mService;
? ? public void onCreate(Bundle icicle) {
? ? ? ? super.onCreate(icicle);
? ? ? ? mPackageName = getCallingPackage();
? ? ? ? IBinder b = ServiceManager.getService(MEDIA_PROJECTION_SERVICE);
? ? ? ? mService = IMediaProjectionManager.Stub.asInterface(b);
? ? ? ? PackageManager packageManager = getPackageManager();
? ? ? ? ApplicationInfo aInfo;
? ? ? ? try {
? ? ? ? ? ? aInfo = packageManager.getApplicationInfo(mPackageName, 0);
? ? ? ? ? ? mUid = aInfo.uid;
? ? ? ? }
? ? ? ? try { //mUid, mPackageName已经有Permis
? ? ? ? ? ? if (mService.hasProjectionPermission(mUid, mPackageName)) {
? ? ? ? ? ? ? ? setResult(RESULT_OK, getMediaProjectionIntent(mUid, mPackageName));
? ? ? ? ? ? ? ? finish();
? ? ? ? ? ? ? ? return;
? ? ? ? ? ? }
? ? ? ? }
? ? @Override
? ? public void onClick(DialogInterface dialog, int which) {
? ? ? ? try {
? ? ? ? ? ? if (which == AlertDialog.BUTTON_POSITIVE) {
? ? ? ? ? ? ? ? setResult(RESULT_OK, getMediaProjectionIntent(mUid, mPackageName));
? ? ? ? ? ? }
? ? ? ? }
? ? }
? ??
? ? // 重点是 获得IMediaProjection, 然后转换为Binder: 赋值到Intent
? ? // MediaProjectionManager.EXTRA_MEDIA_PROJECTION: projection.asBinder()
? ? private Intent getMediaProjectionIntent(int uid, String packageName)
? ? ? ? ? ? throws RemoteException {
? ? ? ? IMediaProjection projection = mService.createProjection(uid, packageName,
? ? ? ? ? ? ? ? ?MediaProjectionManager.TYPE_SCREEN_CAPTURE, false /* permanentGrant */);
? ? ? ? Intent intent = new Intent();
? ? ? ? intent.putExtra(MediaProjectionManager.EXTRA_MEDIA_PROJECTION, projection.asBinder());
? ? ? ? return intent;
? ? }
}
4. 这样 onActivityResult的输入参数 Intent 就是上面赋值的Intent
protected void onActivityResult(int requestCode, int resultCode, Intent data) {
? ? ? ? if (requestCode == REQUEST_CODE) {
? ? ? ? ? ? if (resultCode == Activity.RESULT_OK) {
? ? ? ? ? ? ? ? startService(com.mtsahakis.mediaprojectiondemo.ScreenCaptureService.getStartIntent(this, resultCode, data));
? ? ? ? ? ? }
? ? ? ? }
}
public int onStartCommand(Intent intent, int flags, int startId) {
? ?if (isStartCommand(intent)) {
? ? ? ? ? ? Intent data = intent.getParcelableExtra(DATA);
? ? ? ? ? ? startProjection(resultCode, data);
? ? }
}
5. 得到MediaProjection
private void startProjection(int resultCode, Intent data) {
? ? ? ? MediaProjectionManager mpManager =
? ? ? ? ? ? ? ? (MediaProjectionManager) getSystemService(Context.MEDIA_PROJECTION_SERVICE);
? ? ? ? if (mMediaProjection == null) {
? ? ? ? ? ? mMediaProjection = mpManager.getMediaProjection(resultCode, data);
?? ?}
}
public MediaProjection getMediaProjection(int resultCode, @NonNull Intent resultData) {
? ? ? ? if (resultCode != Activity.RESULT_OK || resultData == null) {
? ? ? ? ? ? return null;
? ? ? ? }
? ? ? ? IBinder projection = resultData.getIBinderExtra(EXTRA_MEDIA_PROJECTION);
? ? ? ? if (projection == null) {
? ? ? ? ? ? return null;
? ? ? ? }
? ? ? ? return new MediaProjection(mContext, IMediaProjection.Stub.asInterface(projection));
}
最后得到了 MediaProjecton
audio/ vedio用的就是这个
通过反射不显示申请权限对话框
对照上面的方法,下面的操作应该能看懂
private MediaProjection getMediaProjection(Context context) { ? ? ? ? ? MediaProjection mediaProjection = null; ? ? ? ? ? MediaProjectionManager projectionManager = (MediaProjectionManager) context.getSystemService ? ? ? ? ? ? ? ? (Context.MEDIA_PROJECTION_SERVICE); ? ? ? ? ? if (projectionManager == null) { ? ? ? ? ? ? Log.e(TAG, "start record fail, reason : projectionManager is null"); ? ? ? ? ? } else { ? ? ? ? ? ? Intent intent = new Intent(); ? ? ? ? ? ? try { ? ? ? ? ? ? ? ? ApplicationInfo aInfo = context.getPackageManager().getApplicationInfo("xxx", 0); ? ? ? ? ? ? ? ? int uid = aInfo.uid; ? ? ? ? ? ? ? ? Log.w(TAG, "AppInfo: " + aInfo.toString()); ? ? ? ? ? ? ? ? Class<?> smClazz = Class.forName("android.os.ServiceManager"); ? ? ? ? ? ? ? ? Method getService = smClazz.getDeclaredMethod("getService", String.class); ? ? ? ? ? ? ? ? IBinder binder = (IBinder) getService.invoke(null, Context.MEDIA_PROJECTION_SERVICE); ? ? ? ? ? ? ? ? Class<?> mpmsClazz = Class.forName("android.media.projection.IMediaProjectionManager$Stub"); ? ? ? ? ? ? ? ? Method asInterface = mpmsClazz.getDeclaredMethod("asInterface", IBinder.class); ? ? ? ? ? ? ? ? Object service = asInterface.invoke(null, binder); ? ? ? ? ? ? ? ? Class<?> IMediaProjectionManager = service.getClass();?
? ? ? ? ? ? ? ? Method createProjection = IMediaProjectionManager.getDeclaredMethod("createProjection", int.class, ? ? ? ? ? ? ? ? ? ? ? ? String.class, int.class, boolean.class); ? ? ? ? ? ? ? ? Object projection = createProjection.invoke(service, uid, "xxx", TYPE_SCREEN_CAPTURE, false);
? ? ? ? ? ? ? ? Class<?> mpmClazz = Class.forName("android.media.projection.IMediaProjection$Stub$Proxy"); ? ? ? ? ? ? ? ? Method asBinder = mpmClazz.getDeclaredMethod("asBinder"); ? ? ? ? ? ? ? ? IBinder projectionBinder = (IBinder) asBinder.invoke(projection);
? ? ? ? ? ? ? ? Class<?> intentClazz = Class.forName("android.content.Intent"); ? ? ? ? ? ? ? ? Method putExtra = intentClazz.getDeclaredMethod("putExtra", String.class, IBinder.class); ? ? ? ? ? ? ? ? putExtra.invoke(intent, EXTRA_MEDIA_PROJECTION, projectionBinder); ? ? ? ? ? ? } catch (Exception e) { ? ? ? ? ? ? ? ? Log.e(TAG, "Error in getMediaProjection", e); ? ? ? ? ? ? }
? ? ? ? ? ? mediaProjection = projectionManager.getMediaProjection(Activity.RESULT_OK, intent); ? ? ? ? ? ? if (mediaProjection != null) { ? ? ? ? ? ? ? ? Log.w(TAG, "create mediaProjection successfully"); ? ? ? ? ? ? } ? ? ? ? ? }
? ? ? ? ? return mediaProjection; }
Server 端代码结构
frameworks/base/services/core/java/com/android/server/media/projection
├── MediaProjectionManagerService.java
回调函数的处理

frameworks/base/services/core/java/com/android/server/media/projection/MediaProjectionManagerService.java
所有类作为MediaProjectionMangagerService的内部类, 接口的Stub都有具体的实现,为什么Proxy类没有 (因为proxy已经完整实现了接口函数:mRemote进行调用,不在需要overwrite, 但一般会被封装)

MediaProjection的功能
实现了静音录制,如果使用 remote_submit/mic如果无声录不到声音
?MediaProjection的缺点
如果多个应用都申请MediaProjection 如录屏和投屏等,当前的机制是只允许一个(最后一个),原来明白了,这个问题也是可解的。
? ?private void startProjectionLocked(final MediaProjection projection) {
? ? ? ? if (mProjectionGrant != null) {
? ? ? ? ? ? ? ? mProjectionGrant.stop();
? ? ? ? }
? ? ? ? if (mMediaRouteInfo != null) {
? ? ? ? ? ? mMediaRouter.getFallbackRoute().select();
? ? ? ? }
? ? ? ? mProjectionToken = projection.asBinder();
? ? ? ? mProjectionGrant = projection;
? ? ? ? dispatchStart(projection);
? ? }
|