MicroPython之外部中断 ExtInt(基于pyboard)
?? pyboard 的外部中断使用需要基于ExtInt 类。接下来,就具体看看ExtInt 中的方法以及该如何使用它。
ExtInt类
? 构造函数:
class pyb.ExtInt(pin, mode, pull, callback)
?? 该函数用于实现外部中断的初始化,包括初始化的中断线,模式,上下拉,以及回调函数。参数说明如下: ?? ?? - pin :指定外部中断的引脚,这个可以是Pin对象,可以是通过pyb.Pin.cpu.Name 和pyb.Pin.board.Name 等任何能够指定对应引脚的有效方法,当然,也可以是通过做字典或者映射函数自定义的引脚名称。 ?? ?? - mode :指定中断出发方式,取值有ExtInt.IRQ_RISING (上升沿触发),ExtInt.IRQ_FALLING (下降沿触发)和ExtInt.IRQ_RISING_FALLING (边沿触发,即上升沿和下降沿均触发)。当然还有pyb.ExtInt.EVT_RISING , pyb.ExtInt.EVT_FALLING , 和pyb.ExtInt.EVT_RISING_FALLING ,这四个是和睡眠模式和WFE 指令相关的。 ?? ?? - pull :设置引脚模式: ?? ?? ??- Pin.PULL_NONE :无上下拉 ?? ?? ??- Pin.PULL_UP :上拉 ?? ?? ??- Pin.PULL_DOWN :下拉 ?? ?? - callback :设置外部中断响应函数,当触发事件发生,则会调用该函数。该函数只能有一个参数,这个参数表示外部中断线的序号。
? 静态(类)方法:
classmethod ExtInt.regs()
?? 返回外部中断线的寄存器值。
? 对象方法:
ExtInt.disable()
?? 失能外部中断。
ExtInt.disable()
?? 使能外部中断。
ExtInt.line()
?? 返回该外部中断线序号。
ExtInt.swint()
?? 软触发,即通过软件的方式实现外部中断的触发。
ExtInt类的基本使用
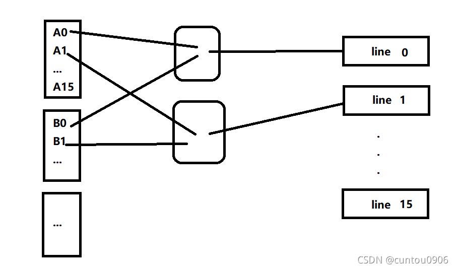
?? pyboard 板载的stm32 芯片有22 个中断线,其中16 个中断是外部引脚,剩余6 个是内部中断。现在说说外部中断和引脚的关系。  ?? pyboard 板载的stm32 将IO 口分为A ,B ,C …组,每组15 个,从0-15 。即可以组成A0,A1 ,…中断线i 只能和各组的第i 个引脚连接,如上图。所以再配置外部中断,只需要指定引脚,对应的中断线也就指定了(官网所述:Note: ExtInt will automatically configure the gpio line as an input.)。需要注意的是,在同一个中断线每个时刻只能和某个引脚相连。
import pyb
def callback(line):
print("line =", line)
extint = pyb.ExtInt(pin, pyb.ExtInt.IRQ_FALLING, pyb.Pin.PULL_UP, callback)
?? 外部中断注意消除抖动,尤其是使用按钮等手动操作的。目前回调函数支持一个,如果注册两个回调函数就会抛出异常。如果引脚作为整数传递,则假定它映射到内部中断源之一,并且必须在16 到22 的范围内,即指定的是内部剩余的6 个外部中断。
ExtInt类的例子
from pyb import Pin,ExtInt,LED
callback = lambda e: LED(3).toggle()
ext = ExtInt(Pin('Y1'), ExtInt.IRQ_FALLING, Pin.PULL_UP, callback)
?? 通过外部中断,我们就不需要一直循环检测端口的信号值了,这完全交给硬件去实现了。
|