电池标准充放电实验
一、实验目的
通过进行简单的标准充放电实验,来熟悉新威电池测试仪相关设备功能和操作流程。通过在标准充电和放电下对电池的电压进行分析电池的电压特征,并获取对磷酸铁锂电池充放电的基本认识,为开路电压法分阶段进行电池荷电状态估算打好研究基础。
二、实验器材
三洋磷酸铁锂电池18650GA; 电池充放电测试仪; PC机及BTS软件;
三、实验内容
电池在低倍率充电时采用0.5C(xxxA)恒流充电至xxx V,然后进行xxx V恒压充电至电流降至 0.04A 停止。放电采用xxC(xxA)恒流放电至截止电压xxV。 测试条件是在室温(25℃)以xx C恒流充电至xxV,然后搁置xx分钟后,再以xC恒流放电至xx.xxV。 最后根据实验数据,绘制充放电特性曲线,并进行分析。
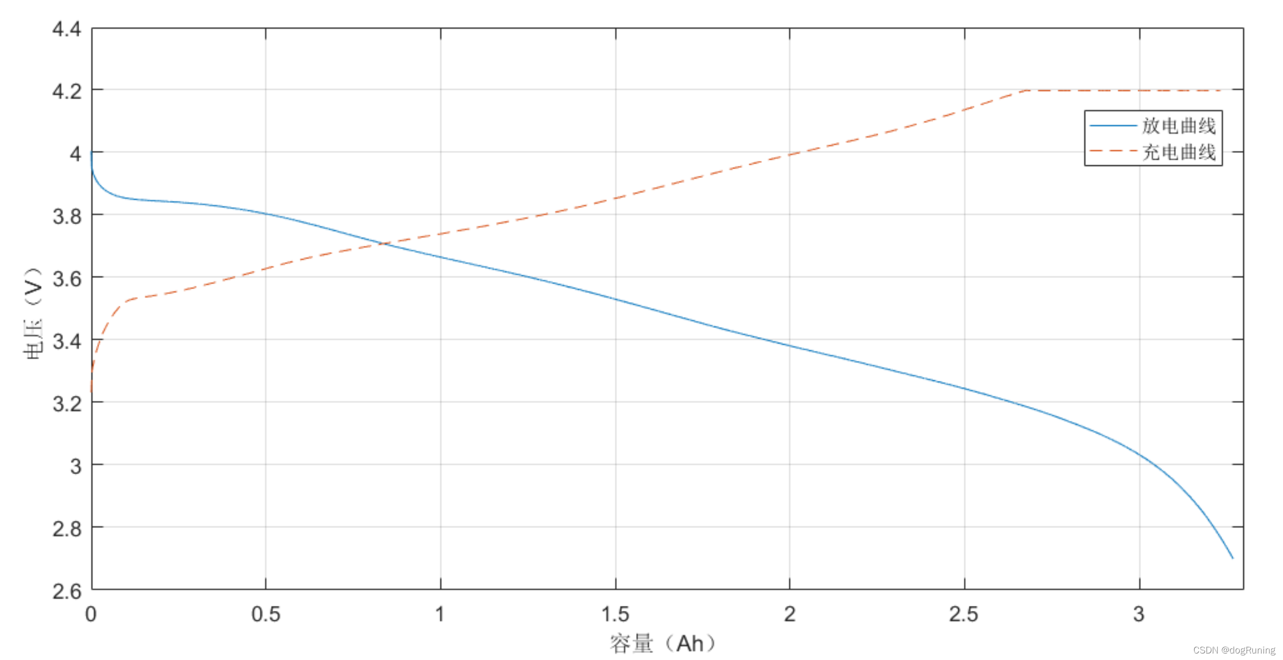
四、实验结果(数据和图表)

从图中可以看出,在整个放电过程中,电压响应曲线分为三个阶段,首先起始阶段为陡降期,电压在几秒钟内平均电压达到xxV左右,然后进入平台期,在此期间,电压有缓慢减小的趋势,但该阶段占整个放电过程的75%以上的时间。当电池的剩余容量在10%左右时,电压再次出现陡降期,此时与起始阶段电压变化趋势相比,时间稍长,约在6分钟左右,直至电压降至截止电压xxV为止,而且电压降的幅度比起始阶段要大,前者的幅度约0.2V左右,而后者则在xxV左右。
电池充电过程与放电过程响应曲线基本类似,两者呈现相反的方向。从整体上来看,充电电压曲线略高于放电电压曲线,该现象出现主要是由于电池的浮充电现象引起的。同放电过程一样,充电过程电池的平台期也很长。由于电池本身保护板的作用,电池充电达到xxV以后电压便不再上升,此时进行小电流恒压充电直至电池达到满电状态。
|