1. 数字(Number)
当指定一个值时,Number 对象就会被创建:
a = 1 b = 2
通过使用del语句删除单个的引用
del b
通过使用del语句删除多个对象的引用
del a,b
2. 字符串(String)
1. 什么是字符串?
- 是由数字、字母、下划线组成的一串字符。
- 字符串用单引号 ’ 或双引号 " 括起来, 特殊字符使用反斜杠 \ 转义
比如: a = “Hell World”
2. 字符串的截取
1. 字符串的截取的语法格式:
变量[头下标:尾下标]
注意: 索引值以 0 为开始值,-1 为从末尾的开始位置。[0:-1] 取得是-1前一位
2. 2种取值顺序
- 从前往后:
默认0开始的,最大范围是字符串长度减1 - 从后往前:
索引默认-1开始的,最大范围是字符串开头
| H | e | l | l | 0 |
|---|
| 从前开始 | 0 | 1 | 2 | 3 | 4 | | 从后开始 | -5 | -4 | -3 | -2 | -1 |
str = 'HelloWorld!'
print("完整字符串:",str)
print("字符串中的第一个字符:",str[0])
print("第一个到倒数第二个的所有字符",str[0:-1])
print("字符串中第4个至第7个之间的字符串:",str[3:6])
print("第4个字符开始的字符串:",str[3:])
print("输出字符串两次:",str * 2)
print("输出连接的字符串:",str + "连接")
输出结果如下:

3. \n换行
print("Hello\nWorld")
输出结果如下:

4. 不想让反斜杠发生转义怎么做??
不想让反斜杠发生转义,可以在字符串前面添加一个 r,表示 原始字符串
print(r"Hello\nWorld")
输出结果如下所示:

5. 步长截取
从第一个开始到最后一个,间隔一个,来截取字符串
str = "HelloWorld"
print(str[0:9:2])
输出结果如下:

3. 列表(List)
列表可以存储数字、字符串、列表、元组等任何类型的数据
1. 创建
1. 使用 [ ] 创建列表
num = [1, 2, 3, 4, 5]
name = ["name1", "name2"]
list = []
2. 使用 list() 函数创建列表
list()是Python 内置的函数,可以将其它数据类型转换为列表类型
a = list("Hello")
print(a)
range1 = range(1, 3)
b = list(range1)
print(b)
print(list())
输出结果:

2. 元素输出
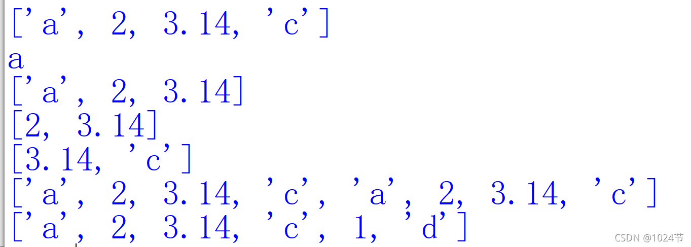
list = [ 'a', 2 , 3.14, 'c' ]
list2 = [1, 'd']
print(list)
print(list[0])
print(list[0:-1])
print(list[1:3])
print(list[2:])
print(list * 2)
print(list + list2)

3. 列表添加元素
1. append()
在列表的末尾追加元素list.append(obj)
list = [1,2,3]
list.append(4)
print(list)
追加一个列表,会将列表看作一个整体,并当成一个元素添加到列表中
list = [1,2,3]
list2 = ['a','b']
list.append(list2)
print(list)

2. extend()
这个函数不会把列表或者元组视为一个整体,而是把它们包含的元素逐个添加到列表中(末尾添加)
list = ['a', '2', '3']
list.extend('C')
print(list)
list.extend(['d', 'e'])
print(list)

3. insert()
在列表某个位置插入元素list.insert(索引, obj)
list = ['a', 1, 'b']
list.insert(2, '2')
print(list)
list.insert(1, ['c', 'd'])
print(list)

4.列表删除操作
1. remove()
一次删除一个存在的元素,如果存在相同的元素 只会删除第一个
list = [1,2,3,4,5,5,6]
print("删除前:",list)
list.remove(5)
print("删除后:",list)

2. del
1 . 删除整个列表 2. 删除列表中的个别元素
list = [1,2,3,4,5,6]
print("删除前:",list)
del list[5]
print(list)
del list[2:4]
print(list)
del list
print(list)

3. pop()
删除列表中指定索引位置的元素,如果未指定参数 则默认删除 最后一个元素
list = [1,2,3,4,5,6]
print("删除前",list)
list.pop(3)
print("指定删除的元素",list)
list.pop()
print("未指定删除元素",list)

4. 切片
列表截取: list[start:end]
list = [1,2,3,4,5,6]
print("删除前",list)
list[2:5] = []
print("删除后",list)

5. clear()
删除列表所有元素
list = [1,2,3,4,5,6]
print("删除前",list)
list.clear()
print("删除后",list)

5. 修改列表元素
list = [1,2,3,4,5,6]
print("修改前",list)
list[0] = 0
print("修改一个元素后:",list)
list[1:4] = [22,33,44]
print("修改几个元素后:",list)

4. 元组(Tuple)
元组和列表类似,元组写在()小括号里,元组中的元素类型也可以不相同
1. 定义方式
tup=()
tup=(1,'二','san')
tup[下标]: 获取元素
2. 元组的元素不能修改
tup = (1,2,3)
tup[0]=0
print(tup)
输出结果如下所示: 错误类型: 'tuple’对象不支持项赋值

5. 集合 (Set)
集合只能存储不可变的数据类型,使用大括号 { } 或者 set() 函数创建集合。
1. {} 创建
parame = {value1,value2,…}
a = {1,2,3,4,5}
print(a)

2. set() 创建
set(value)
a = set('Hello')
print(a)

3. 交集、并集、差集运算
a = {'a','b','c','d','e','f','g'}
b = set('asdfg')
print(a - b)
print(a | b)
print(a & b)
print(a ^ b)

6. 字典(Dictionary)
字典是无序的对象集合,它的元素以“键值对”的形式存储,用{ }标识。
dict = {'姓名': '张三','年龄':18, '学号': '20000000'}
print(dict )
print(dict.keys())
print(dict.values())

7. 上面写的几种类型都可修改其中的数据吗?
不可变数据:Number(数字)、String(字符串)、Tuple(元组) 可变数据 ? ?:List(列表)、Dictionary(字典)、Set(集合)
|