反转链表
LeeCode206.反转链表
给你单链表的头节点 head ,请你反转链表,并返回反转后的链表。
解法一:迭代
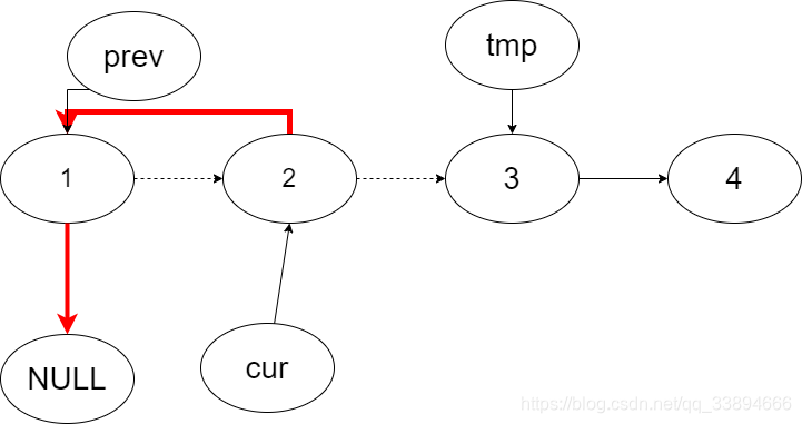
prev 指向前一个节点,初始化为nullptr ,使链表第一个节点指向nullptr 。cur 指向当前正在遍历的节点,每次都使cur->next 指向prev ,然后prev 指向cur 。在此之前,要保存cur->next ,用tmp 保存,最后,cur 指向tmp 。
  
class Solution {
public:
ListNode* reverseList(ListNode* head) {
ListNode* prev = nullptr;
ListNode* cur = head;
while (nullptr != cur) {
ListNode* tmp = cur->next;
cur->next = prev;
prev = cur;
cur = tmp;
}
return prev;
}
};
解法二:递归
递归第一次返回的是反转链表后的头节点reverseHead ,因此要保存,此后,递归返回的节点也是它。递归是带有状态的循环,前面的节点是指向后面的节点的,因此,使后面的节点指向前面的节点后,前面不再指向它,而是与之断开连接。
class Solution {
public:
ListNode* reverseList(ListNode* head) {
if (nullptr == head || nullptr == head->next)
return head;
ListNode* reverseHead = reverseList(head->next);
head->next->next = head;
head->next = nullptr;
return reverseHead;
}
};
个人觉得写法二比较好理解。先保存当前节点的下一个节点ListNode* tmp = cur->next; ,然后当前节点指向前面一个节点cur->next = prev ,最后,当前节点cur 作为前一个节点prev 的参数,tmp 作为当前节点cur 的参数(reverse(ListNode* prev, ListNode* cur) )作递归。
class Solution {
public:
ListNode* reverseList(ListNode* head) {
return reverse(nullptr, head);
}
ListNode* reverse(ListNode* prev, ListNode* cur) {
if (cur == nullptr)
return prev;
ListNode* tmp = cur->next;
cur->next = prev;
return reverse(cur, tmp);
}
};
|