一:HashMap底层实现原理解析
我们常见的有数据结构有三种结构:1、数组结构 2、链表结构 3、哈希表结构 下面我们来看看各自的数据结构的特点: 1、数组结构: 存储区间连续、内存占用严重、空间复杂度大
- 优点:随机读取和修改效率高,原因是数组是连续的(随机访问性强,查找速度快)
- 缺点:插入和删除数据效率低,因插入数据,这个位置后面的数据在内存中都要往后移动,且大小固定不易动态扩展。
2、链表结构:存储区间离散、占用内存宽松、空间复杂度小
- 优点:插入删除速度快,内存利用率高,没有固定大小,扩展灵活
- 缺点:不能随机查找,每次都是从第一个开始遍历(查询效率低)
3、哈希表结构:结合数组结构和链表结构的优点,从而实现了查询和修改效率高,插入和删除效率也高的一种数据结构 常见的HashMap就是这样的一种数据结构
这里需要区分一下,JDK1.7和 JDK1.8之后的 HashMap 存储结构。在JDK1.7及之前,是用数组加链表的方式存储的。
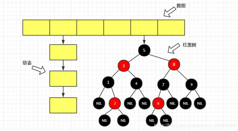
但是,众所周知,当链表的长度特别长的时候,查询效率将直线下降,查询的时间复杂度为 O(n)。因此,JDK1.8 把它设计为达到一个特定的阈值之后,就将链表转化为红黑树。
这里简单说下红黑树的特点:
- 每个节点只有两种颜色:红色或者黑色
- 根节点必须是黑色
- 每个叶子节点(NIL)都是黑色的空节点
- 从根节点到叶子节点,不能出现两个连续的红色节点
- 从任一节点出发,到它下边的子节点的路径包含的黑色节点数目都相同
由于红黑树,是一个自平衡的二叉搜索树,因此可以使查询的时间复杂度降为O(logn)。(红黑树不是本文重点,不了解的童鞋可自行查阅相关资料哈)
HashMap 结构示意图: 
常用的变量
在 HashMap源码中,比较重要的常用变量,主要有以下这些。还有两个内部类来表示普通链表的节点和红黑树节点。
static final int DEFAULT_INITIAL_CAPACITY = 1 << 4;
static final int MAXIMUM_CAPACITY = 1 << 30;
static final float DEFAULT_LOAD_FACTOR = 0.75f;
static final int TREEIFY_THRESHOLD = 8;
static final int UNTREEIFY_THRESHOLD = 6;
static final int MIN_TREEIFY_CAPACITY = 64;
transient Node<K,V>[] table;
transient Set<Map.Entry<K,V>> entrySet;
transient int size;
transient int modCount;
int threshold;
final float loadFactor;
static class Node<K,V> implements Map.Entry<K,V> {
final int hash;
final K key;
V value;
Node<K,V> next;
Node(int hash, K key, V value, Node<K,V> next) {
this.hash = hash;
this.key = key;
this.value = value;
this.next = next;
}
}
static final class TreeNode<K,V> extends LinkedHashMap.Entry<K,V> {
TreeNode<K,V> parent;
TreeNode<K,V> left;
TreeNode<K,V> right;
TreeNode<K,V> prev;
boolean red;
TreeNode(int hash, K key, V val, Node<K,V> next) {
super(hash, key, val, next);
}
}
HashMap 构造函数
HashMap有四个构造函数可供我们使用,一起来看下:
public HashMap() {
this.loadFactor = DEFAULT_LOAD_FACTOR;
}
public HashMap(int initialCapacity) {
this(initialCapacity, DEFAULT_LOAD_FACTOR);
}
public HashMap(int initialCapacity, float loadFactor) {
if (initialCapacity < 0)
throw new IllegalArgumentException("Illegal initial capacity: " +
initialCapacity);
if (initialCapacity > MAXIMUM_CAPACITY)
initialCapacity = MAXIMUM_CAPACITY;
if (loadFactor <= 0 || Float.isNaN(loadFactor))
throw new IllegalArgumentException("Illegal load factor: " +
loadFactor);
this.loadFactor = loadFactor;
this.threshold = tableSizeFor(initialCapacity);
}
public HashMap(Map<? extends K, ? extends V> m) {
this.loadFactor = DEFAULT_LOAD_FACTOR;
putMapEntries(m, false);
}
final void putMapEntries(Map<? extends K, ? extends V> m, boolean evict) {
int s = m.size();
if (s > 0) {
if (table == null) {
float ft = ((float)s / loadFactor) + 1.0F;
int t = ((ft < (float)MAXIMUM_CAPACITY) ?
(int)ft : MAXIMUM_CAPACITY);
if (t > threshold)
threshold = tableSizeFor(t);
}
else if (s > threshold)
resize();
for (Map.Entry<? extends K, ? extends V> e : m.entrySet()) {
K key = e.getKey();
V value = e.getValue();
putVal(hash(key), key, value, false, evict);
}
}
}
tableSizeFor() 上边的第三个构造函数中,调用了 tableSizeFor 方法,这个方法是怎么实现的呢?
static final int tableSizeFor(int cap) {
int n = cap - 1;
n |= n >>> 1;
n |= n >>> 2;
n |= n >>> 4;
n |= n >>> 8;
n |= n >>> 16;
return (n < 0) ? 1 : (n >= MAXIMUM_CAPACITY) ? MAXIMUM_CAPACITY : n + 1;
}
我们以传入参数为14 来举例,计算这个过程。
首先,14传进去之后先减1,n此时为13。然后是一系列的无符号右移运算。
0000 0000 0000 0000 0000 0000 0000 1101
0000 0000 0000 0000 0000 0000 0000 0110
0000 0000 0000 0000 0000 0000 0000 1111
0000 0000 0000 0000 0000 0000 0000 0011
0000 0000 0000 0000 0000 0000 0000 1111
...
return (n < 0) ? 1 : (n >= MAXIMUM_CAPACITY) ? MAXIMUM_CAPACITY : n + 1;
0000 0000 0000 0000 0000 0000 0000 1111
+ 1
0000 0000 0000 0000 0000 0000 0001 0000
将它转为十进制,就是 2^4 = 16 。我们会发现一个规律,以上的右移运算,最终会把最低位的值都转化为 1111 这样的结构,然后再加1,就是1 0000 这样的结构,它一定是 2的n次幂。因此,这个方法返回的就是大于当前传入值的最小(最接近当前值)的一个2的n次幂的值。
HashMap中的put()和get()的实现原理:
1、map.put(k,v)实现原理
(1)首先将k,v封装到Node对象当中(节点)。 (2)然后它的底层会调用K的hashCode()方法得出hash值。 (3)通过哈希表函数/哈希算法,将hash值转换成数组的下标,下标位置上如果没有任何元素,就把Node添加到这个位置上。如果说下标对应的位置上有链表。此时,就会拿着k和链表上每个节点的k进行equal。如果所有的equals方法返回都是false,那么这个新的节点将被添加到链表的末尾。如其中有一个equals返回了true,那么这个节点的value将会被覆盖。
public V put(K key, V value) {
return putVal(hash(key), key, value, false, true);
}
final V putVal(int hash, K key, V value, boolean onlyIfAbsent,
boolean evict) {
Node<K,V>[] tab; Node<K,V> p; int n, i;
if ((tab = table) == null || (n = tab.length) == 0)
n = (tab = resize()).length;
if ((p = tab[i = (n - 1) & hash]) == null)
tab[i] = newNode(hash, key, value, null);
else {
Node<K,V> e; K k;
if (p.hash == hash &&
((k = p.key) == key || (key != null && key.equals(k))))
e = p;
else if (p instanceof TreeNode)
e = ((TreeNode<K,V>)p).putTreeVal(this, tab, hash, key, value);
else {
for (int binCount = 0; ; ++binCount) {
if ((e = p.next) == null) {
p.next = newNode(hash, key, value, null);
if (binCount >= TREEIFY_THRESHOLD - 1)
treeifyBin(tab, hash);
break;
}
if (e.hash == hash &&
((k = e.key) == key || (key != null && key.equals(k))))
break;
p = e;
}
}
if (e != null) {
V oldValue = e.value;
if (!onlyIfAbsent || oldValue == null)
e.value = value;
afterNodeAccess(e);
return oldValue;
}
}
++modCount;
if (++size > threshold)
resize();
afterNodeInsertion(evict);
return null;
}
2、map.get(k)实现原理
(1)先调用k的hashCode()方法得出哈希值,并通过哈希算法转换成数组的下标。 (2)通过上一步哈希算法转换成数组的下标之后,在通过数组下标快速定位到某个位置上。如果这个位置上什么都没有,则返回null。如果这个位置上有单向链表,那么它就会拿着K和单向链表上的每一个节点的K进行equals,如果所有equals方法都返回false,则get方法返回null。如果其中一个节点的K和参数K进行equals返回true,那么此时该节点的value就是我们要找的value了,get方法最终返回这个要找的value。
常见问题:
为何随机增删、查询效率都很高的原因是? 原因: 增删是在链表上完成的,而查询只需扫描部分,则效率高。
HashMap集合的key,会先后调用两个方法,hashCode and equals方法,这这两个方法都需要重写。
为什么放在hashMap集合key部分的元素需要重写equals方法? 因为equals方法默认比较的是两个对象的内存地址
hash()计算原理
前面 put 方法中说到,需要先把当前key进行哈希处理,我们看下这个方法是怎么实现的。
static final int hash(Object key) {
int h;
return (key == null) ? 0 : (h = key.hashCode()) ^ (h >>> 16);
}
这里,会先判断key是否为空,若为空则返回0。这也说明了hashMap是支持key传 null 的。若非空,则先计算key的hashCode值,赋值给h,然后把h右移16位,并与原来的h进行异或处理。为什么要这样做,这样做有什么好处呢?
我们知道,hashCode()方法继承自父类Object,它返回的是一个 int 类型的数值,可以保证同一个应用单次执行的每次调用,返回结果都是相同的(这个说明可以在hashCode源码上找到),这就保证了hash的确定性。在此基础上,再进行某些固定的运算,肯定结果也是可以确定的。 我在这里随便运行一段程序,把它的 hashCode的二进制打印出来,如下:
public static void main(String[] args) {
Object o = new Object();
int hash = o.hashCode();
System.out.println(hash);
System.out.println(Integer.toBinaryString(hash));
}
然后,进行 (h = key.hashCode()) ^ (h >>> 16) 这一段运算。
0110 1101 0110 1111 0110 1110 0010 1000
0000 0000 0000 0000 0110 1101 0110 1111
0110 1101 0110 1111 0110 1110 0010 1000
^
0000 0000 0000 0000 0110 1101 0110 1111
=
0110 1101 0110 1111 0000 0011 0100 0111
可以看到,其实相当于,我们把高16位值和当前h的低16位进行了混合,这样可以尽量保留高16位的特征,从而降低哈希碰撞的概率。
思考一下,为什么这样做,就可以降低哈希碰撞的概率呢?先别着急,我们需要结合 i = (n - 1) & hash 这一段运算来理解。
** (n-1) & hash 作用**
i = (n - 1) & hash
我们知道,如果给定某个数值,去找它在某个数组中的下标位置时,直接用模运算就可以了(假设数组值从0开始递增)。如,我找 14 在数组长度为16的数组中的下标,即为 14 % 16,等于14 。 18的位置即为 18%16,等于2。
而②中,就是取模运算的位运算形式。以18%16为例
0001 0010
0000 1111
0000 0010
0001 0000
0000 1111
0000 0000 ~ 0000 1111
为什么高低位异或运算可以减少哈希碰撞 我们想象一下,假如用 key 原来的hashCode值,直接和 (n-1) 进行与运算来求数组下标,而不进行高低位混合运算,会产生什么样的结果。
0110 1101 0110 1111 0110 1110 0010 1000
0100 0101 1110 1011 0110 0110 0010 1000
0000 0000 0000 0000 0000 0000 0000 1111
我进行高低16位混合运算,是可以的,这样可以保证尽量减少高区位的特征。那么,为什么选择用异或运算呢,我用与、或、非运算不行吗? 这是有一定的道理的。我们看一个表格,就能明白了。  可以看到两个值进行与运算,结果会趋向于0;或运算,结果会趋向于1;而只有异或运算,0和1的比例可以达到1:1的平衡状态。(非呢?别扯犊子了,两个值怎么做非运算。。。)
所以,异或运算之后,可以让结果的随机性更大,而随机性大了之后,哈希碰撞的概率当然就更小了。
以上,就是为什么要对一个hash值进行高低位混合,并且选择异或运算来混合的原因。
resize() 扩容机制
在上边 put 方法中,我们会发现,当数组为空的时候,会调用 resize 方法,当数组的 size 大于阈值的时候,也会调用 resize方法。 那么看下 resize 方法都做了哪些事情吧。
final Node<K,V>[] resize() {
Node<K,V>[] oldTab = table;
int oldCap = (oldTab == null) ? 0 : oldTab.length;
int oldThr = threshold;
int newCap, newThr = 0;
if (oldCap > 0) {
if (oldCap >= MAXIMUM_CAPACITY) {
threshold = Integer.MAX_VALUE;
return oldTab;
}
else if ((newCap = oldCap << 1) < MAXIMUM_CAPACITY &&
oldCap >= DEFAULT_INITIAL_CAPACITY)
newThr = oldThr << 1;
}
else if (oldThr > 0)
newCap = oldThr;
else {
newCap = DEFAULT_INITIAL_CAPACITY;
newThr = (int)(DEFAULT_LOAD_FACTOR * DEFAULT_INITIAL_CAPACITY);
}
if (newThr == 0) {
float ft = (float)newCap * loadFactor;
newThr = (newCap < MAXIMUM_CAPACITY && ft < (float)MAXIMUM_CAPACITY ?
(int)ft : Integer.MAX_VALUE);
}
threshold = newThr;
@SuppressWarnings({"rawtypes","unchecked"})
Node<K,V>[] newTab = (Node<K,V>[])new Node[newCap];
table = newTab;
if (oldTab != null) {
for (int j = 0; j < oldCap; ++j) {
Node<K,V> e;
if ((e = oldTab[j]) != null) {
oldTab[j] = null;
if (e.next == null)
newTab[e.hash & (newCap - 1)] = e;
else if (e instanceof TreeNode)
((TreeNode<K,V>)e).split(this, newTab, j, oldCap);
else {
Node<K,V> loHead = null, loTail = null;
Node<K,V> hiHead = null, hiTail = null;
Node<K,V> next;
do {
next = e.next;
if ((e.hash & oldCap) == 0) {
if (loTail == null)
loHead = e;
else
loTail.next = e;
loTail = e;
}
else {
if (hiTail == null)
hiHead = e;
else
hiTail.next = e;
hiTail = e;
}
} while ((e = next) != null);
if (loTail != null) {
loTail.next = null;
newTab[j] = loHead;
}
if (hiTail != null) {
hiTail.next = null;
newTab[j + oldCap] = hiHead;
}
}
}
}
}
return newTab;
}
上边还有一个非常重要的运算,我们没有讲解。就是下边这个判断,它用于把原来的普通链表拆分为两条链表,位置不变或者放在新的位置。
if ((e.hash & oldCap) == 0) {} else {}
我们以原数组容量16为例,扩容之后容量为32。说明下为什么这样计算。 还是用之前的hash值举例。
0110 1101 0110 1111 0110 1110 0010 1000
0000 0000 0000 0000 0000 0000 0001 0000
0110 1101 0110 1111 0110 1110 0010 1000
&
0000 0000 0000 0000 0000 0000 0001 1111
=
0000 0000 0000 0000 0000 0000 0000 1000
看下面的图,我们观察,hash值和旧数组进行与运算的结果 ,跟新数组的与运算结果有什么不同。  会发现一个规律:
若hash值的倒数第五位是0,则新下标与旧下标结果相同,都为 0000 1000
若hash值的倒数第五位是1,则新下标(0001 1000)与旧下标(0000 1000)结果值相差了 16 。
因此,我们就可以根据 (e.hash & oldCap == 0) 这个判断的真假来决定,当前元素应该在原来的位置不变,还是在新的位置(原位置 + 16)。 如果,上边的推理还是不明白的话,我再举个简单的例子。
18%16=2 18%32=18 34%16=2 34%32=2 50%16=2 50%32=18
计算中的18,34 ,50 其实就相当于 e.hash 值,和新旧数组做取模运算,得到的结果,要么就是原来的位置不变,要么就是原来的位置加上旧数组的长度。
get()方法
有了前面的基础,get方法就比较简单了。
public V get(Object key) {
Node<K,V> e;
return (e = getNode(hash(key), key)) == null ? null : e.value;
}
final Node<K,V> getNode(int hash, Object key) {
Node<K,V>[] tab; Node<K,V> first, e; int n; K k;
if ((tab = table) != null && (n = tab.length) > 0 &&
(first = tab[(n - 1) & hash]) != null) {
if (first.hash == hash &&
((k = first.key) == key || (key != null && key.equals(k))))
return first;
if ((e = first.next) != null) {
if (first instanceof TreeNode)
return ((TreeNode<K,V>)first).getTreeNode(hash, key);
do {
if (e.hash == hash &&
((k = e.key) == key || (key != null && key.equals(k))))
return e;
} while ((e = e.next) != null);
}
}
return null;
}
为什么HashMap链表会形成死循环
准确的讲应该是 JDK1.7 的 HashMap 链表会有死循环的可能,因为JDK1.7是采用的头插法,在多线程环境下有可能会使链表形成环状,从而导致死循环。JDK1.8做了改进,用的是尾插法,不会产生死循环。
那么,链表是怎么形成环状的呢?
关于这一点的解释,我发现网上文章抄来抄去的,而且都来自左耳朵耗子,更惊奇的是,连配图都是一模一样的。(别问我为什么知道,因为我也看过耗子叔的文章,哈哈。然而,菜鸡的我,那篇文章,并没有看懂。。。)
我实在看不下去了,于是一怒之下,就有了这篇文章。我会照着源码一步一步的分析变量之间的关系怎么变化的,并有配图哦。
我们从 put()方法开始,最终找到线程不安全的那个方法。这里省略中间不重要的过程,我只把方法的跳转流程贴出来:
//添加元素方法 -> 添加新节点方法 -> 扩容方法 -> 把原数组元素重新分配到新数组中 put() --> addEntry() --> resize() --> transfer()
问题就发生在 transfer 这个方法中。  我们假设,原数组容量只有2,其中一条链表上有两个元素 A,B,如下图  现在,有两个线程都执行 transfer 方法。每个线程都会在它们自己的工作内存生成一个newTable 的数组,用于存储变化后的链表,它们互不影响(这里互不影响,指的是两个新数组本身互不影响)。但是,需要注意的是,它们操作的数据却是同一份。
因为,真正的数组中的内容在堆中存储,它们指向的是同一份数据内容。就相当于,有两个不同的引用 X,Y,但是它们都指向同一个对象 Z。这里 X、Y就是两个线程不同的新数组,Z就是堆中的A,B 等元素对象。
假设线程一执行到了上图1中所指的代码①处,恰好 CPU 时间片到了,线程被挂起,不能继续执行了。 记住此时,线程一中记录的 e = A , e.next = B。
然后线程二正常执行,扩容后的数组长度为 4, 假设 A,B两个元素又碰撞到了同一个桶中。然后,通过几次 while 循环后,采用头插法,最终呈现的结构如下:  此时,线程一解挂,继续往下执行。注意,此时线程一,记录的还是 e = A,e.next = B,因为它还未感知到最新的变化。
我们主要关注图1中标注的①②③④处的变量变化:
e=A;next=B;
e.next=null
newTab[i] = A->null
e=B;
第一次循环结束后,线程一新数组的结构如下图:  然后,由于 e=B,不为空,进入第二次循环。
e=B;next=A;
e.next=A->null
newTab[i] = B->A->null
e=A;
第二次循环结束后,线程一新数组的结构如下图:  此时,由于 e=A,不为空,继续循环。
e=A;next=null;
e.next= B->A->null
newTab[i] = A->B 且 B->A
e=next=null;
第三次循环结束后,看下图,A的指向由 null ,改为指向为 B,因此 A 和 B 之间成环。  就算他们成环了,又怎样,跟死循环有什么关系?
我们看下 get() 方法(最终调用 getEntry 方法):  可以看到查找元素时,只要 e 不为空,就会一直循环查找下去。若有某个元素 C 的 hash 值也落在了和 A,B元素同一个桶中,则会由于, A,B互相指向,e.next 永远不为空,就会形成死循环。
二:HashMap红黑树原理分析
相比 jdk1.7 的 HashMap 而言,jdk1.8最重要的就是引入了红黑树的设计,当hash表的单一链表长度超过 8 个的时候,链表结构就会转为红黑树结构。 为什么要这样设计呢?好处就是避免在最极端的情况下链表变得很长很长,在查询的时候,效率会非常慢。 
- 红黑树查询:其访问性能近似于折半查找,时间复杂度 O(logn);
- 链表查询:这种情况下,需要遍历全部元素才行,时间复杂度 O(n);
简单的说,红黑树是一种近似平衡的二叉查找树,其主要的优点就是“平衡“,即左右子树高度几乎一致,以此来防止树退化为链表,通过这种方式来保障查找的时间复杂度为 log(n)。  关于红黑树的内容,网上给出的内容非常多,主要有以下几个特性:
1、每个节点要么是红色,要么是黑色,但根节点永远是黑色的;
2、每个红色节点的两个子节点一定都是黑色;
3、红色节点不能连续(也即是,红色节点的孩子和父亲都不能是红色);
4、从任一节点到其子树中每个叶子节点的路径都包含相同数量的黑色节点;
5、所有的叶节点都是是黑色的(注意这里说叶子节点其实是上图中的 NIL 节点); 在树的结构发生改变时(插入或者删除操作),往往会破坏上述条件 3 或条件 4,需要通过调整使得查找树重新满足红黑树的条件。
|