|

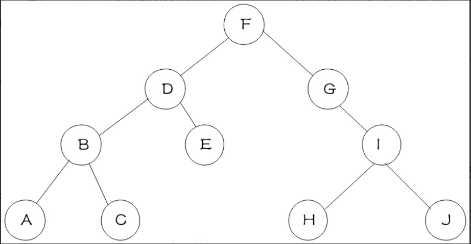
?中序遍历:A-B-C-D-E-F-G-H-I-J
递归
/**
* Definition for a binary tree node.
* struct TreeNode {
* int val;
* struct TreeNode *left;
* struct TreeNode *right;
* };
*/
/**
* Note: The returned array must be malloced, assume caller calls free().
*/
#define MAXSIZE 1000
void gothrogh (struct TreeNode* root, int *returnSize, int *ret){
// 叶子节点
if (root->left == NULL && root->right == NULL){
ret[*returnSize] = root->val;
(*returnSize)++;
return;
}
// 非叶子节点,依次搜索左子树,输出父节点,搜索右子树
if (root->left != NULL){
gothrogh(root->left, returnSize, ret);
}
ret[*returnSize] = root->val;
(*returnSize)++;
if (root->right != NULL){
gothrogh(root->right, returnSize, ret);
}
}
int* inorderTraversal(struct TreeNode* root, int* returnSize){
*returnSize = 0;
int *ret = (int*)calloc(MAXSIZE, sizeof(int));
if (root == NULL){return NULL;}
gothrogh(root, returnSize, ret);
return ret;
}
|