1 两数之和
给定一个整数数组 nums 和一个整数目标值 target,请你在该数组中找出 和为目标值 target 的那 两个 整数,并返回它们的数组下标。 你可以假设每种输入只会对应一个答案。但是,数组中同一个元素在答案里不能重复出现。 你可以按任意顺序返回答案。 示例: 输入:nums = [2,7,11,15], target = 9 输出:[0,1] 解释:因为 nums[0] + nums[1] == 9 ,返回 [0, 1]
本人简单暴力解答:
var twoSum = function(nums, target) {
let a=0,b=0;
outer:
for(let i=0;i<nums.length;i++){
inner:
for(let j=0;j<nums.length;j++){
if(i!=j){
if(nums[i]+nums[j] === target){
a=i;b=j;
break outer;
}
}
}
};
return [a,b];
};
twoSum([11,15,7,8,2],9)
哈希表:
var twoSum = function(nums, target) {
let len = nums.length;
const MAP = new Map();
MAP.set(nums[0], 0);
for(let i=1;i<len;i++){
let other = target - nums[i];
if(MAP.get(other) !== undefined){
return [MAP.get(other), i];
}
MAP.set(nums[i], i);
}
}
2 整数反转
给你一个 32 位的有符号整数 x ,返回将 x 中的数字部分反转后的结果。 如果反转后整数超过 32 位的有符号整数的范围 [?231, 231 ? 1] ,就返回 0。 假设环境不允许存储 64 位整数(有符号或无符号)。 示例 1: 输入:x = 123 输出:321 示例 2: 输入:x = -123 输出:-321 示例 3: 输入:x = 120 输出:21 示例 4: 输入:x = 0 输出:0
var reverse = function(x) {
let strToArr=x.toString().split('');
strToArr = strToArr.reverse();
return strToArr.join('');
};
console.log(reverse(123));
3
给定一个整数,写一个函数来判断它是否是 3 的幂次方。如果是,返回 true ;否则,返回 false 。 整数 n 是 3 的幂次方需满足:存在整数 x 使得 n == 3x 示例 1: 输入:n = 27 输出:true 示例 2: 输入:n = 0 输出:false 示例 3: 输入:n = 9 输出:true 示例 4: 输入:n = 45 输出:false
let isPowerOfThree = n => {
if(n === 1) return true;
if(Number.isInteger(n / 3) && n !== 0){
return isPowerOfThree(n / 3);
}
return false;
}
console.log(isPowerOfThree(81));
4 快乐数
编写一个算法来判断一个数 n 是不是快乐数。 「快乐数」定义为: 对于一个正整数,每一次将该数替换为它每个位置上的数字的平方和。 然后重复这个过程直到这个数变为 1,也可能是 无限循环 但始终变不到 1。 如果 可以变为 1,那么这个数就是快乐数。 如果 n 是快乐数就返回 true ;不是,则返回 false 。 示例 1: 输入:19 输出:true 解释: 12 + 92 = 82 82 + 22 = 68 62 + 82 = 100 12 + 02 + 02 = 1 示例 2: 输入:n = 2 输出:false 我的写法,递归法,行不通,会报错超出最大调用栈
let isHappy = (n,cb) => {
n = n.toString();
let arr=n.split('');
let newNum=0;
for(let i=0;i<arr.length;i++){
newNum += Math.pow(Number(arr[i]),2);
}
if(newNum>1 && newNum < Math.pow(2,31)-1){
isHappy(newNum,cb);
}else{
if(newNum == 1){
cb(true);
}else{
cb(false);
};
return ;
}
}
isHappy(19,(rel) => {
console.log(rel);
});
其他正确写法
let getNext = n => {
return n.toString().split('').map(i => i ** 2).reduce((a, b) => a + b);
}
let isHappy = n => {
let slow = n;
let fast = getNext(n);
while(fast !== 1 && fast !== slow){
slow = getNext(slow);
fast = getNext(getNext(fast))
}
return fast === 1;
}
console.log(isHappy(7));
5 二叉树的中序遍历
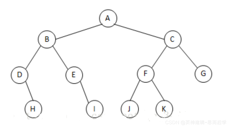
关于二叉树的遍历,主要有三种: 1、先【根】序遍历【根左右】 2、中【根】序遍历【左根右】 3、后【根】序遍历【左右根】 
先【根】序遍历【根左右】:A B D H E I C F J K G 中【根】序遍历【左根右】 : D H B E I A J F K C G 后【根】序遍历【左右根】 : H D I E B J K F G C A
☆ 中序遍历
const treeData = {
val: 1,
left: {
val: 2,
left: {
val: 4,
left: null,
right: null,
},
right: {
val: 5,
left: null,
right: null,
},
},
right: {
val: 3,
left: {
val: 6,
left: null,
right: null,
},
right: {
val: 7,
left: null,
right: null,
},
},
};
function inorderTraversal(root){
let treeRes = [];
const inorder = (root) => {
if(!root) {
return;
}
inorder(root.left);
treeRes.push(root.val);
inorder(root.right);
}
inorder(root);
return treeRes;
}
let finalResult = inorderTraversal(treeData);
console.log(finalResult);
var inorderTraversal = function(root) {
const res = [];
const stk = [];
while (root || stk.length) {
while (root) {
stk.push(root);
root = root.left;
}
root = stk.pop();
res.push(root.val);
root = root.right;
}
return res;
};
var inorderTraversal = (root) => {
const res = [];
let transfer = null;
while(root){
if(root.left){
transfer = root.left;
while(transfer.right && transfer.right !== root){
transfer = transfer.right;
}
if(!transfer.right){
transfer.right = root;
root=root.left;
}else{
res.push(root.val);
transfer.right = null;
root = root.right;
}
}else{
res.push(root.val);
root = root.right;
}
}
return res;
}
let finalResult = inorderTraversal(treeData);
console.log(finalResult);
 解法三太绕了,实在变态变态。
|