动态规划
什么是动态规划
给定一个问题,我们把它拆成一个个子问题,直到子问题可以直接解决。然后呢,把子问题答案保存起来,以减少重复计算。再根据子问题答案反推,得出原问题解的一种方法。
动态规划的核心思想
动态规划最核心的思想,就在于拆分子问题,记住过往,减少重复计算。 eg: A :“1+1+1+1+1+1+1+1 =?” A :“上面等式的值是多少” B :计算 “8” A : 在上面等式的左边写上 “1+” 呢? A : “此时等式的值为多少” B : 很快得出答案 “9” A : “你怎么这么快就知道答案了” A : “只要在8的基础上加1就行了” A : “所以你不用重新计算,因为你记住了第一个等式的值为8!动态规划算法也可以说是 ‘记住求过的解来节省时间’”
一个例子走进动态规划——青蛙跳台阶
暴力递归
leetcode原题:一只青蛙一次可以跳上1级台阶,也可以跳上2级台阶。求该青蛙跳上一个 10 级的台阶总共有多少种跳法。
- 要想跳到第10级台阶,要么是先跳到第9级,然后再跳1级台阶上去;要么是先跳到第8级,然后一次迈2级台阶上去。
- 同理,要想跳到第9级台阶,要么是先跳到第8级,然后再跳1级台阶上去;要么是先跳到第7级,然后一次迈2级台阶上去。
- 要想跳到第8级台阶,要么是先跳到第7级,然后再跳1级台阶上去;要么是先跳到第6级,然后一次迈2级台阶上去。
假设跳到第n级台阶的跳数我们定义为f(n),很显然就可以得出以下公式:
f(10) = f(9)+f(8)
f (9) = f(8) + f(7)
f (8) = f(7) + f(6)
...
f(3) = f(2) + f(1)
即通用公式为: f(n) = f(n-1) + f(n-2)
那f(2) 或者 f(1) 等于多少呢?
- 当只有2级台阶时,有两种跳法,第一种是直接跳两级,第二种是先跳一级,然后再跳一级。即f(2) = 2;
- 当只有1级台阶时,只有一种跳法,即f(1)= 1;
因此可以用递归去解决这个问题:
class Solution {
public int numWays(int n) {
if(n == 1){
return 1;
}
if(n == 2){
return 2;
}
return numWays(n-1) + numWays(n-2);
}
}
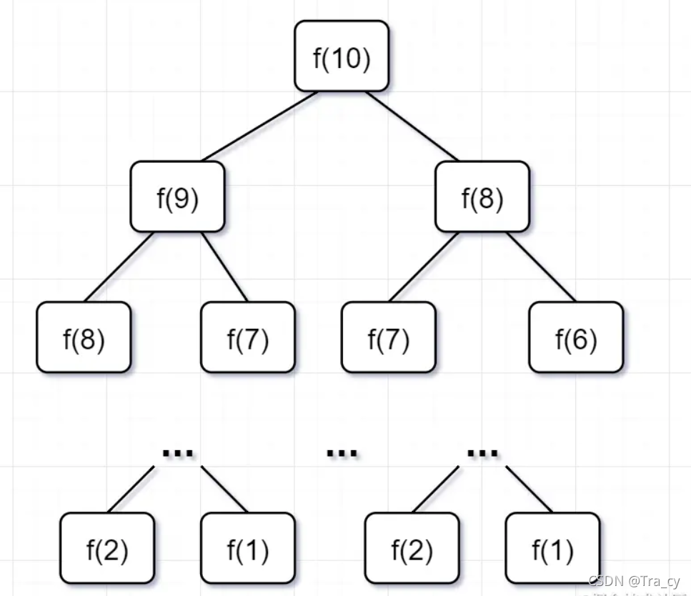
画出递归树看看: 
- 要计算原问题 f(10),就需要先计算出子问题 f(9) 和 f(8)
- 然后要计算 f(9),又要先算出子问题 f(8) 和 f(7),以此类推。
- 一直到 f(2) 和 f(1),递归树才终止。
我们先来看看这个递归的时间复杂度吧:
递归时间复杂度 = 解决一个子问题时间*子问题个数
- 一个子问题时间 = f(n-1)+f(n-2),也就是一个加法的操作,所以复杂度是 O(1);
- 问题个数 = 递归树节点的总数,递归树的总节点 = 2n-1,所以是复杂度O(2n)。
观察这颗递归树,你会发现存在大量重复计算,比如f(8)被计算了两次,f(7)被重复计算了3次…所以这个递归算法低效的原因,就是存在大量的重复计算!
既然存在大量重复计算,那么我们可以先把计算好的答案存下来,即造一个备忘录,等到下次需要的话,先去备忘录查一下,如果有,就直接取就好了,备忘录没有才开始计算,那就可以省去重新重复计算的耗时啦!这就是带备忘录的解法。
带备忘录的递归解法(自顶向下)
一般使用一个数组或者一个哈希map充当这个备忘录。
- 第一步,f(10)= f(9) + f(8),f(9) 和f(8)都需要计算出来,然后再加到备忘录中,如下:
 - 第二步, f(9) = f(8)+ f(7),f(8)= f(7)+ f(6), 因为 f(8) 已经在备忘录中啦,所以可以省掉,f(7),f(6)都需要计算出来,加到备忘录中~
 - 第三步, f(8) = f(7)+ f(6),发现f(8),f(7),f(6)全部都在备忘录上了,所以都可以剪掉。
 所以呢,用了备忘录递归算法,递归树变成光秃秃的树干咯,如下:  带备忘录的递归算法,子问题个数=树节点数=n,解决一个子问题还是O(1),所以带备忘录的递归算法的时间复杂度是O(n)。接下来呢,我们用带备忘录的递归算法去撸代码,解决这个青蛙跳阶问题的超时问题咯~,代码如下:
public class Solution {
//使用哈希map,充当备忘录的作用
Map<Integer, Integer> tempMap = new HashMap();
public int numWays(int n) {
// n = 0 也算1种
if (n == 0) {
return 1;
}
if (n <= 2) {
return n;
}
//先判断有没计算过,即看看备忘录有没有
if (tempMap.containsKey(n)) {
//备忘录有,即计算过,直接返回
return tempMap.get(n);
} else {
// 备忘录没有,即没有计算过,执行递归计算,并且把结果保存到备忘录map中,对1000000007取余(这个是leetcode题目规定的)
tempMap.put(n, (numWays(n - 1) + numWays(n - 2)) % 1000000007);
return tempMap.get(n);
}
}
}
自底向上的动态规划
动态规划跟带备忘录的递归解法基本思想是一致的,都是减少重复计算,时间复杂度也都是差不多。但是呢:
- 带备忘录的递归,是从f(10)往f(1)方向延伸求解的,所以也称为自顶向下的解法。
- 动态规划从较小问题的解,由交叠性质,逐步决策出较大问题的解,它是从f(1)往f(10)方向,往上推求解,所以称为自底向上的解法。
动态规划有几个典型特征,最优子结构、状态转移方程、边界、重叠子问题。在青蛙跳阶问题中:
- f(n-1)和f(n-2) 称为 f(n) 的最优子结构
- f(n)= f(n-1)+f(n-2)就称为状态转移方程
- f(1) = 1, f(2) = 2 就是边界啦
- 比如f(10)= f(9)+f(8),f(9) = f(8) + f(7) ,f(8)就是重叠子问题。
我们来看下自底向上的解法,从f(1)往f(10)方向,想想是不是直接一个for循环就可以解决啦,如下:  带备忘录的递归解法,空间复杂度是O(n),但是呢,仔细观察上图,可以发现,f(n)只依赖前面两个数,所以只需要两个变量a和b来存储,就可以满足需求了,因此空间复杂度是O(1)就可以啦  动态规划实现代码如下:
public class Solution {
public int numWays(int n) {
if (n<= 1) {
return 1;
}
if (n == 2) {
return 2;
}
int a = 1;
int b = 2;
int temp = 0;
for (int i = 3; i <= n; i++) {
temp = (a + b)% 1000000007;
a = b;
b = temp;
}
return temp;
}
}
动态规划的解题套路
动态规划的核心思想就是拆分子问题,记住过往,减少重复计算。 并且动态规划一般都是自底向上的,因此到这里,基于青蛙跳阶问题,我总结了一下我做动态规划的思路:
- 穷举分析
- 确定边界
- 找出规律,确定最优子结构
- 写出状态转移方程
- 代码实现
1、穷举分析
- 当台阶数是1的时候,有一种跳法,f(1) =1
- 当只有2级台阶时,有两种跳法,第一种是直接跳两级,第二种是先跳一级,然后再跳一级。即f(2) = 2;
- 当台阶是3级时,想跳到第3级台阶,要么是先跳到第2级,然后再跳1级台阶上去,要么是先跳到第 1级,然后一次迈 2 级台阶上去。所以f(3) = f(2) + f(1) =3
- 当台阶是4级时,想跳到第3级台阶,要么是先跳到第3级,然后再跳1级台阶上去,要么是先跳到第 2级,然后一次迈 2 级台阶上去。所以f(4) = f(3) + f(2) =5
- 当台阶是5级时…
 2、确定边界 通过穷举分析,我们发现,当台阶数是1的时候或者2的时候,可以明确知道青蛙跳法。f(1) =1,f(2) = 2,当台阶n>=3时,已经呈现出规律f(3) = f(2) + f(1) =3,因此f(1) =1,f(2) = 2就是青蛙跳阶的边界。
3、找规律,确定最优子结构 n>=3时,已经呈现出规律 f(n) = f(n-1) + f(n-2) ,因此,f(n-1)和f(n-2) 称为 f(n) 的最优子结构。什么是最优子结构?有这么一个解释:
一道动态规划问题,其实就是一个递推问题。假设当前决策结果是f(n),则最优子结构就是要让 f(n-k) 最优,最优子结构性质就是能让转移到n的状态是最优的,并且与后面的决策没有关系,即让后面的决策安心地使用前面的局部最优解的一种性质。
4、状态转移方程  5、代码实现 我们实现代码的时候,一般注意从底往上遍历哈,然后关注下边界情况,空间复杂度,也就差不多啦。动态规划有个框架的,大家实现的时候,可以考虑适当参考一下:
dp[0][0][...] = 边界值
for(状态1 :所有状态1的值){
for(状态2 :所有状态2的值){
for(...){
//状态转移方程
dp[状态1][状态2][...] = 求最值
}
}
}
|