|
难度:中等 题目描述:
给你一个链表,删除链表的倒数第 n 个结点,并且返回链表的头结点。
进阶:
你能尝试使用一趟扫描实现吗?
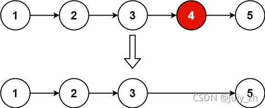
示例 1: 
输入:
head = [1,2,3,4,5], n = 2
输出:
[1,2,3,5]
示例 2:
输入:
head = [1], n = 1
输出:
[]
示例 3:
输入:
head = [1,2], n = 1
输出:
[1]
提示:
链表中结点的数目为 sz 1 <= sz <= 30 0 <= Node.val <= 100 1 <= n <= sz
class Solution {
public:
ListNode* removeNthFromEnd(ListNode* head, int n) {
ListNode *newl=new ListNode(0);
newl->next=head;
ListNode *p=newl;
ListNode *q=newl;
while(n--){
p=p->next;
}
while(p&&p->next){
p=p->next;
q=q->next;
}
if(p&&q){
q->next = q->next->next;
}
return newl->next;
}
};
|